Для студентов МГТУ им. Н.Э.Баумана по предмету Механика жидкости и газа (МЖГ или Гидравлика)Вариант 3 - Типовой расчет №1Вариант 3 - Типовой расчет №1
4,90546998
2021-04-082024-09-03СтудИзба
ДЗ 1: Вариант 3 - Типовой расчет №1 вариант 3
-66%
Описание
Вариант 3 - Типовой расчет №1
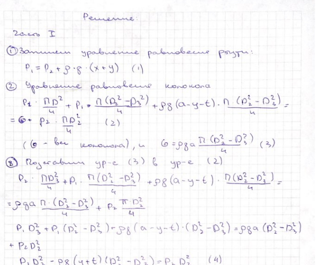
Задание: Прибор для измерения разности давлений в газах состоит из сосуда А, наполненного до некоторого уровня ртутью, и плавающего в ртути колокола В. Большее давление Р1 подводится под колокол, меньшее Р2 — в пространство над колоколом. При равенстве давлений (Р1=Р2) колокол занимает определенное начальное «нулевое » положение (рис. 1б), из которого под действием разности давлений смещается вверх на расстояние t.
Требуется определить:
- аналитическую зависимость между подъемом колокола t и разностью давлений (Р1-Р2) при размерах сосуда и колокола, указанных на рис. 1а;
- максимальную величину измеряемого давления Р1 при заданном давлении Р2, максимальном размере шкалы прибора tmax и диаметрах D1, D2, D3 и D4 при условии, что переход от наименьшего диаметра D4 к большим осуществляется путём последовательного увеличения диаметра на постоянную величину ΔD


Характеристики домашнего задания
Учебное заведение
Номер задания
Вариант
Просмотров
51
Размер
584,98 Kb
Список файлов
Типовой расчет №1 (вариант №3).pdf

Друзья, спасибо за доверие! Если вам понравилась работа – поставьте 5⭐ и напишите отзыв. Это поможет другим студентам, а мне даст силы делать ещё больше качественных материалов для вас 🔥