16-20(готово) (507204)

Файл №507204 16-20(готово) (Готовые билеты 2006-го года)16-20(готово) (507204)2013-08-16СтудИзба
Просмтор этого файла доступен только зарегистрированным пользователям. Но у нас супер быстрая регистрация: достаточно только электронной почты!

Текст из файла

Билет №16.

1.Дать определение порядка малости (роста) одной бесконечно малой (большой) ф-ции относительно другой. Привести примеры выделения главной части бесконечно малых и бесконечно больших ф-ций

Пусть при 0<C<+∞, тогда: а) если ф-ции α(х), (х) б.м. при хх0, то ф-ция α(х) наз. б.м. порядка k(малости) относительно (х) при хх0; б) если ф-ции α(х), (х) б.б. при хх0, то ф-ция α(х) наз. б.б. порядка k(роста) относительно (х) при хх0.

Пусть при 0<C<+∞, тогда , где ф-ция (х) б.м. или б.б. при хх0; ф-ция С((х))^k называется главной частью б.м. или б.б. ф-ции α(х).

Пример: Найти порядок малости относительно х и главную часть б.м. при х0 ф-ции . Порядок малости определяется k из условия, 0<C<+∞, при k=2/3. Отсюда следует, что порядок малости k=2/3, т.е. f(x)~2х^2/3 при х0 или f(x)=2x^2/3+o(x^2/3).

Найти порядок роста относительно х и главную часть б.б. при х+∞ функции . f(x)=2x^2/3+3*x^3/2=3x^2/3(1+(2/3)*x^(-5/6))~3x^2/3 при х+∞, поскольку . Таким образом, главная часть б.б. при х+∞ ф-ции f(x) есть 3х(3/2), порядок роста относ. Х равен 3/2.

2. Сформулировать и доказать достаточное условие монотонности дифференцируемой функции.

f(x) дифференцируема в Х и f’(x)≥0 (f’(x)≤0 для хХ  f(x) возрастает (убывает) для хХ.

Док-во. Пусть х1,х2Х и х1<x2. Применяя к f(x) теорему Лагранжа на отрезке [x1,x2] имеем f(x2)-f(x1)=(x2-x1)*f’(c), где х1<c<x2, но f’(c)≥0, поэтому f(x2)≥f(x1), т.е. f(x) возрастает на Х. Аналогично убывание.Если f(x)>0 для хХ, то f(x) строго возрастающая ф-ция на Х, но ф-ция f(x) может возрастать на Х и в то же время иметь в некоторых точка f’(x)=0. Пусть ф-ция f(x) непр в промежутке, содер т х0, говорят, что в точке х0 ф-ция f(x) имеет максимум (минимум), если  такая окрест. точки х0, что в каждой точке х≠х0 этой окрест. выполняется условие f(x)<f(x0) (f(x)>f(x0)), т.е. значение f(x0) является наиб (наим) в окрест. т.

3. Исследовать функцию и построить ее график.y=3-2/x-1/x^2.

D(y)=R {0}; ф-ция общего вида; непериодичная.х=0 – вертикальная асимптота. y=3 – горизонтальная асимптота. 3)y’=2/x^2+3/x^3; x=-1 – точка максимума.

4)y’’=-4/x^3-6/x^4; x=-3/2 – точка перегиба, от -∞ до -3/2 выпукла вниз, дальше вверх.

Билет №17.

1. Дать определение одностороннего предела функции при хх0 и доказать теорему о связи между пределом функции и ее односторонним пределами.

1) предела слева.Пусть f(x) определена на пром-ке (а; х0). Тогда говорят, что предел слева в т. х0 равен А (limf(x)=A хх0-0), если ε>0 ∂>0:x(x0-∂,x0) вып. f(x) Uε(A).

2) предел слева.Пусть f(x) определена на пром-ке (x0; b). Тогда говорят, что предел справа в т. х0 равен А (limf(x)=A при хх0+0), если ε>0 ∂>0:x(x0,x0+∂) вып. f(x) Uε(A).Теорема: пусть f(x) определен в проколотой окрестности U∂(x0). Тогда limf(x)=A xx0 limf(x)=A xx0+0 и одновременно limf(x)=A xx0.

Д ок-во: т.к. limf(x)=A xx0ε>0 ∂1>0: x(x0;x0+∂1)=>f(x)U∂1(x0); Аналогично limf(x)=A xx0ε>0 ∂2>0: x(x0-∂2;x0)=>f(x)U∂2(x0);

Очевидно, что ∂(∂1, ∂2), но с другой стороны (x-∂;x0) (x0;x0+∂)=U∂(x0) проколота

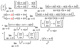
2. Сформулировать основные правила дифференцирования (производна суммы, произведения, частного) и доказать одно из них.

1. Производная константы равна 0 (c=const)’=0;

2. Пусть u(x) и v(x) дифференцируемы в т. Х, тогда ф-ции u(x)v(x), u(x)*v(x), u(x)/v(x) так же дифференцируемы в этих точке x:

(u(x)v(x))’=u’v’; (u*v)’=u’*v+u*v’; (u/v)’=(u’*v-u*v’)/v^2.

Докажем последнее:

3. Исследовать функцию и построить ее график.

y=x/lnx.ОДЗ x>0. общего вида, непериодичная. асимптот нет.y’=xln(x)=ln(x)+1=> x=e^-10.3y’’=1/x – точек перегиба нет.

Билет №18.

1. Дать определение сходящейся последовательности и доказать ее ограниченность.

Если liman=AR при n∞, то такая последовательность наз. сходящейся.

Теорема: всякая сходящаяся последовательность является ограниченной.

Док-во. Дано liman=AR при n∞. Пусть ε=1=>NN, n≥N:|an-A|< ε; |an-A|<1;

|an|≤1+|A|(1). Положим M=max{|a1|,|a2|,...,|an-1|,|A+1|} Докажем, что n вып. |an|≤M, т.е. это и будет ограничением последовательности. Пусть n<N, тогда |an|<M. Пусть n≥N, для таких an верно нер (1). |an|≤|A|+1=>|an|+1≤M. Вывод |an|<M.

2. Вывести формулы для нахождения производных сложных и обратных функций.

Производная сложной функции. xyz=f(x) (т.е. z(y(x))). Если y=y(x) – диф-ма в т.х0, а z=z(y) диф-ма в т y0=y(x0), то сложная функция z=z(y(x)) тоже дифференцируема в т х0, причем f’(x0)=z’(y0)*y’(x0). Z’x=Z’y*Y’x.

Док-во Введем вспом ф-цию g(x)= (z(y)-z(y0))/(y-y0) и одновременно z’(y0) (y≠y0)(1.

= =z’(y0)=g(y0). Рассмотрим ф-цию y=y(x). По условию она дифференцируема в т х0=> по теореме о непрерывности дифференцируемой ф-ции она также дифференцируема в т х0. g(y)-тоже сложная ф-ция, т.е. g=g(x), причем у нее внутри y(x) и внешняя g(y) – непр.=> по теореме о непрерывности сложной ф-ции g(y(x))) непр. В x0.

Из (1) => z(y)-z(y0)=z’(y-y0)*g(y)(2). Верно при: При y≠y0, т.к. выражается из первой строки (1). При y=y0: z(y)-z(y0)=z’(y0)g(y0)=>z(y)-z(y0)=(y-y0)g(y0).

Перепишем равенство (2) в виде

z(y(x))-z(y(x0))=(y(x)-y(x0))*g(y(x));

g(x)-f(x0)=(g(x)-g(x0))g(y(x0)).

Рассмотрим

Производная обратной ф-ции.

Пусть y=y(x) – определена, монотонна и непр в U∂(x0) и пусть y’(x0) R {y’(x0)≠0}. Тогда обратная ф-ция x=x(y) диф-ма в x0 y0=y(x0) и x’(y0)=1/y’(x0), т.е. yx=1/xy.

Док-во. По теореме о непр. Ф-ции x=x(y) непр в т y0.

(4)F(x)=(y(x)-y(x0))/(x-x0) (x≠x0) и одновременн y’(x0), x=x0. f(x) непр в x0. = =y’(x0)=f’(x0);

x=x(y) непр. в т y0. Рассм обр. ф-цию x=x(y): y(x)y – теперь аргумент, xx(y) –ф-ция. Если х≠х0, то у≠у0=>равенство (4) при у≠у0 можно записать так: f(x(y))=(y-y0)/(x(y)-y0).

Составляем предел:

= = = = .

3. Исследовать ф-цию и построить ее график y=(3-x)^1/3+(1-x)^1/3.

1) D(y)=R, нечетная, непериодичная.2) асимптот нет, т.к. при поиске второго предела равен бесконечности.3) ф-ция убывает на всей ОДЗ. x=2 (значения при х=1 и х=3 учитываем) получаем точки перегиба от -∞до1 выпукла вверх, 1 до 2 вниз, от 2 до 3 вниз, от 3 до ∞ вниз.

Билет № 19.

1. Дать определение конечного предела по Коши при хх0 и доказать теорему о сохранении знака ф-ции своего предела.

Пусть задана ф-ция fX->R и задано A R расширенной, x0R расшир., тогда А называется пределом ф-ции f(x) при x->x0 и обозн. A=limf(x) при x->x0, если ε>0 ∂>0: xпроколотой U∂(x0)=> f(x0) Uε(A).

Теорема. Если limf(x)=AR xx0, A≠0, то∂>0:xU∂(x0)проколотой выполняется: 1) f(x)>0, если А>0; 2) f(x)<0, если А<0.

Док-во. От противного. Предположим ∂>0:x:U∂(x0)прокол. Вып. F(x)<0, но тогда {xn}(посл. Гейне) {f(xn)}A. Но т.к. {f(x)}<0, то {f(xn)}<0, но тогда limf(xn)<0 n∞, но это противоречит тому, что А>0.

2. Рассказать о нахождении наибольшего и наименьшего значения функции на замкнутом интервале(отрезке). Привести пример.

1) Находим значение функции на концах отрезка.

2) Находим экстремумы функции. Значение ф-ции в точках экстремума.

3) Сравниваем полученные значения.

Пример:… моно взять ф-цию из билета и с ней поработать.

3. Исследовать функцию и построить ее график: y=(1-x^3)^1/3.

1) D(y)=R, нечетная, непериодичная.2) асимптота y=-x.3) y’=, фун уб наОДЗ.

Билет №20.

1. Сформулировать свойства б.м. ф-ций и доказать одно из них.

Теорема 1. (о связи ф-ции, ее предела и б.м.)

limf(x)=AR xx0f(x)=A+α(x), где α(x)-б.м. при хх0.

До-во: т.к. limf(x)=AR xx0, то ε>0 ∂>0:xU∂(x0)прок. Вып. |f(x)-A|<ε(1). Обозн f(x)-A=α(x), тогда (1) перепишется так: |α(x)|<ε(2), т.е. α(x)-б.м. при xx0. Выражаем f(x)=a+α(x).

Теорема 2 о сумме б.м.

Если α(х)-б.м. и (х)-б.м. при хх0 g(x)= α(х)+ (х) – б.м. хх0.

Теорема 3 произведение б.м. на ограниченную.

Если α(х) – б.м., (х) – огран. U∂(x0), то α(х)(х) при хх0.

2. Сформулировать правило логарифмического дифференцирования и рассказать о его применении. Привести примеры.

В ряде случаев для нахождения производной целесообразно заданную функцию сначала прологарифмировать. К таким случаям можно отнести степенно-показательные ф-цию y=u^v, где u=u(x) и v=v(x) – заданные дифференцируемые ф-ции от х. Найдем производную этой ф-ции: lny=v*lnu => (1/y)*y’=v’*lnu+v*(1/u)*u’ =>y’=y*(v’*lnu+v*(1/u)*u’), y’=u(^v)*(v’*lnu+v*(1/u)*u’).Пример ф-ция:из задачи.

3. Исследовать ф-цию и построить ее график: y=(2-x)*e^(2x-1).

1) ф-ция общего вида, непериодичная.

2) асимптот нет.

17(*;/)

16

19.

20.

18

18

18

Характеристики

Тип файла
Документ
Размер
365 Kb
Высшее учебное заведение

Тип файла документ

Документы такого типа открываются такими программами, как Microsoft Office Word на компьютерах Windows, Apple Pages на компьютерах Mac, Open Office - бесплатная альтернатива на различных платформах, в том числе Linux. Наиболее простым и современным решением будут Google документы, так как открываются онлайн без скачивания прямо в браузере на любой платформе. Существуют российские качественные аналоги, например от Яндекса.

Будьте внимательны на мобильных устройствах, так как там используются упрощённый функционал даже в официальном приложении от Microsoft, поэтому для просмотра скачивайте PDF-версию. А если нужно редактировать файл, то используйте оригинальный файл.

Файлы такого типа обычно разбиты на страницы, а текст может быть форматированным (жирный, курсив, выбор шрифта, таблицы и т.п.), а также в него можно добавлять изображения. Формат идеально подходит для рефератов, докладов и РПЗ курсовых проектов, которые необходимо распечатать. Кстати перед печатью также сохраняйте файл в PDF, так как принтер может начудить со шрифтами.

Список файлов вопросов/заданий

Свежие статьи
Популярно сейчас
Почему делать на заказ в разы дороже, чем купить готовую учебную работу на СтудИзбе? Наши учебные работы продаются каждый год, тогда как большинство заказов выполняются с нуля. Найдите подходящий учебный материал на СтудИзбе!
Ответы на популярные вопросы
Да! Наши авторы собирают и выкладывают те работы, которые сдаются в Вашем учебном заведении ежегодно и уже проверены преподавателями.
Да! У нас любой человек может выложить любую учебную работу и зарабатывать на её продажах! Но каждый учебный материал публикуется только после тщательной проверки администрацией.
Вернём деньги! А если быть более точными, то автору даётся немного времени на исправление, а если не исправит или выйдет время, то вернём деньги в полном объёме!
Да! На равне с готовыми студенческими работами у нас продаются услуги. Цены на услуги видны сразу, то есть Вам нужно только указать параметры и сразу можно оплачивать.
Отзывы студентов
Ставлю 10/10
Все нравится, очень удобный сайт, помогает в учебе. Кроме этого, можно заработать самому, выставляя готовые учебные материалы на продажу здесь. Рейтинги и отзывы на преподавателей очень помогают сориентироваться в начале нового семестра. Спасибо за такую функцию. Ставлю максимальную оценку.
Лучшая платформа для успешной сдачи сессии
Познакомился со СтудИзбой благодаря своему другу, очень нравится интерфейс, количество доступных файлов, цена, в общем, все прекрасно. Даже сам продаю какие-то свои работы.
Студизба ван лав ❤
Очень офигенный сайт для студентов. Много полезных учебных материалов. Пользуюсь студизбой с октября 2021 года. Серьёзных нареканий нет. Хотелось бы, что бы ввели подписочную модель и сделали материалы дешевле 300 рублей в рамках подписки бесплатными.
Отличный сайт
Лично меня всё устраивает - и покупка, и продажа; и цены, и возможность предпросмотра куска файла, и обилие бесплатных файлов (в подборках по авторам, читай, ВУЗам и факультетам). Есть определённые баги, но всё решаемо, да и администраторы реагируют в течение суток.
Маленький отзыв о большом помощнике!
Студизба спасает в те моменты, когда сроки горят, а работ накопилось достаточно. Довольно удобный сайт с простой навигацией и огромным количеством материалов.
Студ. Изба как крупнейший сборник работ для студентов
Тут дофига бывает всего полезного. Печально, что бывают предметы по которым даже одного бесплатного решения нет, но это скорее вопрос к студентам. В остальном всё здорово.
Спасательный островок
Если уже не успеваешь разобраться или застрял на каком-то задание поможет тебе быстро и недорого решить твою проблему.
Всё и так отлично
Всё очень удобно. Особенно круто, что есть система бонусов и можно выводить остатки денег. Очень много качественных бесплатных файлов.
Отзыв о системе "Студизба"
Отличная платформа для распространения работ, востребованных студентами. Хорошо налаженная и качественная работа сайта, огромная база заданий и аудитория.
Отличный помощник
Отличный сайт с кучей полезных файлов, позволяющий найти много методичек / учебников / отзывов о вузах и преподователях.
Отлично помогает студентам в любой момент для решения трудных и незамедлительных задач
Хотелось бы больше конкретной информации о преподавателях. А так в принципе хороший сайт, всегда им пользуюсь и ни разу не было желания прекратить. Хороший сайт для помощи студентам, удобный и приятный интерфейс. Из недостатков можно выделить только отсутствия небольшого количества файлов.
Спасибо за шикарный сайт
Великолепный сайт на котором студент за не большие деньги может найти помощь с дз, проектами курсовыми, лабораторными, а также узнать отзывы на преподавателей и бесплатно скачать пособия.
Популярные преподаватели
Добавляйте материалы
и зарабатывайте!
Продажи идут автоматически
6779
Авторов
на СтудИзбе
280
Средний доход
с одного платного файла
Обучение Подробнее