Лекции Леонов В.А. (часть 2) (564337), страница 3
Текст из файла (страница 3)
Преобразуем теперь составляющие (2.5), являющиеся множителями при α с учетом предыдущего соотношения
(с точностью до
в предыдущем соотношении (2.7)).
Введем обозначения
тогда (2.7) преобразуется к виду
и коэффициент момента тангажа (2.5), с учетом (2.9), запишем в новой форме
где обозначены:
Учитывая, что
можно (2.10) записать в другом виде
где
При этом имеется в виду, что
зависит только от α при нулевых
, а общая зависимость (в линейном диапазоне изменения
) имеет вид
при переменном
. Если вместо руля высоты используется управляемый стабилизатор, то надо принять в (2.13)
Примерная зависимость (2.13) для ВС нормальной схемы при М=const;
имеет вид
2.2. Момент тангажа от тяги двигателя
В случае, когда двигатели расположены над фюзеляжем ВС или на пилонах под крыльями возникает дополнительный момент тангажа от тяги двигателей и в связи с тем, что этот момент зависит от угла атаки происходит одновременно смещение фокуса ВС по углу атаки. Рассмотрим лишь простые расчетные соотношения. Пусть турбореактивные двигатели (ТРД) располагаются на пилонах под крыльями
Момент тангажа возникает от двух сил: суммарный силы тяги от всех ТРД, и суммарной силы, возникающей из-за косой обдувки на входе воздушного потока в воздухозаборники. Последняя
возникает, так как теряется часть количества движения секундной расходуемой массы воздуха в направлении перпендикулярном к оси двигателя. Её величина равна потерянному количеству движения в единицу времени:
где:
- секундная масса воздуха (в кгс-1)
Поскольку
, где Va – скорость истечения отработанных газов из сопла двигателя, то выразив из последнего соотношения m*, после подстановки в Рy, получаем
Суммарный момент тангажа, создаваемый всеми двигателями
или
Здесь
<0,
>0, i – число двигателей;
qSbA- дополнительный момент из-за смещения фокуса вперед (при переднем расположении двигателей)
Коэффициент момента тангажа от всех двигателей с учетом смещения фокуса ВС будет следующий
Заметим, что аналогичные соотношения можно получить для ВС и с другими типами двигателей при различных их расположениях, Поскольку изменение момента тангажа от работы силовой установки обычно незначительное, то при качественном исследовании устойчивости и управляемости ВС будет часто пренебрегать этим эффектом и соответствующими составляющими в полном коэффициенте момента.
Лекция 3. 2.3. Дополнительные моменты тангажа в криволинейном неустановившемся полете
Неустановившееся движение ВС будет, когда кинематические параметры траектории, от которых зависят силы и моменты, действующие на ВС, будут переменными во времени. Это случай, когда
,
. При этом возникают дополнительные (по отношению к рассмотренным ранее) силы и моменты. Рассмотрим их последовательно(см рис.9).
Демпфирующий момент тангажа ВС складывается из демпфирующего момента крыла, ГО, фюзеляжа и других частей ВС. Основную часть при этом составляют поверхности, вынесенные от OZ связанной системы координат. Например, переднее и заднее ГО. Рассмотрим нормальную схему ВС с одним задним ГО. При вращении ВС с угловой скоростью
на ГО набегает дополнительный воздушный ΔVго, обусловленный
z, т.е.
и увеличивается угол атаки на величину
Происходит прирост подъемной силы на ГО (см рис.10) в пределах
. З
аметим, что если
, то произойдет уменьшение подъемной силы на ГО, т.к. при
>0 может оказаться
<0.
В пределах допустимых углов атаки на ГО возникает прирост подъемной силы
и продольный момент (учи-
где
- безразмерная угловая скорость тангажа ВС. Поделив (2.18) на qSbA, получим коэффициент демпфирующего момента тангажа, вызванный ГО
где
- обозначена частная производная коэффициента
Демпфирующие моменты остальных частей выводятся аналогично и здесь не приводятся. В итоге для суммарного демпфирующего момента тангажа ВС
Момент тангажа, обусловленный запаздыванием скоса потока перед ГО.
Пусть ВС вращается так, что
>0 За малое время
воздушный поток достигнет ГО и угол атаки ГО за это время изменится и станет больше на величину
. Из-за возникновения подъемной силы на крыле возникает скос потока
за крылом, который с течением времени так же изменяется и скошенный поток достигает ГО не мгновенно, а с запаздыванием
. В момент (t-τ) угол атаки крыла был меньше на величину
, а скос потока в текущий момент времени t определяется кинематическими параметрами движения на момент времени t-τ ранее, т.е. также уменьшается на величину
. Угол атаки ГО определяется как
и уменьшение
приводит к увеличению
. Вследствие этого возникает дополнительная подъемная сила, направленная вверх против вращения
и дополнительно момент тангажа (где обозначено
)
2.4. Результирующий момент тангажа в неустановившемся криволинейном полете.
Суммируя (2.13), (2.17), (2.21) и (2.23) получим коэффициент момента тангажа для ВС нормальной схемы в неустановившемся полете (
)
где
относительное положение фокуса ВС, с учетом изменения фокуса за счет тяги двигателей. При управляемом стабилизаторе надо принять
ввести дополнительную составляющую продольного момента от лобового сопротивления
; если имеется переднее ГО, для него вводится дополнительная составляющая коэффициента момента, аналогично принятой для заднего ГО.
2.5. Продольная статическая устойчивость при фиксированном руле высоты.
При фиксированном руле высоты
, примем за опорный режим полета(
изменяется незначительно,
) при которых выполняется равенство
Это соотношение соответствует прямолинейному движению с
(см. (2.24)). Верхним индексом «о» отмечен «опорный» (невозмущенный) режим полета. При малом изменении высоты полета можно для некоторой осредненной величины
принять
и зависимость
представить в виде
с учетом «гипотезы стационарности » на основе которой принимается обозначенная зависимость
от α (т.е.
не зависит от
и др.) можно считать, что при появлении
по отношению к
должно быть приращение
. Приращение
связано с изменением
. Таким образом, если появляется «возмущение»
в возмущенном движении (напомним, что в опорном:
), то это эквивалентно «возмущению» по перегрузке
и наоборот. Рассмотрим теперь зависимость
(см. рис. 12) для режима:
.
В точках 1, 2, 3, 4, 5 возможны прямолинейные опорные режимы полета, для которых
Примем, что
соответствуют некоторым значениям
В соответствии с определением статической устойчивости по выбранному параметру (см. раздел 1.1), которым у нас является
, следует задать приращение
по отношению к опорному
и проверить будет ли ВС без участия пилота возвращаться к
опорному режиму полета. Зададим в точке 1
>0. Этому значению соответствует
>0, при котором (см. рис. 12) появляется
<0, уменьшающий
(указано стрелкой вдоль оси абсцисс) и значит возвращающий ВС к исходному режиму полета. При
<0 и соответственно
<0, появляется
>0, увеличивающий
и, следовательно,
, т.е. снова ВС возвращается к исходному опорному режиму полета. Аналогично можно проверить, что в точке 2 ВС не возвращается в исходный режим полета, а в точках 3, 4, 5 ничего сказать нельзя, т.к. приращение «в малом»
отсутствует.
В возмущенном движении при появлении
в точках соседних с 1 и 2, появляются моменты
и даже при неизменном угле атаки
появляется дополнительная угловая скорость
и в результате получаем криволинейное движение.
Рассмотрим приращение
в зависимости от
(т.е.
) и
в возмущенном криволинейном движении. У нас
(т.к.
) и учитывая, что
, получим
. Из уравнения движения
, предполагая неизменными величины
опорных значений
. Откуда
-относи - тельная плотность ВС в продольном движении:
;
.Приращение коэффициента момента тангажа в возмущенном криволинейном движении (по отношению к прямолинейному опорному:
)(верхний индекс «о» здесь и далее опущен).
Поделив левую и правую часть на
и переходя к пределу
, получим полную производную (т.к.
зависит от
непосредственно и от
)
Величину
называют степенью продольной статической устойчивости по перегрузке при фиксированном руле высоты. Если
мало по сравнению с
, то можно принять
По знаку
можно судить о продольной статической устойчивости по перегрузке. Физический смысл «устойчивости по перегрузке» приведен в этом разделе выше с точностью до величины
, зависящей от демпфирующих свойств ВС и его плотности. В результате получаем:
<0- устойчивое;
>0- неустойчивое;
- нейтральное опорное прямолинейное движение с V=const.
Продольная статическая устойчивость по скорости при фиксированном руле высоты. Исходным опорным (невозмущенным) движением является прямолинейный горизонтальный полет, снижение, подъем) полет с переменной скоростью
, постоянной перегрузкой
. Из-за движения с переменной скоростью происходит дисбаланс сил и следует изменять угол атаки (и соответственно силы
) таким образом чтобы оставался постоянным угол
Но, так как составляющая, зависящая от
в выражении для
мала, то главную роль в дисбалансе моментов и сил играет подъемная сила
(Примем:
Рассмотрим для определенности зависимость
на режиме разгона
>0 в горизонтальном полете без крена
и скольжения
для различных чисел М. (рис.12). Здесь жирная линия соответствует условию горизонтального полета с разгоном от числа М=0,6 до М=1,3.
Пусть в точке «а» (расположенной на оси
) опорное движение происходит со скоростью, соответствующей М=0,7. В соответствии с определением статической устойчивости по параметру зададим возмущение по скорости
<0, например, ΔМ < 0 и ΔМ= -0,1, что будет соответствовать точке «l» на зависимости
. В этом случае величина
такова, что момент направлен на уменьшение
и будет возвращать ВС в исходный режим в точке «а». При «возмущении» по скорости ΔV > 0 и соответственно, например, ΔМ=+0,1, что будет соответствовать точке «в» при М=0,8.
Появляется
, который приводит к увеличению
и, следовательно, без вмешательства в управление пилота или автоматики возвращает ВС в исходный режим. Таким образом движение при М=0,7 в точке «а» будет статически
устойчивым по скорости.
Пусть теперь опорное движение происходит при М=1,05 в точке «е», где
. Зададим возмущение по скорости ΔV < 0 и, например, ΔМ= - 0,05. Тогда «возмущенное» движение будет происходить с положительным приращением
, что приводит по отношению к опорному
их увеличения до значений
и соответственно дальнейшего уменьшения скорости и числа М. Аналогично можно показать, что при возмущении по скорости до числа М=1,1 будет происходить дальнейшее ее увеличение. Режим движения в точке «е» является статически неустойчивым по скорости. Нетрудно заметить, что диапазон неустойчивости по скорости будет от точки «с» до точки «h», т.е. от чисел М=0,9 до М=1,2. Напомним, что здесь приведены условные значения чисел М, хотя и близкие к действительным.
Показателем продольной статической устойчивости по скорости (здесь в горизонтальном полете) с фиксированным рулем высоты будет знак и величина полной производной
, например, для точки «а»
В частности показатель продольной статической устойчивости по перегрузке (с точностью до
будет
Степень продольной статической «неустойчивости» в точке «d» при М=1,05, соответственно
В точках «с» и «h» ВС будет «в малом» статически нейтральном по скорости (но только в отдельных точках).
В произвольном случае, когда
степень продольной статической устойчивости по скорости определяется так же полной производной при опорном значении
В случае горизонтального полета:
и если приближенно принять
В горизонтальном полете
и если
, то ВС статически устойчиво по скорости,
- неустойчиво, а при
- статически нейтрально по скорости.
Для ВС, обладающего продольной статической устойчивостью по перегрузке
и знак
определяется знаком
. Представим
в прямолинейном полете с переменной скоростью в виде
тогда частная производная по числу М будет
Отсюда видно, что при
, производная
зависит от
и в частности его знака.
В заключение этого раздела заметим, что аналогичные показатели статической устойчивости по перегрузке и скорости можно вывести для фиксированных и освобожденных рычагов управления. На ВС с необратимой бустерной системой управления применяются автоматы, отклоняющие органы управления при воздействии возмущений по определенному закону независимо от действия пилота. В этом случае степень статической устойчивости при фиксированном руле высоты (
) будет отличаться от степени устойчивости при фиксированном положении рычагов управления (штурвала, ручки,
).
Термин «освобожденное управление» не применим к ВС с НБУ. У таких ВС при освобождении штурвала рули не будут свободно отклоняться под действием шарнирных моментов, а будут удерживаться бустерами. Поэтому устойчивость ВС с освобожденным управлением не будет отличаться от устойчивости ВС с фиксированной ручкой (штурвалом) управления.
Лекция 4. 2.6. Балансировка ВС и характеристики статической управляемости в продольном движении
Балансировочными зависимостями (кривыми) называют отклонение органов управления (
), рычагов управления (штурвал, педали, ручка) и усилия на рычагах управления в зависимости от скорости, высоты полета, перегрузки и т.п. на характерных режимах установившегося полета (горизонтальный полет с постоянной скоростью, горизонтальный полет с разгоном при постоянной перегрузке:, криволинейный полет с постоянной скоростью и др.).
Рассмотрим один из управляющих параметров – усилие на рычаге управления Рв.
2.6.1. Усилие на штурвале
Пусть на руль высоты действуют аэродинамические силы,
которые создают момент относительно оси вращения, называемый шарнирным моментом.
где
- коэффициент шарнирного момента,
- соответственно площадь и САХ органа управления (руля),
- коэффициент торможения потока в области оперения. Этот момент должен быть, компенсирован пилотом бустером или автоматическим устройством, улучшающим устойчивость и управляемость.
Пренебрегая потерями на трение в системе управления на основе «принципа возможных перемещений» (или элементарной работе сил и моментов) имеем
Откуда
где
- линейное перемещение верхней части штурвала (ручки),
- передаточный коэффициент в системе продольного управления (обычно
). Полагая, что коэффициент шарнирного момента руля высоты
зависит линейно от
и (если имеется триммер; обычно при
угол отклонения триммера
, заданная кромка отклоняется вверх)
, то
После подстановки этого соотношения в (2.33) с учетом (2.31), получаем
Как видно, величина
зависит от геометрических размеров руля высоты, скоростного напора q, а также отклонения триммера
. В установившемся полете, подбирая значение
можно снять усилия на штурвале (
=0).
Режим полета с нулевым усилием на штурвале, т.е. на котором для балансировки ВС не требуется прикладывать усилия к штурвалу, называется балансировочным при свободном штурвале.
Для уменьшения усилий на штурвале и создания потребных значений (в соответствии с АП-25, АП-23) применяют бустеры и системы управления различают с обратимым (ОБУ) и необратимым (НБУ) бустерным управлением. При НБУ шарнирный момент не ощущается пилотом и полностью передается на конструкцию ВС через опору бустера. В этом случае, чтобы сохранить «естественность» управления ВС (см. рис. 14) при увеличении и уменьшении скорости от балансировочной, должно сохраняться правило отклонения штурвала.
При НБУ и линейной характеристике загрузочного механизма усилие на штурвале управления равно
где
- характеристика жесткости загрузочного механизма. С целью улучшения управляемости используют нелинейную характеристику загрузочного механизма (с «изло- мом»), чтобы усилия были побольше при малых потребных перемещениях штурвала и поменьше - при больших
. В противном случае при малых
и малых Рв и небольших ошибках пилотирования может произойти значительное увеличение нормальной перегрузки, а при больших
пилоту придется прикладывать слишком большие усилия для управления.
2.6.2. Балансировка ВС в установившемся горизонтальном полете
Определим угол
(или
), перемещение
, потребные для балансировки ВС в установившемся (V=const) горизонтальном полете (Н=const,
=0) полете. Приравнивая нулю (2.24) при
, получим при
где
при
. (см. рис. 16)
(примем постоянной, не зависящей от изменения
).
Аналогичная зависимость имеет место при изменении
. Полный коэффициент
с учетом изменений
и
будет
. (2.37) Принимая во внимание (2.11) и (2.12)
С учетом этих соотношений, а также выражения (2.37), получаем
где
коэффициенты эффективности стабилизатора и руля высоты определяются при постоянном значении
по формулам
Из (2.39), принимая приближенно
; определим балансировочное отклонение руля высоты
а потребное балансировочное отклонение штурвала, учитывая, что
,
Типовые балансировочные зависимости (кривые, диаграммы) приведены на рис.17.
Кроме приведенных характеристик, на управляемость ВС большое влияние оказывают производные
Их значения должны отвечать естественным рефлексам пилота и обращение управления (на рис. 17 обозначено пунктиром) не допускается.
2.6.3. Балансировка ВС в установившемся криволинейном движении в вертикальной плоскости
В отличие от режима горизонтального полета (см. раздел 2.5, когда принимались:
) в установившемся криволинейном движении (в окрестности некоторого режима горизонтального полета)
и с учетом (2.25), (2.26) его можно представить в виде
где с учетом (2.37), (2.38)
Выразим
в зависимости от
. для этой цели воспользуемся приближенными соотношениями
и соответственно приращение
можно выразить как функцию приращения
откуда
Подставляя выражение для
в (2.43), получим условие балансировки (
) в криволинейном движении с
и изменением перегрузки на величину
(при малом изменении от режима горизонтального полета)
где
определяются соотношениями (2.40).
Из этого уравнения определим балансировочное значения угла отклонения руля высоты, потребное для криволинейного полета с
, в малой окрестности заданного опорного режима горизонтального полета (
)
Дифференцируя по
(учитывая, что
≈
-1), получаем
Тогда (2.46) можно представить в виде
Потребные для балансировки отклонения штурвала (ручки) управления рулем высоты в установившемся криволинейном полете определяется из (2.42), принимая во внимание (2.48)
где
Заметим, что в случае использования автомата продольного управления вместо
следует использовать
- степень статической устойчивости по перегрузке при фиксированном штурвале.
Производная
- называется коэффициентом расхода штурвала на перегрузку (фактически, для изменения перегрузки
на единицу) при
,
и фиксированном руле высоты (фиксированном рычаге управления, если вместо
использовать
).
Усилие на штурвале для балансировки в криволинейном полете аналогично можно представить в виде
где
- приращение усилия на штурвале по сравнению с потребным для горизонтального полета
(2.35). Для ВС с НБУ выражение (2.51) чаще представляют в другой форме
где
- называется коэффициентом расхода усилий на перегрузку. Типовые балансировочные кривые
,
представлены на рис. 18.
АП-25. (А). На режимах полета и конфигурациях ВС, рекомендованных руководством по летной эксплуатации (РЛЭ), в диапазоне перегрузок
до
, установленных РЛЭ, и балансировке по условиям в установившемся прямолинейном полете, производные
должны быть отрицательными и по абсолютной величине
рекомендуется не менее 10 кгс,
- не менее 5 см. Усилия на штурвале, потребные для создания
до срабатывания сигнализации о приближении к сваливанию в конфигурации, рекомендованный РЛЭ для полета по маршруту, при балансировке ВС по усилию в исходном режиме прямолинейного полета, рекомендуется по абсолютной величине не менее 25 кГс.
(В) На режимах полета и при конфигурациях ВС, рекомендованных РЛЭ, при балансировке ВС по усилиям в исходном режиме прямолинейного полета, производные
должны быть отрицательными до перегрузки
. При дальнейшем уменьшении перегрузки до
или до достижения
, установленной РЛЭ, если
, либо до перегрузке, соответствующей полному отклонению штурвала «от себя», допускается изменение знака производных
. В этих случаях уменьшение усилий на штурвале не должно превышать 30% от их максимальной величины. На минимальной достигнутой перегрузке усилия в продольном управлении должны превышать усилия трения в системе продольного управления не менее, чем в три раза.
(С). Перекрестные связи не должны вносить (по оценке пилота) особенностей, затрудняющих пилотирование.
2.6.4. Особенности продольной балансировки при взлете и посадке
При взлете и посадке производится выпуск закрылков, уборка и выпуск шасси, тормозных щитков и др. управляемых поверхностей (механизации), облегчающих пилотирование на этих режимах. Кроме этого, в непосредственной близости земли происходит существенное изменение аэродинамических сил из-за «экранного» эффекта. Это приводит к тому, что при взлете и посадке приходится уточнять зависимость коэффициента момента тангажа при полете ВС вблизи земли с отклоненной механизацией (закрылков, щитков, предкрылков)
где
- коэффициент момента тангажа при
, равный
- прирост
за счет выпущенного шасси;
- дополнительные скосы потока у ГО за счет выпущенных закрылков и механизации с учетом экранного эффекта;
- прирост коэффициента подъемной силы, обусловленный экранным эффектом земли; существенен, когда расстояние фокуса ВС до земли (h) меньше полуразмаха крыла (h/l)<0.5. В этом случае подъемная сила увеличивается на ≈20% и более;
- относительная координата положения фокуса по углу отклонения механизации, отсчитанная от носка САХ крыла в направлении отрицательной полуоси ОХ; на режиме посадке величина
- берутся для посадочной, а на режиме взлета – взлетной конфигурации. При расчете коэффициента
надо иметь в виду, что при взлете используется максимальный режим работы двигателей, а при посадке – режим «малого газа».
Различные зависимости для балансировочных параметров нетрудно получить из условия равенства нулю выражения (2.53). Следует выделить особо случай при разбеге ВС по полосе в момент подъема переднего колеса шасси. При этом на задние колеса действует при пробеге силы трения о полосу аэродрома, создающие дополнительный пикирующий момент (в момент, когда переднее колесо шасси оторвалось от полосы) и требуется дополнительно отклонять руль высоты, чтобы его сбалансировать. Поэтому балансировка ВС при подъеме переднего колеса может оказаться расчетным случаем для определения предельной передней центровки.
2.6.5. Диапазон допустимых центровок и требования к выбору параметров горизонтального оперения
На этапе предварительного проектирования ВС определяют допустимый диапазон возможных изменений положения центра тяжести в зависимости от допустимых условий устойчивости и управляемости. Рассмотрим вывод основных расчетных соотношений для этой цели. Из формулы для
(2.26) видно, что при изменении положения
, значение
может быть равно нулю, ВС при этом становится нейтральным по перегрузке. Такую «центровку» называют нейтральной, а ее величина определяется по формуле
Здесь вторая составляющая справа обычно изменяется в пределах 0,5÷2% САХ и таким образом нейтральная центровка расположена на небольшом расстоянии за фокусом по углу атаки ВС.
Для обеспечения требуемого минимального запаса устойчивости
следует отступить от нейтральной центровки вперед на величину
. Из этого условия определяется допустимая задняя центровка
Положение
меняется по режимам полета и обычно
предельно смещена вперед на малых скоростях. Из всех возможных положений
и следовательно
выбираются такие, для которых условия устойчивости будут гарантированными для любого наихудшего режима полета. Такое положение
называется предельно задней центровкой.
Предельно переднюю центровку определяют из условия балансировки ВС при посадке (или разбеге в момент отрыва переднего колеса шасси на взлете) когда производится предельное отклонение руля высоты
и посадочное положение стабилизатора
.
При прямолинейном полете (возможно при взлете и посадке с предельным отклонением стабилизатора и рулей высоты и при требуемом угле атаки) при
из (2.24) с учетом (2.11), (2.12), а также зависимости
, принимая
, получаем
Здесь
- требуемое значение
при движении по прямолинейной траектории.
Другим условием для выбора
является режим захода на посадку с выпущенной механизацией с учетом экранных эффектов земли
Аналогичный расчет
производится для момента отрыва переднего колеса при взлете. Среди всех возможных условий определения
выбирается наихудший, чтобы определить гарантированное его значение
, которое называют предельно передней центровкой.
Требования к выбору параметров горизонтального оперения определяются исходя из приемлемых характеристик статической устойчивости и управляемости во всей эксплуатационной области режимов полета (V, H), различных вариантах загрузки ВС, т.е. чтобы
где
- максимальный эксплуатационный диапазон центровок, а значения
и
- предельно заднее и предельно переднее определяются для наихудших (гарантированных) возможных вариантов полета.
С ростом
, увеличивается
а также фокус и
смещаются назад. Одновременно, при неизменной
растет эффективность руля высоты и
сдвигается вперед (см. рис. 19).
На графике можно отложить
и найти минимальное потребное
и следовательно
потребные для выполнения условий устойчивости и управляемости.
АП-25. 25.146(Д) Запас эффективности продольного управления при подъеме носового колеса и отрыве ВС, а также при посадке в том числе в момент касания
, должны быть не менее 10%.
25.161. (С) Продольная балансировка должна обеспечиваться в следующих условиях:
(1) при наборе высоты на режиме максимальной продолжительной тяги со скоростью не выше
, с убранным шасси и закрылками в убранном (i) и во взлетной (ii) положениях.
- скорость сваливания или минимальная скорость установившегося полета, полученная в конкретной конфигурации.
(2) при снижении с убранным газом на скорости не выше
с выпущенным шасси и закрылками в убранном (i) и в выпущенном (ii) положениях, при наиболее неблагоприятной центровке, утвержденной для посадки независимо от веса ВС.
(3) во время горизонтального полета при любой скорости в диапазоне от
до
с убранными шасси и закрылками в диапазоне от
до
при выпущенном шасси.
- максимальная эксплуатационная и максимальная скорость полета с выпущенным шасси.
25.173. Продольная статическая устойчивость.
(а) Для достижения и выдерживания скоростей, ниже заданной балансировочной скорости, требуются тянущие усилия (
), а для достижения и выдерживания скоростей выше заданной балансировочной – толкающие усилия (
).
(в) скорость полета должна восстанавливаться в пределах 10% исходной балансировочной в условиях набора высоты, захода на посадку и посадки и в пределах 73,5% исходной балансировочной скорости в условиях крейсерского полета.
(с) среднее значение
должно быть не менее 0,5кгс/10
.
(А) Допускается нулевой градиент
в диапазоне скоростей
сигн. до
.
Лекция 5. 3. Боковое движение. Боковое движение исследуется обычно в зависимости от параметров опорного продольного движения: углов атаки и тангажа, угловой скорости
, скорости и высоты полета. Часто рассматривается сначала какой-либо опорный невозмущенный полет с заданным креном, углом скольжения или прямолинейный полет без крена и скольжения, а затем изучается характер изменения параметров бокового движения
и т.п. в зависимости от разных факторов. Рассмотрим применяемые математические модели для аэродинамических сил и моментов в боковом движении.
3.1. Аэродинамические моменты крены и рыскания
При ассиметричном обтекании ВС воздушным потоком относительно плоскости XOY из-за скольжения возникает аэродинамическая поперечная сила, складывается из сил, действующих на фюзеляж
, вертикальное оперение
и гондолы двигателей
соответствующие коэффициенты сил, площади и коэффициенты торможения потока около указанных элементов ВС. Коэффициент аэродинамической поперечной силы ВС при нейтральном положении руля направления (
)
принимается
и при
(скольжение на правое полукрыло)
, т.е. поперечная сила направлена в сторону левого полукрыла. Так как мы будем рассматривать углы скольжения
в пределах ±20°, то часто принимается
. При этом между поперечной силой
и боковой
существует связь:
или, когда значения Х невелики, то
Так же как и для продольного движения можно суммировать все моменты, возникающие от отдельных частей ВС, предполагая неизменной его конфигурацию. В качестве опорного движения примем прямолинейное движение с неизменной скоростью, а боковое – в малой окрестности его с отклоненными рулем направления и элеронами, со скольжением и по линейной траектории (
).
В этом случае коэффициенты моментов крена и рыскания записываются в следующем виде
В основном работа двигателей приводит к поперечной силе
и моментов от нее
за счет косой обдувки воздухозаборников при скольжении.
определяется так же как
(см. разд. 2.2). Производные моментов можно оценить так же как и в продольном движении по приближенным формулам. Чаще всего эти значения определяются и даются в зависимости от скорости полета (или М), угла атаки.
Рассмотрим здесь принятые обозначения, физическую сущность моментов, их определение. Величина
принимается при
в прямолинейном горизонтальном полете и зависит от скорости и балансировочного угла атаки.
Момент
называют момент поперечной статической устойчивости, а
- характеризует степень поперечной статической устойчивости. Все производные коэффициентов моментов являются функциями
и V(M) и в частности
- (при отрицательной
) будет играть роль «восстанавливающего» момента. Так, например при крене на правое полукрыло будет возникать скольжение в сторону опускающегося правого полукрыла, т.к. результирующая сила
играет роль центростремительной (см.рис. 20) неуравновешенной силы, искривляющей траекторию в сторону опущенного полукрыла и после суммирования скорости невозмущенного потока и скорости потока, набегающего на правое полукрыло, видно, что угол скольжения
будет положительным.
При
момент
будет стремиться уменьшить величину первоначального крена
, т.е. является «восстанавливающим ». Моменты
называются управляющими в «канале крена» и при положительных
обычно являются отрицательными, т.е.
<0 и
<0.
Моменты
называют управляющими в «канале рыскания». При отклонении элеронов, например, на правом полукрыле вниз а на левом вверх происходит перераспределение давление воздушного потока ближе к концам крыльев и в результате на правом увеличится нормальная сила
(также и подъемная), а на левом - уменьшится (см. рис. 21).
Прирост и уменьшение пропорциональны коэффициенту эффективности элеронов -
и величине их отклонения
. При отклонении руля направления вправо (правая педаль - вперед). На вертикальном оперении (ВО) также происходит перераспределение давлений воздушного потока и возникает дополнительная поперечная сила
, которая создает на плече
момент относительно ОХ
и одновременно та же сила
создает момент относительно OY на плече
(который обычно в 5÷10раз больше
)
Частная производная
- называется коэффициентом эффективности руля направления. Обычно момент относительно OY в 5÷10 раз больше чем момент относительно ОХ. При отклонении РН (т.к.
>>
) повернуть ВС относительно OY легче чем относительно OX (инерционные свойства ВС:
сопротивление к повороту крыльев и ГО больше чем ВО) При совместном управлении элеронами и рулем направления ВС, слегка качнувшись влево, начинает разворачиваться левым полукрылом вперед, т.е. создается
. на левом полукрыле возникает большая подъемная сила, чем на правом и ВС развивает положительную
и положительный крен, который по отношению к моменту от элеронов будет «тормозящим » вращение.
Момент рыскания:
существенно зависит от угла атаки
(см. рис. 22.)
и при
на малых углах
, чаще всего
и
, т.е. развивается
и положительное скольжение
, которое в итоге приведет к созданию «подкручивающего момента». Аналогично можно показать, что при
- моменты развиваются
«тормозящие» (по отношению к исходным от отклонения элеронов). В зависимости от соотношения исходных моментов и «тормозящих» возможны случаи «обращения» управления.
Моменты
являются демпфирующими, в линейном диапазоне изменения
.Рассмотрим физическую природу этих моментов с помощью рис.23.
Пусть
и на опускающееся правое полукрыло набегает дополнительный воздушный поток, зависящий от величины
и расстояния z от OX. На опускающемся полукрыле всегда угол атаки
и при
, что в результате приводит к дополнительному моменту (обусловленному
), направленному в противоположную сторону вращения, тормозящему вращение, поэтому называется демпфирующим. При некоторых
обычно их закритических углах атаки (режимах полета) может оказаться, что
и появляется момент
, подкручивающий вращение (направлен в ту же сторону). Этот момент называют авторотирующим. При одном и том же исходном угле атаки,
является функцией Z и
, т.е.
, если принять
по размаху полукрыла, то
. Чем больше
тем больше
и возможно изменение авторотирующих моментов на демпфирующие. Все зависит от соотношения
и
При варьировании
изменяются соотношения
и
.Нормальная сила
(направленная по ОХ, т.к
<0, на рис.23) будет больше по модулю чем
. (рис.24а)).
Разность этих сил создает момент относительно OY:
, который называется спиральным или перекрестным моментом рыскания.
При вращении ВС относительно OY с угловой скоростью
, правое полукрыло имеет большую скорость, а левое – меньшую скорость по отношению к скорости полета и
и, например, для малых
изображены на рис.24б). Разность этих сил создает момент
,препятствующий (тормозящий) вращение относительно OY и поэтому называется демпфирующим. Пара разностей сил
по отношению к
создают спиральный момент крена
.
3.2 Статическая устойчивость в боковом движении
Различают путевую и поперечную статическую устойчивость с фиксированными и освобожденными органами и рычагами управления.
Путевая (флюгерная) статическая устойчивость – это способность ВС, самостоятельно, без вмешательства пилота в управление, противодействовать (уничтожать, ликвидировать) изменению угла скольжения.
О путевой (флюгерной) устойчивости и неустойчивости судят по знаку частной производной коэффициента момента рыскания по углу скольжения
, взятой в точке, соответствующей
.
При изменении угла скольжения
(рис.25) появляется
<0, стремящийся развернуть ВС вправо, т.е. уменьшить скольжение. На рис. показаны зависимости
для устойчивого и неустойчивого ВС в путевом отношении.
Частная производная
называется степенью путевой статической устойчивости ВС.
При
- устойчивое ВС,
>0- неустойчивое,
- нейтральное в путевом отношении.
Поперечная статическая устойчивость – это способность ВС, самостоятельно без вмешательства пилота в управление (противодействовать, уничтожать, ликвидировать) уменьшать возникший крен. При возникновении, например, правого крена появляется правое скольжение
. Принимая во внимание зависимость
(см. рис. 26), при
возникает момент
, который создает
и направлен на уменьшение крена. Это соответствует случаю, когда при возникновении скольжения ВС кренится в сторону отстающего полукрыла. Производная
характеризует степень поперечной
статической устойчивости ВС.
3.3 Балансировка ВС в установившемся боковом движении.
Характеристики поперечной и путевой статической управляемости
Рассмотрим сначала установившийся (
прямолинейный полет с креном и скольжением (движение при скосе ветром, отказе двигателей, несимметричной компоновке ВС и т.д.). Определим проекцию всех сил, действующих на ВС на OY и OZ связной системы координат (см. рис. 27)
Из условия равновесия сил по оси OY имеем:
откуда
и, тогда
.
Из условия равновесия по OZ (с учетом предыдущего соотношения)
Принимается, что
, тогда
;
,
- поперечная составляющая тяги двигателей; i-число двигателей.
Перейдем от сил и моментов к их коэффициентам, для чего разделим силы на qS, а моменты на qSl. Значения коэффициентов моментов приведены в (3.3), (3.4). Условия равновесия боковых моментов и сил примут вид
Балансировочные значения углов
определяются из системы (3.5) в зависимости от угла скольжения. Пренебрегая
получим
Потребные для балансировки отклонения педалей
и боковые отклонения штурвала (ручки)
равны
где
- коэффициенты передачи соответственно для путевого и поперечного управления ВС;
где
вычисляется по формулам (3.7) для случая фиксированных рычагов управления (педалей, штурвала).
Из выражений (3.6)…(3.9) видно, что с увеличением степени поперечной и путевой статической устойчивости расходы руля направления, элеронов и рычагов управления растут.
Балансировочные значения
можно выразить и в зависимости от угла крена
. В этом случае (обозначив
где
Так как
, то производные
и
будут иметь такой же знак как
и
. Значения производных
,
и
определяются по формулам (3.7), (3.8) и (3.10).
Лекция 6. 3.31. Усилия на рычагах управления элеронами и рулем направления в прямолинейном установившемся полете со скольжением
Усилия на штурвале (ручке) и педалях, потребные для балансировки ВС с обратимой и необратимой системами управления, можно представить в виде
Отличие для ОБУ и НБУ состоит лишь в том, что в (3.13) и (3.14) производные вычисляются по разному. Так как при НБУ усилия, которые должен прикладывать пилот к рычагам, зависят от характеристики загрузочных механизмов, то эти производные будут иметь вид
где
- градиенты усилий берутся из характеристик загрузочных механизмов; производные
определяются по формулам (3.7), (3.12) и (3.8) в которых
и
надо брать для случая с фиксированным рычагом управления.
На рис 28 представлены типовые балансировочные зависимости, статически устойчивого и статически неустойчивого в поперечном и путевом отношении ВС при
неизменных конфигурации ВС и режима работы двигателей.
Для нормального управления ВС требуется, чтобы все производные
были отрицательными.
Показатели поперечной статической управляемости:
- называются соответственно коэффициентами расхода усилий и штурвала (ручки) управления на крен.
Показатели путевой (флюгерной) статической управляемости:
- называются коэффициентами расхода усилий и педалей на крен.
Для того чтобы ВС не было слишком «тяжелым» или «строгим» в поперечном и путевом управлении, производные
,
,
и
не должны выходить за допустимые пределы.
Гармоничность управления достигается за счет пропорциональности перемещений штурвала
и педалей
, т.е. за счет выбора производной
где
- выбираются при фиксированных рычагах управления, а
- называют коэффициентом гармоничности управления, являющимся одним из показателей статической управляемости.
Во всем диапазоне
максимальные усилия не должны превышать физических возможностей пилота
.
3.3.2 Балансировка с отказавшим двигателем
Особо опасным является движение при выполнении разворота в сторону отказавшего двигателя, т.к. в этом случае пилоту значительно труднее быстро определить отказ. Рассмотрим балансировку ВС в прямолинейном установившемся полете с несимметричной тягой (Рис.29).
Например, при отказе (выключении) левого двигателя возникают дополнительные силы:
- сила дополнительного лобового сопротивления отказавшего двигателя;
- приращение поперечной силы вертикального оперения, обусловленного скосом потока
из-за влияния несимметричности струй двигателей. Дополнительные моменты и силы в проекциях на оси OXYZ равны
где принято:
обусловлены силой
.
Переходя к коэффициентам сил и моментов, и принимая
получим
Имея в виду (3.5), с точностью до
, учитывая (3.18), получим условия балансировки с отказавшим одним двигателем
Потребные для балансировки ВС углы
принимая во внимание (3.6)÷(3.8), следующие:
По этим формулам можно построить балансировочные зависимости потребных отклонений
в прямолинейном полете с одним отказавшим двигателем (рис.30) в зависимости от
.
Из всех возможных режимов прямолинейного установившегося полета можно выделить три.
Полет без крена (режим I на зависимости
, стрелками указаны потребные отклонения
для балансировки). Этот режим с точки зрения «комфорта» экипажа и пассажиров наиболее приемлем. Но при этом потребные
и усилия на педалях близки к предельным, а скольжение
происходит в сторону отказавшего левого двигателя.
Полет без скольжения (режим II), при котором получается меньшая величина лобового сопротивления и требуется меньшая потребная тяга работающего двигателя, но крен при этом в сторону работающего двигателя может быть значительным.
Полет с креном и скольжением (режим III) на полукрыло с работающим двигателем с малыми потребными
, но слишком большими
.
Выбор того или иного способа балансировки ВС зависит от запаса тяги двигателей и эффективности руля направления и его триммера.
3.3.3. Балансировка ВС в установившемся криволинейном пространственном
движении
В установившемся криволинейном полете появляются дополнительные моменты, обусловленные вращением ВС относительно связанных осей OX, OY и OZ, которые должны быть уравновешены дополнительным отклонением органов управления креном, рысканием и тангажом. Рассмотрим в качестве примера «правильный вираж» (
). Угловая скорость поворота траектории
(вдоль
нормальной системы координат) имеет компоненты
и в соответствии с таблицей направляющих конусов
Условия балансировки при принятых допущениях (см. (3.3), (3.4) и (2.24))
Их этой системы потребные для правильного виража
будут следующие
(3.21)
; (3.22)
где
Характеристики (показатели) боковой статической управляемости ВС в установившемся криволинейном движении
Для их определения принято рассматривать установившееся изолированное движение крена, вызванное
и
, а также установившееся изолированное движении рыскания, вызванное
. При таком подходе получаются приближенные условные показатели, не полностью отражающие фактическую управляемость, но оценивающую её удовлетворительно.
Примем в (3.3)
;
;
;
, то равновесие момента будет при условии
и после дифференцирования
где
принимается при фиксированном значении
.
Для нормального управления требуется
. Эта производная характеризуется эффективностью элерона в движении крена. Знак
зависит от знака
. При некоторой критической скорости полета и недостаточной жёсткости конструкции крыла на кручение, элероны могут потерять полную эффективность (
=0). При скорости большей критической наступает реверс элеронов (
>0), который недопустим для пилотирования ВС.
Производная
,характеризующая потребную величину отклонения штурвала (ручки) для создания
=
при
и
может быть вычислена по формуле (с учетом (3.24))
При использование демпфера крена
должна быть определена с учетом его работы. Производная
называется коэффициентом расхода штурвала на угловою скорость крена.
Усилия на ручке управления, потребные для создания единицы угловой скорости крена при
и
оцениваются производной для ВС с НБУ
где
- характеристика загрузочного механизма и
принимается с учетом работы демпфера.
Показатели поперечной статической управляемости (3.26), (3.27)
,
должны быть отрицательными, а чтобы управление ВС не было слишком «тяжелым» или «строгим», их величина не должна выходить за определённые пределы.
При анализе установившегося вращения по крену, вызванному
, можно аналогично получить коэффициенты расхода усилия и педалей на условия скорости крена
которые также являются показателями боковой статической управляемости
Ограничимся определением установившегося значения угловой скорости крена при отклонении руля направления на угол
и её производной по
. Полагая (в целях упрощения анализа) в формулах (3.3) (3.5) (
;
;
;
)
Из этой системы найдем
Эта производная характеризует реакцию ВС на отклонение руля направления. При
будет прямая привычная реакция для пилота, а при (<0) – обратная реакция по крену на отклонение руля направления.
Обратная реакция может наблюдаться при
в области (М
0,8-1,2) и при малых углах атаки, когда
-малы.
В качестве показателей путевой статической управляемости принимаются коэффициенты расхода усилий педали на угловую скорость рыскания
и
при М=const.
Имеются и другие показатели статической управляемости.
АП-25.25.147. Путевая и поперечная управляемость.
Должна иметь возможность при нулевом крене совершать разворот в сторону работающего двигателя и безопасно выполнять достаточно разное изменение курса до
в направлении критического неработающего двигателя.
Для самолетов с четырьмя или более двигателями должны выполняться виражи с креном
в сторону неработающих или противоположную неработающим двигателям из режима установившегося полета при скорости 1,4
(1,4 скорости сваливания или
установившегося полёта)
При работе всех двигателей реакция самолета по крену должна быть достаточной для выполнения обычных манёвров.
(А) Эффективность поперечного управления должна обеспечивать вывод самолета из установившегося разворота с креном
(при отклонении только штурвала по крену не более чем на
) за время не более 7с на режимах; взлета, (При безопасной скорости
); заход на посадку (на скорости захода на посадку со всеми работающими двигателями
); на крейсерских режимах и режимах набора высоты и снижения.
(с) Характеристики переходных процессов при отказе критического двигателя и невмешательстве пилота в управление в течение 5с после отказа должны быть такими, чтобы исключался выход самолета за эксплуатационные ограничения по
,
и
и чтобы
был
.
25.143. Приделы «Физической силы пилота» не должны превышать значения таблицы 1
| Сила, прикладываемая пилотом к штурвалу или педалям, кг | Тангаж | Крен | Рыскание |
| Кратковременное усилие | 35,0 | 27,0 | 70,0 |
| Продолжительное усилие | 4,5 | 2,50 | 9,0 |
25.177. На всех режимах полета должна соблюдаться боковая устойчивость. Допускается поперечная статическая неустойчивость, если неустойчивое движение развивается плавно, легко распознаётся и парируется пилотом (отклонение элеронов по знаку отклонению руля направления).
Лекция 7. 4. Динамика возмущенного движения. Уравнения возмущенного движения ВС и методы их исследования
Собирая вместе динамические и кинематические уравнения движения ВС, как материальные точки, и его вращательные движения вокруг центра масс (тяжести), Обозначим их в виде системы нелинейных дифференциальных уравнений
здесь
-фазовые переменные;
- управляющие воздействия на ВС,
-нелинейные функции соответствующих аргументов. Фазовыми переменными являются:
(15 переменных). Управляющие воздействия:
и т.д.; t-независимая переменная, чаше всего-время;
- начальные условия (Н.У) при
.
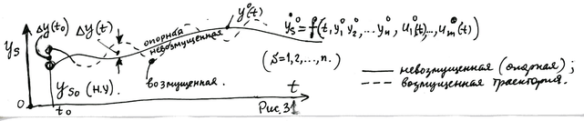
Пусть для заданных
существует опорная (невозмущенная, программная) траектория движения ВС (рис.31)
Полагаем, что на движение ВС оказывают воздействие «возмущения»:
∆
∆
, ветер, отклонение тяги двигателей от расчетных ∆Р и т. д., приводят к отклонению движения от опорной (невозмущенной. программной) траектории, а суммарное возмущение движения описывается вектором – функциями
и в соответствии с (4,1) векторным уравнением
Опорная траектория описывается уравнением
(Н.У.) (4.3) Раскладывая правую часть (4.2) в ряд Тейлора относительно опорных значений:
, ограничиваясь линейными членами и вычитая (4.3) из (4.2) получаем
Здесь был использован «метод малых возмущений », в соответствии с которым составляющие более высокого порядка по сравнению с линейными становятся пренебрежительно малыми.
Систему линейных дифференциальных уравнений(4.4) можно разделить на две подсистемы, которые обычно исследуются независимо. Например, если за опорное движение принять прямолинейный полёт без крена и скольжения, то производные компонентов полного вектора сил
и полного вектора момента
в силу симметрии ВС относительно плоскости OXY равны
При этом в первой системе параметрами являются:
- для описания продольного движения. Во второй:
- для описания бокового возмущённого движения. Система уравнений, описывающих продольное возмущенное движение в результате «разделения » имеет вид
Система управления бокового возмущенного движения
В уравнениях (4.5), (4.6) величины
;
- представляют собой возмущающие силы и моменты (воздействие ветра, упругих колебаний конструкции и т.п.)
4.1. Математические методы исследования.
Системы уравнений (4.4), (4.5) и (4.6) являются неоднородными линейными дифференциальными уравнениями в общем случае с переменными коэффициентами. В случае, если в правую часть явно не входит независимая переменная «t » и производные в правой части этих уравнений изменяются незначительно, то их принимают постоянными на маленьком отрезке времени (в соответствии с «методом замороженных коэффициентов» и системы уравнений ставятся системами дифференциальных уравнений с постоянными коэффициентами. При ∆
в уравнении (4.4) система ставится однородной и описывает собственные возмущения движения ВС (при ∆
). Такое движение можно получить, если находящемуся в равновесном режиме полёта ВС сообщить некоторые начальные возмущения, а затем предоставить самому себе.
4.1.1. Решение линейных дифференциальных уравнений с постоянными коэффициентами классическим методОМ. Теоремы А.М. Ляпунова об устойчивости
При исследовании собственного возмущения движения ВС выясняется устойчивость опорного движения. Анализ вынужденного движения позволяет определить реакцию ВС на управляющие воздействия и сделать оценку его управляемости. Рассмотрим решение однородной системы дифференциальных уравнений (4.4) (с целью дальнего исследования устойчивости) при ∆
.
Пусть по методу замороженных коэффициентов
и система (4.7) приводится к виду
Решение будем искать в виде
,где С– некоторой постоянный вектор – столбец, координаты которого
зависят от выбора Н.У:
;
- постоянное число. Подставим решение в исходное уравнение
,
откуда
Так как все элементы С не могут быть равны нулю, то для того чтобы существовало нетривиальное решение системы (4.9) относительно вектора С, необходимо и достаточно, чтобы
Это соотношение представляет алгебраическое уравнение n-ой степени относительно
и называется характеристическим уравнением (многочленом). Его корни
являются собственными числами матрицы А. Для каждого
можно получить решение
системы (4.9). Итак, частным решением системы (4.8) будет
а общее, как линейная комбинация частных решений
Эта линейная комбинация является общим решением системы только, если все
действительны и различны. Подставляя в (4.12) Н.У., получаем при
Это уравнение относительно неизвестных
является неоднородным и решение можно найти по формуле Крамера.
Из построенного общего решения (4.12) видно, что когда все
действительны, то отклонения
от невозмущенной (опорной) траектории изменяются по апериодическому (экспоненциальному) закону и будет возрастать или убывать в зависимости от знаков корней
. Если все корни
будут отрицательными, то при
компоненты
вектора
стремятся к нулю и, следовательно, невозмущенное движение будет асимптотически устойчивым. Если хотя бы один из корней
будет положительным, то из (4.12) видно, что компоненты
будут возрастать с течением времени при сколь угодно малых начальных отклонениях и таким образом невозмущенное (опорное) движение будет неустойчивым.
Рассмотрим случай, когда среди корней характеристического уравнения имеются комплексные сопряженные. Пусть два корня:
. Этим корням соответствует частное решение
где
и
определяются из системы (4.9) и являются комплексными сопряженными векторами
=
-i
;
=
+i
;
Компонент, соответствующий «S»-строке может быть представлен в виде
(здесь для простоты дальнейших преобразований принято
). Пользуясь формулой Эйлера
;
, получим
, где
,
- новые производные постоянные. Откуда видно, что частое движение, соответствующее паре комплексных сопряжённых корней, будет колебательным с амплитудой
, круговой частотой
и фазой
. Амплитуда будет неограниченно возрастать, если вещественная часть комплексного корня – положительная
и затухать если
. Поскольку общее решение будет содержать колебательную составляющую, то для устойчивости невозмущенного движения вещественные части корней должны быть отрицательными. Это, является основным содержанием теоремы А.М. Ляпунова об устойчивости по первому приближению.
Пусть исходная динамическая система описывается векторным уравнением
где
мерный вектор,
мерный вектор,
мерная непрерывная вещественная вектор-функция, заданная в ограниченной области переменных «у» и«n» и удовлетворяющая условиям Липшица.
Пусть для
- начального условия в моменты времени
и заданного управления
получено единственное решение (4.14), которое называется невозмущенным (опорным, программным) движением.
Решение той же системы (4.14) с заданным управлением
, но с другим начальным условием
называется возмущенным и исследование устойчивости движения сводится к исследованию свойств решений возмущенного движения
.Для анализа возмущенного движения сделаем замену переменных:
и поскольку невозмущенное движение удовлетворяет исходному уравнению(4.14)
то для возмущенного движения с учетом замены переменных, получаем
Очевидно, что исследование на устойчивость
исходной системы может быть заменено исследованием на устойчивость преобразованной системы или, что одно и то же, расположенной в начале координат точки покоя
. При исследовании точки покоя
нелинейной системы представим ее в виде:
где R(t, Δy) – имеет порядок выше первого относительно
. Вместо точки покоя нелинейной преобразованной системы (4.15) будем исследовать устойчивость точки покоя Δy
0 линейной системы:
называемой системой уравнений первого приближения для нелинейной (4.15).
Исследование на устойчивость линеаризованной системы остается проблематичным в случае переменной матрицы A(t) и значительно упрощается, если элементы матрицы А постоянны (A=const), т.е. исходная система и, следовательно, считать, что преобразованная стационарна в первом приближении. А.М. Ляпунов доказал основные теоремы.
Теорема об устойчивости
Если система (4.15) стационарна в первом приближении, все члены Ri в достаточномалойокрестности начала координат при t≥T≥t0 удовлетворяют неравенствам
,
где N и α - постоянные, причем α>0 (т.е. если Ri не зависит от t, то их порядок выше первого относительно
) и все корни характеристического уравнения
|A - λ E|=0
имеют отрицательные действительные части, то тривиальное решение y
0 системы уравнений (4.15) и решение системы уравнений (4.16) асимметрически устойчиво, следовательно, в этом случае возможно исследование на устойчивость по первому приближению.
Теорема о неустойчивости
Если в условиях первой теоремы хотя бы один корень характеристического
уравнения имеет положительную действительную часть, то точки покоя Δy
0 системы (4.15) и (4.16) неустойчивы, следовательно, и в этом случае возможно исследование на устойчивость по первому приближению.
Эти теоремы не охватывают случай, когда корни характеристического уравнения чисто мнимые (или когда вещественная часть хотя бы одного корня равна нулю). В таком критическом случае начинают влиять на устойчивость нелинейные члены Ri и исследование на устойчивость по первому приближению, вообще говоря, невозможно.
Непосредственное исследование устойчивости невозмущенного движения (или точки покоя Δy
0 преобразованной системы) является простым лишь для уравнений первого и второго порядков. Поэтому для решения вопроса об устойчивости или неустойчивости разработаны косвенные признаки, по которым можно судить о знаке вещественной части корней характеристического уравнения, минуя вычисление самих корней, которые называются критериями устойчивости.
По критериям устойчивости можно судить об устойчивости линейной стандартной системы, определять границы устойчивости и выбирать параметры устойчивой системы.
Критерии устойчивости подразделяются на алгебраические и частные. Алгебраические критерии позволяют судить об устойчивости и неустойчивости систем по коэффициентам характеристического уравнения. Имеются различные формы критериев. Наибольшее применение получили критерии Гурвица и Рауса.
Приведем без доказательства теорему Гурвица.
Пусть характеристическое уравнение n-ой степени имеет вид
anλn+an-1λn-1+…+a1λ+a0=0 (4.17)
в котором все коэффициенты ak – вещественные числа, а an>0. Построим из коэффициентов ak матрицу Гурвица (nxn):
Теорема Гурвица
Для того чтобы все корни характеристического уравнения (4.17) имели отрицательные вещественные части, необходимо и достаточно, чтобы все главные диагональные миноры матрицы Гурвица были положительны:
Δ1 = an-1>0;
; …; Δn = a0 Δn-1>0. (4.18)
Пример: Дано уравнение четвертой степени
λ4+a3λ3+a2λ2+a1λ+a0=0 (a4=1) (4.19)
Для «устойчивого движения» должны выполняться условия
Δ1 = a3>0;
;
; Δ4 = a0 Δ3 > 0.
Равносильными для уравнения 4-ой степени являются условия Рауса-Гурвица:
a0>0; a1>0; a2>0; a3>0; R=Δ3=a1 a2 a3 - a12-a0 a32>0. (4.20)
Найдем границы устойчивости
На границе устойчивости будут равны нулю действительный корень (λ=0) или вещественная часть комплексных сопряженных корней:
; (
). Если подставить в (4.17) значение λ = 0, то получим границу апериодической устойчивости, а0=0 или Δn = 0 (при всех остальных положительных минорах матрицы Гурвица). Подставляя в уравнение (4.17) вместо
его значения:
, получим границу колебательной устойчивости:
, причем все остальные миноры матрицы Гурвица положительны. Третья граница устойчивости соответствует бесконечному корню
и согласно уравнению (4.17) будет при аn = 0 (что на практике встретить затруднительно).
4.1.2. Решение линейных дифференциальных уравнений с постоянными коэффициентами операторным методом
В теории автоматического управления полетом, при исследовании и решении задач управляемости широко используется операторный метод решения дифференциальных уравнений.
В качестве интегрального преобразования обычно используют преобразование Лапласа
где параметр p – некоторое комплексное число; y(t) – кусочно-непрерывная и ограниченная функция независимой переменной t, называемая оригиналом; Y(p) – изображение функции y(t). Помимо прямого преобразования, существует обратное преобразование, позволяющее по изображению Y(p) находить оригинал y(t). Сокращенное обозначение обратного преобразования
= y(t).
Таблица
| Математическая операция | Оригинал | Изображение |
| Исходное преобразование | y(t) | Y(p) |
| Сложение оригинала | y1(t)+y2(t) | Y1(p)+Y2(p) |
| Умножение на постоянное число | a y(t) | a Y(p) |
| Дифференцирование | dy/dx | p Y(p) – y0 |
| n-кратное дифференцирование | dny/dtn | |
| Интегрирование | ||
| Сдвиг оригинала на τ | y(t-τ) |
В таблице y0,
,…,
обозначены Н.У. при t=0 (обычно).
При анализе возмущенного движения ВС иногда возникает необходимость определить предельные значения решения дифференциального уравнения по виду этого уравнения, не интегрируя его. Эту задачу можно решить с помощью следующих теорем о предельном переходе:
1. Если существует предел функции
, то
















