01Глава I (561018), страница 7
Текст из файла (страница 7)
- экстракцией неосновных носителей из потенциальной ямы;
- использованием плавающего затвора, потенциал на котором изменяется в зависимости от величины заряда.
В логической схеме ПЗС (рис. 8,6) три ключа S связаны с одной емкостью С3 и управляются тактовым импульсом Ф2. На вход схемы поступают логические сигналы А и В. Логической единице соответствует полный зарядный пакет, а логическому нулю - нулевой пакет. На выходе С реализуется логическая функция И, а на выходе D - функции ИЛИ. После прихода импульса Ф2 ключи S1 и S2 открываются. Емкость С3 заряжается до уровня логической единицы, если последняя поступила хотя бы на один из входов (А или В); поэтому на емкости С3 реализуется логическая функция ИЛИ. Если на оба входа поступили логические единицы, то заряжаются емкости С3 и С4 и на выходе последней реализуется логическая функция И. Эквивалентная схема такого логического элемента на МДП-транзисторной цепочке состоит из трех транзисторов VT3, VT3′, VT5 и двух емкостей С3 и С5 (С = С3 = С5). Если А=В=0, т. е. ни на один вход логические сигналы не поступают, напряжения U3 и U5 на выходах элемента колеблются между значениями Uф – Uоэ и Uф – UП – Uоэ , где Uф -верхнее, наиболее отрицательное (для p -канальных приборов) значение напряжения тактового импульса, UП — амплитуда перепада между верхним и нижним уровнями тактового импульса, Uоэ - эффективное пороговое напряжение МДП—транзистора, исток которого находится под потенциалом Uф – Uоэ.
Рассмотрим случай, когда только на один вход поступает логический сигнал. Емкость С3 при переходе заряда логической единицы через VT3 (VT3′) разряжается до уровня Uф – Uоэ. . При таком напряжении на истоке транзистора VT5 он остается закрытым, и напряжение на выходной емкости С3 не изменяется.
Дифференциальное уравнение, описывающее процесс передачи зарядового пакета Q , имеет вид
где Ic(t) -ток, протекающий через VT3 в пологой области его характеристик.
Решение этого уравнения следующее:
где
- крутизна МДП-транзистора; µ - эффективная поверхностная подвижность носителей; СД — удельная емкость диэлектрика; ND — концентрация примеси в подложке; εП — относительная диэлектрическая проницаемость полупроводника.
Время нарастания импульса напряжения на стоке от уровня 0,1 (ε = 0,9) до уровня 0,9 ( ε = 0,1) амплитуды равно
Если на оба входа поступают сигналы логической единицы, то открываются оба транзистора VT3, VT3’, зарядовые пакеты поступают на емкость С3 , и она разряжается до более положительного уровня, чем Uф – Uоэ. Поэтому VT5 открывается, и один зарядовый пакет поступает на емкость С5 , разряжая ее до уровня Uф – Uоэ.
Неэффективность передачи в этом случае определяется из выражения
где Q(τ) заряд, оставшийся на С3, к концу передачи.
Логические элементы на ПЗС имеют следующие преимущества по сравнению с аналогами на МДП-транзисторах:
- IIЗС могут выполнять как логические функции, так и функция сдвигающего регистра;
- при передаче нулевых зарядовых пакетов мощность не потребляется;
- в ПЗС достигается полная совместимость входа и выхода.
2.8. ЭЛЕМЕНТЫ R – ЛОГИКИ
Рассчитать логическую схему R - логики.
1. Расчет делителя напряжений R2 R3 .
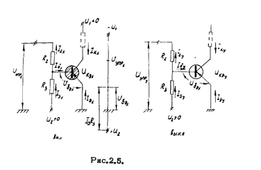
Работа схемы поясняется рис.2.5.
Для схемы справедливо:
Из (2.1) после подстановки (2.3)
Из (2.2) после подстановки (2.3)
Для “включено”:
Для “выключено”:
Принимая во внимание разброс номиналов, получим
или
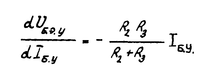
Делитель, высокоомный , поэтому рабочая точка выбирается ближе к α , но так, чтобы четырехугольник допусков лежал в рабочей области (рис. 2.6.)
-
Определение изменения коллекторного напряжения,
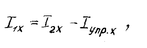
Для схемы (рис. 2.7.) имеем
-
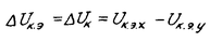
Определение запирающего напряжения на базе.
Минимальное значение UБ.Э.У при больших R2 и R3 . Оно увеличивается вследствие:
а) разброса номиналов R2 и R3 ;
б) разброса номиналов U2 и Uупр ;
в) изменения тока.
Из (2.4) и (2.5) следует:
Наибольшее значение UБ.Э.У будет при
Зависимость
или
-
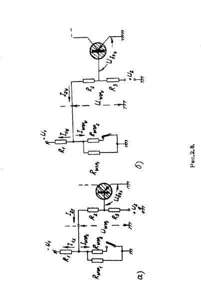
Определение управляющих потенциалов (рис. 2.8)
-
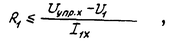
Расчет R1 . Для него справедливо:
откуда
Имеем
Графический способ определения R1 и
показан на рис. 2.9.
















