РГЗ №1 - Анализ линейной электрической цепи постоянного тока - Вариант ХХХ (1267106), страница 2
Текст из файла (страница 2)
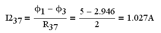
Зная коэффициент подобия, можно рассчитать действительный ток I137:
I137= I37ит* Кп=(-1,143)*0,685= -0.782 (А)
4.2. Расчёт составляющей искомого тока, обусловленной источниками ЭДС.
Рассчитаем искомую составляющую тока, используя метод узловых потенциалов.
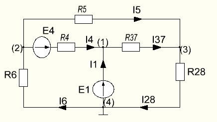
Для данной схемы:
Ф4=0
Ф1=Е1=5 В
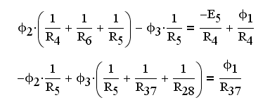
Составим уравнения для узлов (2) и (3):
Составим матрицы:
Найдем значения узловых потенциалов по формуле:
Ф=G-1*H
Вычислим:
Ф2=1,196 В
Ф3=2,946 В
Ток, обусловленный источниками ЭДС можно найти по формуле:
4.3. Определение результирующего тока в третьей ветви.
С учётом того, что каждый из частичных токов, направлен в ту же сторону, что и реальный ток, значение этого реального тока определится арифметической суммой частичных токов:
I37= I137+ I237= -0.782+1,027=0,244 (А)
5. Расчёт методом эквивалентного генератора (МЭГ).
В соответствие с теоремой об активном двухполюснике любая схема относительно любой ветви с сопротивлением R и искомым током I может быть представлена одной ветвью с ЭДС EЭКВ. И сопротивлением RЭКВ., рассматриваемыми как параметры эквивалентного генератора. В результате, исходная схема преобразуется в одноконтурную, благодаря чему искомый ток определяется соотношением:
5.1. Определение ЭДС эквивалентного генератора.
Размыкаем ветвь с искомым током.
Используя метод узловых потенциалов, определим напряжение холостого хода UXX в разрыве ветви с искомым током.
Для данной схемы:
Ф4=0
Ф1=Е1=5 В
По 2 закону Кирхгофа выражение для Uxx имеет вид:
Найдем потенциал Ф2 методом узловых потенциалов.
Составим систему уравнений:
Составим матрицы:
Найдем значения узловых потенциалов по формуле:
Ф=G-1*H
Вычислим:
Ф2=-1,576 В
Ф3=4,322 В
Рассчитаем Uxx:
Uxx=4-5-1,576= -2.576 (В)
Полученное напряжение определяет величину и направление ЭДС эквивалентного генератора. (ЕЭКВ = UXX).
5.2. Определение внутреннего сопротивления эквивалентного генератора RЭКВ.
Делаем рассматриваемую схему пассивной, для чего все источники энергии удаляются из схемы, но сохраняются их внутренние сопротивления. После объединения первого и четвёртого узлов в один узел схема становится последовательно-параллельной. Входное сопротивление относительно первого и второго узлов, к которым подключена ветвь с искомым током, определится соотношением:
В соответствии с теоремой об активном двухполюснике:
Rвх = RЭКВ
5.3.Определение результирующего тока в четвёртой ветви.
Искомый ток в четвёртой ветви определяется по соотношению:
















