Семинар 6 (Вариант на 2017)Взрывоопасная обстановка(1) (1254561), страница 3
Текст из файла (страница 3)
Таким наихудшим случаем является детонационное горение смеси стехиометрического состава.
(Стехиометрическим называется такой состав смеси, в которой горючее и окислитель находятся в пропорции, необходимой для их полного взаимодействия в процессе окисления.)
Скорость распространения процесса детонационного горения внутри облака очень велика и превышает скорость звука. Давление внутри облака за время взрыва вообще говоря не постоянно. Однако для проведения приближенной оценки параметров взрыва можно условно принять, что облако имеет форму полусферы с центром на поверхности земли, взрыв ГВС происходит мгновенно и давление в процессе взрыва одинаково и постоянно во всех точках, находящихся внутри облака.
Для большинства углеродоводородосодержащих газовых смесей стехиометрического состава можно принять, что давление внутри газового облака составляет 1700 кПа. Для проведения более точных расчетов в технической литературе приводятся расчетные соотношения, позволяющие рассчитать скорость детонационного горения, время полной детонации облака, давление в детонационной волне и др. Однако, главное,, что при этом следует помнить- при детонационном взрыве практических мер защиты внутри и вблизи облака НЕ СУЩЕСТВУЕТ.
3.2.2. Параметры ударной волны на расстояниях R> ro. (вне радиуса полусферы )
Формулы для определения значений параметров ударной волны на расстояниях, превышающих радиус полусферы газового облака в окружающем воздухе, получены путем апроксимации численного решения задачи о детонации пропановоздушной смеси, выполненной Б.Е.Гельфандом в 1985 году.
( Решение получено интегрированием системы нестационарных уравнений газовой динамики в сферических координатах в переменных Лагранжа и позволяет получать результаты удовлетворительно согласующиеся с экспериментальными данными для горючих смесей различных углеводородов с воздухом, в первую очередь пропана с воздухом.)
Это следующие формулы (ф-лы Гельфанда): - максимальное избыточное давление во фронте ударной волны (кПа):
где: MТ - тротиловый эквивалент наземного взрыва полусферического облака ГВС (кг);
- приведенный радиус взрыва по ф-ле (4),
R – расстояние от (центра) взрыва,( м); (от взорвавшейся емкости ) P0 - атмосферное давление, равное 100 кПа. - удельный импульс ( Па.с ):
Вариант ЗАДАЧИ на формулы Гельфанда
Определить (с помощью расчета по формулам Гельфанда) избыточное давление и удельный импульс во фронте ВУВ (воздушной ударной волны) на расстоянии 100 м. от емкости, в которой находится 10 т пропана, хранящегося в жидком виде под давлением, при ее разгерметизации и взрыве образовавшейся ГВС.
1. Определение массы пропана в составе ГВС
кг 2. Определение тротилового эквивалента (ф-ла 2а)
кг 3. Определение приведенного радиуса взрыва (ф-ла 4)
4. Определение избыточного давления во фронте ударной волны (ф-ла 9)
,
откуда
, следовательно (по ф-ле 8):
5. Определение значения удельного импульса ударной волны (ф-ла 10)
Для МНОГИХ веществ, способных образовывать ГВС, возможно также использование приближенного метода расчета, основанного на расчете размеров облака и статистических данных. При этом рассчитывается объем газового облака V0 и радиус полусферы газового облака r0, которые зависят от количества исходного вещества, находившегося в хранилище до аварии, и способа его хранения. Определение этих параметров может быть выполнено по формулам:
Отсюда можно вывести формулу для определения радиус полусферы газового облака r0
где: Va - объем киломоля идеального газа (постоянная Авогадро:Va=22.4 (м3/кмоль);
MХР - масса вещества, находившегося в хранилище до образования облака (до аварии)(кг);
σ – коэффициент, зависящий от способа хранения вещества, показывающий долю вещества,
(указанный к формуле (2б) на стр.3,
μ- молярная масса хранящегося вещества (кг/кмоль); cстх- стехиометрическая объемная концентрация (в абсолютных долях). (см.стр.8)
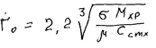
Окончательная формула для расчета r0 получает вид
Значения параметров, характеризующих некоторые вещества, приведены в таблице Б3.
Таблица Б3
Значения параметров, характеризующие некоторые вещества и их смеси с воздухом.
| Вещество | μ кг/кмоль | cстх | Вещество | μ кг/кмоль | Cстх |
| Аммиак | 17 | 0.1972 | Пропилен | 42 | 0.0446 |
| Ацетилен | 26 | 0.0775 | Этан | 30 | 0.0566 |
| Бутан | 58 | 0.0313 | Этилен | 28 | 0.0654 |
| Метан | 16 | 0.0945 | Ацетон | 42 | 0.0499 |
| Пропан | 44 | 0.0403 | Бензол | 78 | 0.0284 |
Приближенная оценка параметров взрывной волны за пределами облака может быть проведена по таблице Б4, в которой представлены значения избыточного давления ∆Pф заранее рассчитанные для различных значений R/ro, где R расстояние от места взрыва (м). Значения параметров, указанных в таблице, получены исходя из давления внутри газового облака 1700 кПа.
Таблица Б4.
Значения максимального избыточного давления и эффективного времени действия ударной волны при взрыве ГВС
| R/r0 | 0 - 1 | 1.01 | 1.04 | 1.08 | 1.13 | 1.2 | 1.4 | 1.8 |
| ∆Pф кПа | 1700 | 1232 | 814 | 568 | 500 | 400 | 300 | 200 |
| R/r0 | 2.7 | 3 | 4 | 5 | 6 | 8 | 12 | 15 | 40 |
| ∆Pф кПа | 100 | 80 | 50 | 40 | 30 | 20 | 10 | 7.8 | 2.5 |
Пример 3
Определить по таблице по приближенной оценке избыточное давление во фронте ВУВ (воздушной ударной волны) на расстоянии 100 м. от емкости, в которой находится 10 т пропилена, хранящегося в жидком виде под давлением, при ее разгерметизации и взрыве образовавшейся ГВС.
Исходные данные
При хранении газа пропилена в жидком виде под давлением σ=0,5 (см. стр.3)
Масса газа пропилена, находившегося в хранилище до образования облака (до аварии),
MХР = 10 т = 10.000 кг.
Из табл.Б3 для пропилена: μ = 42 кг/кмоль , cстх = 0,0446,
Расстояние от емкости (места взрыва) R = 100 м.
Найти: по приближенной оценке избыточное давление во фронте ВУВ (воздушной
ударной волны) ∆Pф = ?( кПа)
Расчет
-
Определение r0 ( по ф-ле 12)
= 2,2 (0,5.100002/42.0,0446) 0,3333 = 2,2 .(5000/1,8732) 0,3333 = 2,2(2670) 0,3333=2,2.13,87=
= 30,5 м
-
Определение R/r0 = 100/30,5 = 3.278 ≈ 3,3 м
-
По таблице Б4 находим, что для R/r0 = ≈3,3 значение ∆Pф лежит
между 80 кПа для R/r0 =3 и 50 кПа для R/r0 =4.
После проведения интерполяции по формуле
80 + (50-80). (3,3-3)/(4-3) = 80 +(-30) .0,3 /1 = 80 – 9 = 71
получаем
ОТВЕТ: избыточное давление во фронте ВУВ будет равно 71 кПа.
Для специфики взрыва ГВС, образовавшегося от таких тяжелых углеводородов,
как пропан, бутане и этан, в качестве приближенных расчетов можно с достаточной точностью пользоваться для определения радиуса сферы газового облака ro (в м) БОЛЕЕ УПРОЩЕННОЙ формулой (12а),
где: МХР - количество вещества, находившегося в хранилище до аварии (взрыва) в кг;
(если МХР берется в ТОННАХ, то коэффициент перед корнем должен быть 18,5)
0.6 - коэффициент, учитывающий способ хранения тяжелых углеводородов.
















