Семинар 6 (Вариант на 2017)Взрывоопасная обстановка(1) (1254561), страница 2
Текст из файла (страница 2)
Использование величины
закон подобия можно сформулировать в виде: если параметры двух взрывов в соответственных точках совпадают, то приведенные радиусы взрывов равны.
Отсюда можно использовать практическую расчетную формулу
где
- приведенный радиус взрыва (в условных единицах, не в метрах)
/ широко используется в различных расчетных соотношениях для определения
параметров ударной волны взрыва,
R - расстояние от центра взрыва до некоторой точки, м.
. МТ - тротиловый эквивалент массы взрывающегося вещества МВ , кг.
3.Расчетные соотношения, используемые при решении задач.
3.1. Оценка параметров ударной волны при взрыве конденсированных ВВ.
Давление ∆P для свободно распространяющейся сферической воздушной ударной волны убывает по мере удаления от места взрыва. Поэтому расчет его значений обычно проводится на основании соотношений, в которых давление является функцией двух аргументов - массы ВВ и расстояния от места взрыва.
Сложность разработки и последующего использования таких аналитических выражений определяется следующим обстоятельством. Скорость спада значения ∆P по мере удаления от места взрыва изменяется за счет влияния на ударную волну среды, в которой она распространяется. Чем больше расстояние от места взрыва, тем сильнее искажается характер изменения давления во фронте ударной волны. Для двух ударных волн, которые при одинаковых условиях распространения в некоторый момент времени имели одно и тоже значение ∆P, в последующие моменты значения ∆P будут отличаться, если предыстория распространения этих волн была разной. Следовательно расчетные соотношения для определения значений ∆P в эти последующие моменты также должны быть разными.
По изложенным причинам в технической литературе представлен достаточно широкий спектр расчетных соотношений для определения значений∆P, каждое из которых имеет свою сферу применения и назначение. Например, для воздушного взрыва, для наземного взрыва, для малых расстояний от места взрыва, для значительных расстояний от места взрыва, для относительно небольших зарядов ВВ, для крупных зарядов ВВ и т.д.
Базовым соотношением при расчетах избыточного давления во фронте волны∆PФ по известным данным приведенного радиуса взрыва
, (прямая задача) используемым при аварийных взрывах, принято (эмпирическое) соотношение, полученное на основании обработки большого статистического материала отечественным исследователем М.А.Садовским.
Основное эмпирическое «уравнение (формула) Садовского » широко используется при проведении практических расчетов как для наземных, так и для воздушных взрывов и имеет вид
где ∆PФ - избыточного давления во фронте волны, кПа,
- приведенный радиус (безразмерный), определяемый по ф-ле (4).
При необходимости решать обратную задачу, т.е. определять расстояние от места взрыва по заданному значению ∆PФ, можно либо решать уравнение третьей степени (5) относительно
, либо воспользоваться формулой инженерного приближения:
Формула (6) дает хорошее совпадение с результатами точного решения уравнения (5) и для значений
в интервале от 2 до 12 ошибка не превышает 10%. При этом расхождение тем больше, чем больше ∆PФ.
Удельный импульс I определяется по соотношению
где: ∆P(t) - функция, характеризующая изменение избыточного давления во фронте
ударной волны за период времени от 0 до τ + .
Кроме приведенных соотношений для расчета значений избыточного давления во фронте ВУВ (воздушной ударной волны) и удельного импульса в технической литературе имеются соотношения для расчета значений и других параметров ударной волны: максимальное давление разряжения, длительность фазы разряжения, скорость распространения ударной волны, давление скоростного напора, температура во фронте ударной волны и др., однако в данном курсе эти соотношения не рассматриваются.
Пример 1. Прямая постановка задачи.
Определить избыточное давление, которое будет испытывать прибор, установленный на расстоянии 10 м. от места взрыва 1кг гексогена во взрывном устройстве, размещенном на грунте.
MВВгексоген = 1 кг, η грунт = 0,6 (табл.Б2), k гексоген= 1,3 (табл.Б1), R = 10 м ∆PФ = ?
-
Определение тротилового эквивалента (ф-ла 2):
3. Определение ∆PФ (ф-ла 5):
Пример 2. Обратная постановка задачи.
Определить максимальное расстояние, на котором допускается установить прибор, выдерживающий давление 14.5 кПа, от места взрыва 1 кг гексогена во взрывном устройстве, размещенном на грунте.
MВВгексоген = 1 кг, η грунт = 0,6 (табл.Б2), k гексоген= 1,3 (табл.Б1), ∆PФ = 14,5 кПа R = ?
-
Определение тротилового эквивалента (ф-ла 2):
3.Определение R (ф-ла 4):
Примечание.
Вычисление корня кубического может производиться с помощью
ИНЖЕНЕРНОГО калькулятора, позволяющего
или напрямую вычислять корень 3-ей степени,
или вычисляющего величину, возводимую в степень 0,3333
(чем больше вводить число ТРОЕК, тем точнее результат).
3_____
√ МТ = МТ0,3333
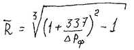
Вариант ОБРАТНОЙ ЗАДАЧИ, по которой определяются зоны возможных разрушений в здании определенной длины. Для этого СНАЧАЛА по ф-ле 6 определяются РАЗНЫЕ значения приведенного радиуса взрыва
i для интересующих ДИСКРЕТНЫХ i-тых значений избыточного давления во фронте волны ∆PФ i (кПа),
Примем в качестве дискретных i-тых значений ∆PФ i = 120 , 80, 50, 30 и 12 кПа.
В качестве i-тых значений ∆PФ i в расчетах РЕКОМЕНДУЕТСЯ брать эмпирические данные соответствующие степени разрушений неких УСРЕДНЕННЫХ объектов (но не только кирпичных зданий в соответствии с градациями на рисунке типовой диаграммы разрушений табл.Б5 для кирпичных зданий и поражения людей только от ударной волны при ядерном взрыве): полные – 100 кПа, сильные – 85 кПа, средние - 59 кПа, слабые - 30 кПа, нет разрушений – 12 кПа .
Определим
i = [(1 + 337/ ∆PФ i )2 - 1 ] 0,3333 (см. результаты расчета в табл.)
Зная характеристики взорвавшегося вещества массой MВВ , характер подстилающей поверхности (по коэффициенту η по табл. Б2), можно с помощью коэффициента k приведения взрывчатого вещества к ТРОТИЛУ (по табл.Б1) определить тротиловый эквивалент при взрыве по формуле 2:
MT = 2 η k MВВ.
Затем надо будет рассчитать для выбранных ДИСКРЕТНЫХ i-тых значения избыточного давления во фронте волны ∆PФ i ВЕЛИЧИНЫ значения R i ПО ФОРМУЛЕ
_ 3_____
R i = R i √ МТ .
Остается связать полученные координаты R i с с взаимным расположением точки взрыва по расстоянию до ближайшей точки исследуемого здания и характеру разрушений по длине этого здания в направлении распространения фронта ударной волны.
Вариант ОБРАТНОЙ ЗАДАЧИ, по которой определяются зоны возможных разрушений в здании определенной длины.
Произошел взрыв тротила (k=1 массой MВВ =10кг. над грунтом (η=0,6) на расстоянии t =5 м от узкой стороны здания длиной 50 м. Определить зоны возможных разрушений в здании.
-
Определение тротилового эквивалента (ф-ла 2):
MT = 2 η k MВВ.= 2.0,6. 1.10 = 12 кг
1а. Теперь полезно рассчитать значение величины
(MT )1/3 =(MT ) 0,3333= (12) 0,3333=2,3
i = [(1 + 337/ ∆PФ i )2 - 1 ] 0,3333,
Рассчитанные по ф-ле (6) величины
i приведены в таблице
| ∆PФ i кПа | 120 | 85 | 50 | 30 | 12 |
| 2,38 | 2,87 | 3,89 | 5,3 | 9,45 | |
| 5,4 | 6,6 | 8,95 | 12,2 | 21,7 | |
| L i м | 0,4 | 1,6 | 3,95 | 7,2 | 16,7 |
| l i =L i -Li -1, м | 0 | 1,2 | 2,35 | 3,25 | 9,5 |
-
Расчет по формуле, полученной из ф-лы (4), значений
Результаты значений R i подставлены в таблицу.
-
Определим расстояния L i до i-тых точек, в которых будет действовать фронта ударной волны с известными значениями ∆PФ i (кПа) по формуле
L i = R i – t = R i – 5
Результаты приведены в таблице
5. Определим для i-тых точек шаг l i по длине здания в 50 м, начиная от точки обреза узкой стороны здания, с которой начинает проходить, затухая, ударная волна l i = L i - L i -1
Результаты приведены в таблице.
3.2. Оценка параметров ударной волны при взрыве газовоздушных смесей (ГВС).
3.2.1. Параметры ударной волны на расстояниях R<ro
(ro - радиус сферы газового облака)
При взрывах газовоздушных смесей параметры внутри газового облака могут изменяться в очень широких пределах в зависимости от условий взрыва, концентрации горючей компоненты и характера взрывного горения, которые при прогнозировании взрывов, особенно на открытом воздухе, учесть практически невозможно. Поэтому обычно расчеты проводят для худшего случая, при котором разрушительные последствия взрыва наибольшие.
















