Для студентов МГТУ им. Н.Э.Баумана по предмету Кратные интегралы и рядыРядыРяды
5,0053
2021-12-102024-09-04СтудИзба
Вариант 5 - ДЗ №3 - "Ряды" - 2 части - 10 задач
ДЗ 3: Ряды вариант 5
-43%
Описание
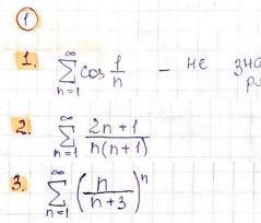
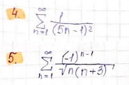
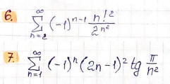
Типовой расчет №3 "Ряды", обе части 10 задач, для ИУ, зачтено на максимум
![]()





Характеристики домашнего задания
Предмет
Учебное заведение
Семестр
Номер задания
Вариант
Просмотров
127
Качество
Скан рукописных листов
Размер
2,65 Mb
Список файлов
Вариант 5 Ряды дз3 23188.pdf

Спасибо за покупку! Я буду очень рад, если поставишь справедливую оценку купленному файлу :3 Ищи больше работ в моём профиле, там много нужного тебе!