Для студентов МГТУ им. Н.Э.Баумана по предмету ФизикаЭлектромагнитные волныЭлектромагнитные волны
4,84598
2021-08-292021-08-29СтудИзба
Задача 4: Электромагнитные волны вариант 11
Описание
Защищено Заблоцкому
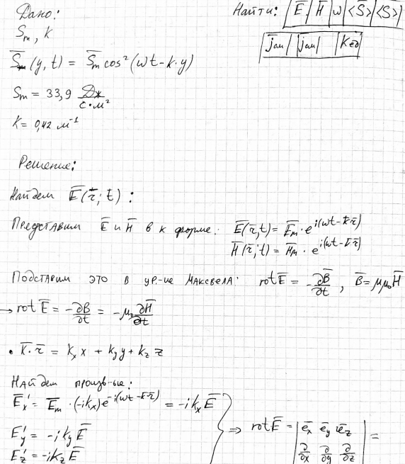
![]()

Файлы условия, демо
Характеристики решённой задачи
Предмет
Учебное заведение
Семестр
Номер задания
Вариант
Просмотров
6
Размер
2,3 Mb
Список файлов
Комментарии
Нет комментариев
Стань первым, кто что-нибудь напишет!
МГТУ им. Н.Э.Баумана
den_rucomm


















