Лекций основы финансового менеджмента (555590), страница 32
Текст из файла (страница 32)
Планируя инвестиции, предприятие предусматривает возможные источники их финансирования, а следовательно – и их цену. Общим правилом финансов является необходимость расчета полной цены всех видов вновь привлекаемого капитала. Точно так же, как правая сторона баланса покрывает собой все активы предприятия, источники финансирования должны покрывать всю сумму инвестиций.
а) Взаимосвязь активов и капитала в балансе б) Взаимосвязь инвестиций и источников их финансирования
Рисунок 6.1.1. Сравнительная структура финансирования предприятия и инвестиционных проектов
Изучая бухгалтерский баланс, невозможно точно указать, каким именно источником ресурсов покрывается конкретная статья актива: каждый рубль активов отражает в себе общую структуру правой стороны баланса, например: 50% собственного капитала, 10% долгосрочной и 40% краткосрочной задолженности (рис. 6.1.1.а). В ходе анализа можно предположить, что основные фонды финансируются из долгосрочных источников, а оборотные – из краткосрочных. Однако данное предположение делается на основе обобщенных данных по балансу в целом, без выделения конкретных статей. Например, если у предприятия имеются СОС, невозможно точно определить какая конкретно часть оборотных активов приобретена за счет собственных, а какая за счет заемных источников. Например, денежные средства, дебиторская задолженность и половина запасов финансируются из собственных источников, а оставшаяся часть запасов – из заемных. Трудно даже представить, кому может прийти в голову мысль организовать раздельное хранение запасов по способу их финансирования.
В руках менеджеров сосредотачивается весь предоставленный им капитал и они вправе вкладывать его любым способом, приносящим максимальную выгоду инвесторам. Аналогично, при планировании инвестиций не следует предполагать, что какой-то конкретный проект будет финансироваться только за счет банковского кредита, а для реализации другого будет произведена новая эмиссия акций. Менеджеры должны определить общий объем инвестиций и изыскать под него полную сумму финансирования из всех источников. Доходность отдельных проектов должна сравниваться с общей или средней ценой всего вновь привлекаемого капитала, так как каждый рубль инвестиций будет отражать в себе всю структуру капитала, из которого они финансируются, например: 30% обыкновенные акции, 20% привилегированные акции, 50% облигации (рис. 6.1.1.б).
В то же время общая цена всего капитала складывается из стоимости отдельных его составляющих: собственных и заемных источников. Следовательно, для того, чтобы рассчитать среднюю цену совокупного капитала, необходимо сначала определить цены каждого его вида. Соотношение удельных весов отдельных компонент в общем объеме привлекаемого капитала характеризует его структуру. Увеличивая долю относительно менее дорогих источников, предприятие может снизить общую цену капитала. Мировая практика показывает, что наиболее “дешевым” источником является заемное финансирование, так как кредиторы находятся в более привилегированном положении в сравнении с собственниками предприятия: они сохраняют за собой право на возврат своих вложений, а в случае банкротства их требования будут удовлетворены раньше требований акционеров. Возникает вопрос, почему же у большинства предприятий по-прежнему очень высокий удельный вес собственного капитала, ведь это им невыгодно? В принципе он должен стремиться к нулю, а доля заемного капитала – приближаться к 100%.
Формирование оптимальной структуры капитала, т.е. установление наиболее выгодного соотношения между собственными и заемными источниками финансирования представляет собой “королевскую проблему” (das Königsproblem) финансового менеджмента. Неудивительно, что ее решению посвящены работы наиболее авторитетных ученых-финансистов, прежде всего – лауреатов Нобелевской премии Мертона Миллера и Франко Модильяни. Эти ученые сделали парадоксальный вывод о том, что в условиях совершенного рынка, при отсутствии налогов и транзакционных издержек и при наличии равного доступа предприятий и физических лиц к кредитным ресурсам, структура капитала не оказывает влияния на его цену. Обоснование этого заключения состоит в следующем: по мере роста доли заемного финансирования, увеличивается эффект финансового рычага, то есть возрастает финансовый риск предприятия. Соответственно растет цена его капитала и все преимущества заемного финансирования сводятся к нулю. В условиях эффективного рынка никто не мешает акционерам предприятия самим взять ссуду в банке и купить на полученные деньги новые акции. Им нет смысла перепоручать эту работу менеджерам предприятия, от которых требуется совсем другое – максимально эффективно инвестировать предоставляемый им капитал.
Таким образом, сама по себе структура капитала не оказывает влияния на его цену, поэтому в данной сфере менеджерам не следует искать возможности увеличения стоимости предприятия, они должны сосредоточиться на эффективном управлении активами. Однако та же самая мировая практика показывает, что руководители большинства предприятий все-таки уделяют значительное внимание оптимизации структуры капитала, более того, решение этой задачи составляет одну из основных функций финансового менеджмента. Данный парадокс также имеет свое рациональное объяснение: реальные экономические условия далеки от тех идеальных предпосылок, которые были заложены Модильяни и Миллером в основу своих доказательств. Пока еще нет абсолютно эффективных рынков, существуют и транзакционные издержки и налоги, а физические лица имеют более ограниченный доступ к кредитным ресурсам, чем предприятия. Поэтому оптимизация структуры капитала вполне может принести предприятию реальное снижение его цены и сделать собственников предприятия богаче. Одним из важнейших факторов данного эффекта является возможность отнесения процентов за кредит на себестоимость, иными словами – исключение этих сумм из величины базы обложения налогом на прибыль. Дивиденды по акциям выплачиваются из чистой прибыли, то есть они не предоставляют предприятию и его собственникам подобной “налоговой защиты”.
Таким образом, расширение доли заемного финансирования в разумных пределах может приводить к снижению общей цены привлекаемого капитала. Определение конкретной величины этих пределов, то есть выработка целевой структуры капитала, наиболее выгодной для данного предприятия, и является одной из важнейших задач финансового менеджмента. Для ее успешного решения необходимо усвоить принципы оценки отдельных составляющих совокупного капитала предприятия.
6.2. Определение цены заемного капитала
В общем случае цена капитала – это полная доходность соответствующего финансового инструмента. В реальности цена, которую платит предприятие за привлекаемый капитал, может не совпадать с величиной доходности, получаемой инвестором. С одной стороны, у покупателя капитала возникают дополнительные расходы по привлечению ресурсов (эмиссионные издержки, комиссионные брокерам и банкам и т.п.), которые увеличивают цену этих ресурсов. С другой – издержки эмитента по выплате доходов инвесторам в некоторых случаях исключаются из суммы налогооблагаемой прибыли. Поэтому фактическая цена капитала для предприятия может оказаться ниже доходности, выплачиваемой инвесторам. Рассмотрим, как учитываются эти факторы при оценке заемного капитала.
Для привлечения долгосрочного заемного капитала предприятия эмитируют облигации. Ценой такого капитала для предприятий является полная доходность облигаций с учетом дополнительных расходов эмитента по размещению своих обязательств. Иными словами, процедура определения цены заемного капитала в основном идентична методике расчета полной доходности облигаций, рассмотренной в параграфе 5.3 настоящего пособия. Различия заключаются в необходимости учета дополнительных эмиссионных издержек. Еще одна особенность оценки заемного капитала состоит в том, что предприятие-эмитент имеет право относить сумму доходов, выплачиваемых по облигациям, на себестоимость своей продукции (услуг), уменьшая тем самым базу обложения налогом на прибыль. Возникающий при этом эффект “налогового щита” снижает цену капитала для эмитента. Для количественного измерения величины данного эффекта полную доходность облигации умножают на выражение (1 – t), где t – ставка налога на прибыль.
Таким образом, определение цены заемного капитала производится в два этапа: сначала рассчитывается полная доходность облигации (с учетом расходов по эмиссии), а затем полученный результат корректируется на величину влияния эффекта налогового щита. Например, предприятие планирует разместить трехлетние купонные безотзывные облигации номиналом 5 тыс. рублей. Купонная ставка составит 20% годовых с выплатой 2 раза в год. Размещение облигаций предполагается произвести по курсу 97% от номинала, расходы на эмиссию составят 3% от фактически вырученной суммы. Все поступления от продажи облигаций предприятие получит до начала 1-го года (нулевой период); все выплаты по облигациям будут производиться в конце каждого полугодия. Прогнозный денежный поток от данной финансовой операции (в расчете на 1 облигацию) будет иметь следующий вид (табл. 6.2.1). Величина притока в 0-й период представляет собой курсовую стоимость облигации 4,85 тыс. рублей (5 * 0,97), уменьшенную на сумму расходов по эмиссии 0,15 тыс. рублей (4,85 * 0,03).
Таблица 6.2.1
Денежный поток от размещения 3-летнего облигационного займа, тыс. руб.
| 0 период | 1 год | 2 год | 3 год | |||
| 30 июня | 31 декабря | 30 июня | 31 декабря | 30 июня | 31 декабря | |
| +4,7 | -0,5 | -0,5 | -0,5 | -0,5 | -0,5 | -5,5 |
Для нахождения полной доходности данной финансовой операции применим формулу (5.2.2):
Решив полученное уравнение относительно YTM, получим полную доходность к погашению займа 24,177%. Если предприятие уплачивает налог на прибыль по ставке 30%, то цена капитала с учетом налоговой защиты (Kd) будет равна:
Kd = 0,24177 * (1 – 0,3) = 16,924%
Таким образом, предприятие сможет привлечь долгосрочный заемный капитал по цене 16,924% годовых. Вычисление YTM требует использования компьютера или специальных таблиц – книг доходности. Однако, для нахождения приближенной величины полной доходности можно воспользоваться упрощенной формулой (5.2.3). В качестве параметра CF в этом выражении указывается сумма годового купона (1 тыс. руб. в нашем примере), буквой N обозначается номинал облигации (5 тыс. руб.), а буквой P – ее продажная цена, уменьшенная на сумму расходов по размещению (4,7 тыс. руб.). Переменная n означает срок облигации (в нашем примере 3 года). Подставив эти значения в формулу (5.2.3), получим:
Расхождение в 1,5 процентных пункта (24,177 – 22,68) является довольно значительным, но оно объясняется еще и тем, что при использовании приближенной формулы не была учтена фактическая периодичность выплаты купона (2 раза в год). Если бы по условию займа купонные выплаты производились только 1 раз в год (по 1 тыс. рублей), то YTM такого денежного потока составила бы 22,982%, то есть всего на 0,3 процентных пункта больше приближенного значения полной доходности (22,982 – 22,68). После налоговой корректировки это расхождение стало бы еще меньше:
(22,982 * 0,7) – (22,68 * 0,7) = 0,21 процентных пункта.
В параграфах 3.4 и 5.3 были рассмотрены различные виды облигаций, в том числе бескупонные, вечные, отзывные, конвертируемые. В реальности существует еще более широкое разнообразие инструментов долгового финансирования. Особенности этих инструментов влияют на способы расчета цены привлекаемого заемного капитала. Например для дисконтных облигаций (облигаций с нулевым купоном) следует использовать формулу расчета сложной эффективной процентной ставки (2.2.15), для вечных облигаций – формулу (5.3.3). Чтобы не запутаться в математических выражениях, надо хорошо усвоить простое правило: цена заемного капитала – это всегда полная доходность соответствующего финансового инструмента. В большинстве случае ее можно рассчитать как IRR денежного потока, порождаемого данным инструментом. Самое важное, правильно спрогнозировать денежный поток – определить размер и очередность каждой ожидаемой выплаты. Рассчитав внутреннюю норму доходности потока, надо не забыть скорректировать ее на величину эффекта налогового щита.
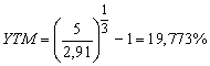
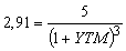
Предположим, что вместо эмиссии купонной облигации, предприятие предпочтет разместить дисконтный инструмент с таким же номиналом и на аналогичный срок. Первичная продажа облигаций будет производиться по курсу 60, а через три года предприятие вернет инвесторам номинальную стоимость облигаций. Расходы по эмиссии составят те же 3% от фактической выручки. То есть, в нулевом периоде предприятие получит 2,91 тыс. рублей (5 * 0,6 * 0,97), а в конце третьего года должно будет заплатить 5 тыс. рублей. Применив формулу (2.2.15), получим:
Но этот же самый результат можно получить, рассчитав полную доходность как IRR денежного потока (+2,91; 0; 0; -5):
И в этом случае YTM = 19,773%. С учетом налоговой защиты цена капитала составит:
Kd = 0,19773 * (1 – 0,3) = 13,841%
Вообще говоря, юридическая форма обязательств, возникающих у предприятия в процессе привлечения заемного капитала, имеет для него меньшее значение, чем структура денежных потоков, обусловленных данным процессом. Поэтому с финансовой точки зрения нет принципиальных различий между, например, эмиссией облигаций и получением долгосрочного банковского кредита. И в том, и в другом случае цена привлекаемого капитала будет определяться полной доходностью операции, которая, в свою очередь, целиком и полностью зависит от структуры соответствующего денежного потока. Предположим, что банк согласен выдать предприятию трехлетний кредит в сумме 4,7 млн. рублей. В течение его срока предприятие будет каждые 6 месяцев выплачивать банку проценты в сумме 500 тыс. рублей, а по окончании срока возвратит 5 млн. 500 тыс. рублей. Возникающий в результате этой операции денежный поток абсолютно идентичен графику, представленному в табл. 6.2.1, соответственно цена данного займа составит для предприятия те же самые 16,924%. Следовательно, для определения цены капитала, получаемого в форме долгосрочных банковских кредитов, должна применяться рассмотренная выше методика.
Например, предприятие получает в банке 10 млн. рублей на 1,5 года под номинальную ставку 22% годовых с ежемесячным реинвестированием начисленных процентов. По условиям кредитного договора уплата банку начисленных процентов должна производиться ежеквартально в течение всего срока ссуды. По окончании срока предприятие должно вернуть банку основную сумму долга. Таким образом, каждые три месяца предприятие должно будет выплачивать банку по 560,15 тыс. рублей (расчеты выполнены по формуле (2.2.13) с параметрами: P = 10000 тыс. руб., n = 0,25 года (1 квартал = 1/4 или 3/12 года), m = 12, j = 22%). Последняя выплата в конце срока составит 10560,15 тыс. рублей (10000 + 560,15). Полуторагодовой период включает в себя 6 кварталов, следовательно денежный поток по данной операции будет иметь вид: (+10000; -560,15; -560,15; -560,15; -560,15; -560,15; -10560,15). YTM этого потока найдем из формулы (5.2.2):
















