01 (537404), страница 8
Текст из файла (страница 8)
лений на двух-трех последовательных шагах, пользуясь блок-схемой. Результаты проверки удобно сводить в таблицу типа приводимой выше:
Убедившись в работоспособности алгоритма, можно перейти к разработке программы по приведенной блок-схеме. В случае вывода результата суммирования на экран монитора программа будет иметь вид:
123456789..............................................................72 73......80
S = 0.0
Do N = 1, 100
S = S + 1.0/N
EndDo
Write (*, 1) S
1 Format (' S=', F7.4)
End
Пример 2. Вычислить значение функции y = ex при x = 2,5 на основе ее разложения в степенной ряд с абсолютной погрешностью 10-5.
Алгоритм вычисления ряда при фиксированном x должен быть организован по циклической схеме
Sn+1 = Sn + an+1,
причем в качестве переменной цикла следует использовать номер члена ряда n, начиная с единицы. В качестве начального значения переменной S, в которой будет накапливаться сумма, следует установить единицу, так как первый член рассматриваемого ряда не подчиняется общей закономерности его формирования.
Каждый член ряда, начиная со второго, может быть представлен как частный случай бесконечного произведения
а, следовательно, должен накапливаться также по циклической схеме вида
Sn+1 = Sn.an+1,
которая описывается рекуррентной формулой
Оба процесса накопления (вычисление суммы ряда и очередного его члена) можно совместить в рамках одного цикла. Но для накопления произведения следует использовать отдельный оператор.
Особое внимание должно быть уделено управлению процессом вычисления ряда. Так как заданный ряд бесконечный на каждом шаге вычислений необходимо проверять величину очередного члена ряда и прекратить расчеты как только он станет меньше заданной абсолютной погрешности. Реализацию такого алгоритма удобно осуществлять с помощью оператора Do_While. Однако при этом потребуется подобрать значение переменной, в которой накапливается значение члена ряда так, чтобы обеспечить беспрепятственный вход в цикл Do_While.
Правильно написанная программа должна постоянно анализировать состояние вычислительного процесса и предотвращать возможные ошибки. В примере в случаях расходимости бесконечного ряда или ошибки в подборе рекуррентных формул произойдет “зацикливание” программы. Поэтому в программе должен быть блок операторов контролирующий количество выполненных шагов и завершающий ее, если их число становится недопустимо велико. Для рассматриваемого ряда такой блок может контролировать количество учтенных членов ряда n и прекращать расчеты при n 100.
Алгоритм вычислений может быть представлен блок-схемой на рис.2.
Рис.2.
Работа алгоритма иллюстрируется нижеприведенной таблицей, отражающей последовательность накопления суммы ряда:
Программа реализующая предлагаемый алгоритм будет иметь вид:
123456789..............................................................72 73......80
Write(*, 1)
1 Format (' Введите X = ‘\)
Read (*, *) X
A = 1.0
S = 1.0
N = 1
Do 2 While (Abs(A).GE.1.E-5)
If (N.GE.100) Go to 3
A = A*X/N
S = S + A
2 N = N + 1
3 Write (*, 4) N, X, S
4 Format (' N, X, S=', I4, F5.1, 2X, E11.4)
End
*** Замечания.
– в операторе Format с меткой 1 была применена спецификация "\". Она используется только при выводе на печатающее устройство или экран монитора и позволяет продолжить операции ввода-вывода с той же строки, где была завершена предыдущая операция печати;
– константа, считываемая по оператору Read(*, *) X с экрана монитора, будет вводиться с той же строки, где располагается комментарий ' Введите X = '.
Пример 3. Вычислить сумму первых 10-ти членов ряда при х=7,5.
Алгоритм вычисления суммы при фиксированном x должен быть организован по циклической схеме
Sn+1 = Sn + an+1,
причем в качестве переменной цикла следует использовать номер члена суммы n начиная с первого. Тогда начальное значение переменной, в которой будет накапливаться сумма, следует установить равным единице. Каждый член носит составной характер и его целесообразно рассматривать в виде произведения двух частей. Одна часть вычисляется по рекуррентной формуле, как результат накопления произведения по описанной выше циклической схеме вида Pn+1 = Pn an+1:
а другая - добавляется как сомножитель при его окончательном формировании
Использование сомножителя x со знаком минус позволяет автоматически регулировать знакопеременность ряда, не прибегая к непосредственному вычислению (-1)n.
Оба процесса накопления (вычисление суммы ряда и очередного его члена), как и ранее, можно совместить в рамках одного цикла. Но для накопления произведения следует использовать отдельный оператор.
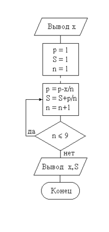
Алгоритм вычислений представлен блок-схемой на рис.3, а его работа иллюстрируется нижеприведенной программой, отражающей последовательность накопления суммы ряда:
Рис.3.
Данный алгоритм позволяет просуммировать первые десять членов заданного ряда. Ввод x производится с клавиатуры ЭВМ, а вывод результата – на экран монитора.123456789...................................
Write (*, 1)
1 Format (' Введите X = '\)
Read (*, *) X
P = 1.0
S = 1.0
Do 2 N = 1, 9
P = - P*X/N
S = S + P/N
2 Continue
Write (*, 3) X, S
3 Format (' X, S=', F4.1, 2X, E11.4)
Stop
End
З а д а н и е к л а б о р а т о р н о й р а б о т е
Составить программу для численной проверки правильности разложения в ряд заданной функции, для чего вычислить ее значения и значения соответствующего ей ряда в не менее, чем трех точках указанного интервала. Предусмотреть суммирование всех членов ряда, значение которых по абсолютной величине больше 10-6. Вывод информации организовать в файл prog_5.res.
| 1. | 2. | ||
| 3. | 4. | ||
| 5. | 6. | ||
| 7. | 8. | ||
| 9. | 10. | ||
| 11. | 12. | ||
| 13. | 14. | ||
| 15. | 16. | ||
| 17. | 18. | ||
| 19. | 20. | ||
| 21. | 22. | ||
| 23. | 24. | ||
| 25. | 26. | ||
| 27. | 28. | ||
| 29. | 30. |
Л А Б О Р А Т О Р Н А Я Р А Б О Т А № 6
ОБРАБОТКА МАССИВОВ
С п р а в о ч н а я и н ф о р м а ц и я
Наряду с понятием переменной в программировании, аналогично математике, где используются понятия вектора и матрицы для описания многомерных объектов, существует понятие массива. Под ним понимается совокупность переменных одного типа, имеющих общее имя. Правила образования имен массивов и их типы полностью совпадают с правилами для переменных. При работе с массивом к каждой отдельной переменной можно обратиться, указав ее позицию в массиве. При этом каждая переменная будет именоваться именем массива, за которым в круглых скобках следуют разделенные запятыми числа, указывающие на ее позицию. Эти числа называются индексами, а сама переменная - переменной с индексами. Например, под именем массива А может подразумеваться последовательность переменных - элементов:
A(1) A(2) A(3) A(4) ..... A(45)
или
A(1, 1) A(1, 2) ... A(1, 9)
A(2, 1) A(2, 2) ... A(2, 9)
........................................
A(7, 1) A(7, 2) ... A(7, 9)
и так далее
В зависимости от количества используемых индексов различают одномерные, двумерные, трехмерные и многомерные массивы. Количество индексов в массиве не должно превышать семи. В качестве индексов массивов могут использоваться константы, переменные, другие переменные с индексами и арифметические выражения, как показано в примерах ниже
B(i), A(k, i+1), C(2, N(i)), Sx(i, j, k) .
Индексы, описанные выражениями, операнды которых имеют разные типы, вычисляются в соответствии с общими правилами и, если их результат окажется вещественным, он приводится к целому типу:
запись A(2.7) идентична A(2);
















