Лекций основы финансового менеджмента (555590), страница 28
Текст из файла (страница 28)
С – сумма годового купона;
N – номинальная стоимость облигации.
Например, по облигации номиналом 5 тыс. рублей предполагается ежегодно выплачивать купонный доход в сумме 1 тыс. рублей. В этом случае купонная ставка составит 20% годовых (1 / 5). Данный показатель очень далек от реальной доходности владения облигацией, так как во-первых, он учитывает только один вид дохода (купонные выплаты), а во-вторых, в знаменателе формулы показываются не фактические начальные инвестиции (цена покупки), а номинал облигации, то есть сумма долга, подлежащая возврату. Купонная ставка объявляется в момент эмиссии облигаций и служит для определения абсолютной суммы купонных выплат в рублях. Например, в объявлении о размещении займа сообщается, что по облигации номиналом 10 тыс. рублей установлена купонная ставка 18%. Это означает, что ежегодно владельцу одной облигации будет выплачиваться купонный доход в сумме 1,8 тыс. рублей (10 * 0,18).
Более приближенным к реальности является показатель текущей доходности, определяемый как отношение годовой купонной выплаты к цене покупки облигации:
, (5.3.2)
где P – цена приобретения облигации (сумма первоначальных инвестиций).
Например, если тысячерублевая облигация с ежегодным купоном 20% была приобретена за 925 рублей, то ее текущая годовая доходность составит 21,62% (200 / 925). Отличие от купонной ставки заключается в более точном учете первоначальных инвестиций. Однако текущей доходности присущ другой недостаток предыдущего показателя – она не отражает капитализированной доходности. Поэтому она также не может использоваться для сравнения эффективности различных инвестиций.
Строго говоря, оба рассмотренных выше показателя обладают еще одним недостатком – они не учитывают влияния на доходность количества купонных выплат в течение года. Как правило, эти выплаты производятся 2 раза в год. Держатель облигации получает возможность реинвестирования суммы купона за первое полугодие. Поэтому выплата по 500 рублей за каждые 6 месяцев выгоднее ему, чем разовая выплата 1000 рублей в конце года. Казалось бы, данное отличие легко учесть, введя в расчеты параметр m – число начислений процентов в году. На практике этого не делается – в числителях формул расчета текущей и купонной доходности отражается общая сумма купонных выплат за год. С одной стороны это позволяет избежать путаницы, а с другой – введение только одного дополнительного параметра не решает всей проблемы. На самом деле неоднократное в течение года перечисление дохода порождает качественно новую задачу: вместо единичной выплаты возникает денежный поток. Поэтому использовать для него формулы начисления процентов на разовые платежи в принципе неверно. Чрезмерное усложнение математического аппарата в данном случае также неоправданно, принимая во внимание приблизительный характер самих показателей.
Наиболее совершенным показателем, в значительной мере свободным от трех названных выше недостатков, является средняя доходность за весь ожидаемый период владения облигацией. Для ее расчета используется качественно иной подход: вычисляется значение доходности к погашению (YTM) по методике, рассмотренной в предыдущем параграфе. Потенциальному инвестору в дополнение к уже известным данным (купон, номинал, цена покупки облигации) необходимо определиться со сроком, в течение которого он намерен владеть инструментом. Если этот период совпадает со сроком самой облигации, то он может рассчитывать на получение в конце срока суммы, равной номиналу. Иначе он должен спрогнозировать цену по которой облигация может быть продана в конце срока владения. В любом случае, проблема определения ожидаемой средней доходности облигации сведется для него к вычислению внутренней нормы доходности порождаемого ею денежного потока. Доход от прироста инвестиций будет отнесен к самой последней выплате в конце срока, то есть полученная величина будет отражать доходность к погашению.
Например, купонная трехлетняя облигация номиналом 3 тыс. рублей продается по курсу 92,5. Один раз в год по ней предусмотрена выплата купона в размере 750 рублей. Для того, чтобы определить YTM этого инструмента, инвестор должен сначала определить цену его покупки, перемножив курс на номинал: 3000 * 0,925 = 2775 рублей. Тогда поток платежей по облигации может быть представлен следующим числовым рядом: -2775, 750, 750, 3750. В соответствии с формулой (5.2.2) доходность к погашению представляет собой решение относительно YTM следующего уравнения:
С помощью функции ВНДОХ на персональном компьютере можно вычислить YTM ≈ 29,08%. В то же время купонная ставка составит лишь 25% (750 / 3000), а текущая доходность облигации ≈ 27,03% (750 / 2775). В случае отсутствия под рукой компьютера или финансовых таблиц, можно применить упрощенную формулу расчета YTM (5.2.3):
Предположим, инвестор не собирается держать облигацию в течение всего срока ее “жизни”. В конце второго года он планирует продать ее за 2990 рублей. В этом случае денежный поток примет следующий вид: -2775, 750, 3740, а исходное уравнение для расчета YTM запишется в форме:
Внутренняя норма доходности этого потока (а следовательно – и YTM облигации) составит в этом случае 30,39%.
Аналогичная ситуация может возникнуть при наличии у эмитента права на досрочный выкуп (отзыв, call) облигации по фиксированной цене. В этом случае рассчитывается показатель доходности на момент отзыва (yield to call, YTC). Методика его расчета проиллюстрирована в предыдущем примере: вместо номинала облигации используется ее отзывная цена, а общий срок “жизни” инструмента заменяется числом лет, оставшихся до даты возможного выкупа. По такому же принципу рассчитывается ожидаемая полная доходность конвертируемых облигаций, которые через определенный период времени могут быть обменены (конвертированы) на обыкновенные акции предприятия-эмитента. Вместо отзывной цены в уравнении используется конверсионная стоимость облигации (PC), равная произведению ожидаемой рыночной цены обыкновенной акции на коэффициент конверсии (kC). Значение коэффициента конверсии устанавливается эмитентом при размещении займа. Спрогнозировать будущую рыночную цену обыкновенной акции, на которую может быть обменена облигация, должен сам инвестор.
В отличие от показателей купонной и текущей доходности, YTM реагирует на изменение числа купонных выплат в течение года. В случае, если это число превышает единицу, необходимо скорректировать ожидаемый денежный поток. Например, вместо одноразовой выплаты 750 рублей в год, эмитент решил выплачивать по 375 рублей каждое полугодие. В этом случае денежный поток будет иметь следующую структуру: -2775, 375, 375, 375, 375, 375, 3375. Соответственно, изменится уравнение для расчета YTM:
.
Доходность к погашению в этом случае составит ≈ 30,99%.
Безусловно, показатель доходности к погашению не является идеальным. Будучи средней эффективной процентной ставкой, он “заглаживает” возможные колебания доходности в течение периода владения облигацией. Кроме того, он совершенно не учитывает индивидуальные возможности реинвестирования доходов, которые имеются у отдельных инвесторов: эффективная ставка предполагает однократное реинвестирование в течение года. Тем не менее, пока еще не изобретено иного способа подсчета доходности, который в такой же степени чутко реагировал бы на любые изменения ожидаемого денежного потока. Поэтому именно YTM (и его разновидность YTC) получили наиболее широкое применение в финансовом анализе. Не следует забывать, что эти показатели являются ничем иным как разновидностями основополагающего финансового понятия – внутренней нормы доходности (IRR).
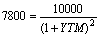
Наряду с купонными существуют облигации с нулевым купоном (бескупонные или дисконтные). Доход по ним образуется только за счет разницы между ценой покупки и продажи. Как правило, они продаются со скидкой (дисконтом) от номинальной цены, а выкупаются по номиналу. К этим инструментам вообще неприменимы понятия купонной и текущей доходности: их полная доходность включает в себя только вторую составляющую – прирост стоимости капитала. Методика расчета доходности краткосрочных дисконтных облигаций (например, ГКО) уже неоднократно рассматривалась в настоящем пособии, поэтому в данном параграфе будут рассмотрены только долгосрочные (с продолжительностью свыше 1 года) финансовые инструменты. Очевидно, что измерителем доходности таких инвестиций должна являться сложная процентная ставка. Рассмотрим пример: двухлетняя дисконтная облигация номиналом 10 тыс. рублей продается по курсу 78. Следовательно, общая сумма дохода к концу второго года по ней составит 2 тыс. 200 рублей (10000 – 7800). Доходность к погашению этой облигации может быть найдена из уравнения:
По сути дела, задача сводится к определению сложной эффективной годовой ставки по формуле (2.2.15). Применив эту формулу, получим YTM = 13,228% ((10000 / 7800)1/2 – 1). Иными словами, разместив на банковский депозит 7800 рублей под эффективную ставку 13,228%, через 2 года с него можно было бы снять наращенную сумму 10 тыс. рублей (7800 * (1 + 0,13228)2). Точно такой же результат можно получить, применив компьютерную функцию ВНДОХ для денежного потока (-7800, 0, 10000). Однако в данном случае задача проще, чем при расчете YTM купонных облигаций, поэтому нет необходимости для усложнения расчетов: достаточно помнить формулу определения эффективной ставки (2.2.15).
Ожидаемая доходность бессрочных облигаций, по которым выплачиваются “вечные” ренты, рассчитывается по формуле:
, где (5.3.3)
C – сумма ежегодных купонных выплат;
P – цена приобретения облигации.
Очевидно, что этот показатель отражает только текущую доходность, так как условиями размещения подобных займов не предусматривается выплата каких-то иных доходов. Тем не менее, никто не мешает инвестору запланировать перепродажу облигации через несколько лет владения ею по цене, которая может отличаться от цены покупки. В этом случае он сможет рассчитать доходность к погашению данного инструмента. Например, покупая за 46 фунтов стерлингов бессрочную консоль Казначейства Великобритании, по которой ежегодно выплачивается доход в сумме 4 фунта стерлингов, инвестор может рассчитывать на годовую доходность 8,696% (4 / 46). Однако, если по его “расчислению” через два года он сможет продать эту облигацию на вторичном рынке за 50 фунтов, то ее доходность к погашению (точнее, к перепродаже) должна находиться путем решения следующего уравнения:
irr (а следовательно, и доходность к погашению облигации) данного денежного потока составит ≈ 12,78%. Применив приближенную формулу расчета (5.2.3), получим:
Основное отличие акций состоит в неопределенности величины ожидаемых по ним доходов. В этом смысле можно выделить привилегированные акции, дивиденды по которым, как правило, известны заранее и должны выплачиваться раньше дивидендов по обыкновенным акциям. По сути дела привилегированные акции являются промежуточной стадией между собственным (обыкновенные акции) и заемным (облигации) капиталом. Для определения их доходности используется формула, аналогичная применяемой для бессрочных облигаций:
, где (5.3.4)
div – сумма ожидаемых дивидендов на 1 акцию,
P – цена приобретения акции.
Точно так же, как для бессрочных облигаций, в случае планируемой перепродажи акции на вторичном рынке, полная доходность владения ею может быть определена как YTM.
Для обыкновенных акций прогнозирование величины будущих дивидендов является наиболее важной и самой сложной проблемой. Чаще всего при этом используется модель постоянного роста (модель Гордона), предполагающая неизменный в обозримом будущем темп прироста суммы дивидендов, выплачиваемы по акции. Ожидаемая доходность владения акцией в этом случае будет находиться по следующей формуле:
, где (5.3.5)
P – цена покупки акции;
















