Tong hop cemina (1254556), страница 23
Текст из файла (страница 23)
Расчет заземляющих устройств
Расчет сводится к определению сопротивления растеканию тока заземлителя, которое зависит от проводимости грунта, конструкции заземлителя и глубины его заложения. Проводимость грунта характеризуется его удельным сопротивлением ρ ( Ом*см): сопротивление между противоположными сторонами кубиками грунта с ребрами 1см. Удельное сопротивление зависит от характера и строения грунта, его влажности, глубины промерзания и может колебаться в широких пределах.
Обычно в расчет принимают следующие средние занчения удельных сопротивлений грунта (Ом*см):
глина, садовая земля..........................................4*10³
чернозем..............................................................5*10³
суглинок, каменистая глина..............................10*10³
щебень с песком, каменистая почва.................20*10³
супесь.................................................................30*10³
песок с галькой..................................................80*10³
При промерзании грунта электропроводность его ухудшается и удельное сопротивление возрастает. Поэтому в расчет нужно вводить поправку Км - коэффициент сезонности, величина которого определяется в зависимости от климатической зоны. Коэффициент сезонности приведен в таблице ниже.
табл.1. Значения коэффициента сезонности Км
| климатические зоны | признаки зон | коэффициент Км | ||
| средняя многолетняя температура, °С | продолжительность замерзания вод, сутки | |||
| низшая (январь) | высшая (июль) | |||
| 1 | от -20 до -15 | от +16 до +18 | 170...190 | 1,9/5,8 |
| 2 | от -15 до -10 | от +18 до +22 | 150 | 1,7/4,0 |
| 3 | от -10до 0 | от +22 до +24 | 100 | 1,5/2,3 |
| 4 | от 0 до +5 | от +24 до +26 | 0 | 1,3/1,8 |
В последнем столбце
Числитель - для вертикальных заземлителей с заложением их вершин на глубине 0,5...0,7м от поверхности земли;
Знаменатель - для горизонтальных заземлителей при глубине заложения 0,3...0,8м.
При удельных сопротивлениях грунта более 20*10³ Ом*см необходимо устанавливать углубленные заземлители или принимать меры для снижения величины ρ.
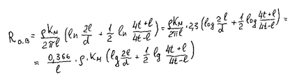
По ВСЕМ СПРАВОЧНИКАМ формулы вычисления СОПРОТИВЛЕНИЯ РАСТЕКАНИЮ ТОКА С ОДНОЧНОГО ВЕРТИКАЛЬНОГО ЗАЗЕМЛИТЕЛЯ RО.В. (трубчатого или стержневого длиной l В ЗЕМЛЕ на глубине t ) определяется по формуле
В этой формуле (и в других аналогичных) вместо взятия НАТУРАЛЬНОГО логарифма ln делается переход к десятичным логарифмам log10 (или lg ) с помощью введения КОЭФФИЦИЕНТА 2,3, который вместе с постоянной величиной 2π создает коэффициент в числителе (2,3/ 2π) = 0,366.
Поэтому сопротивление (в Омах) одиночного вертикального заземлителя (из круглого стержня) растеканию тока определяется по формуле:
(Здесь уже имеется ввиду десятичный логарифм log )
где ρ - удельное сопротивление грунта, Ом*см;
Км - коэффициент сезонности;
l - длина заземлителя, см;
d - диаметр стержня, см;
t - глубина заложения (от поверхности земли до середины длины стержня), см.
( Если вместо круглого стержня используется угловая сталь, то d = 0,95b, где b - ширина полок уголка).
При ориентировочных расчетах сопротивление одиночного заземлителя
можно с достаточной точностью определять как
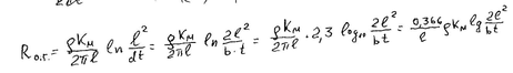
Соответственно по всем справочникам для ГОРИЗОНТАЛЬНОГО ЗАЗЕМЛИТЕЛЯ RО.Г. (трубчатого или плоского стержня длиной l Г В ЗЕМЛЕ на глубине t ) определяется по формуле, в которой ,
во-первых, учтено, что для плоского стержня d = 0,5 b = b /2,
во-вторых, сделан переход от НАТУРАЛЬНОГО логарифма ln переход к десятичным логарифмам log10 (или lg ) с помощью введения КОЭФФИЦИЕНТА 2,3, который вместе с постоянной величиной 2π создает коэффициент в числителе (2,3/ 2π) = 0,366.
Отсюда сопротивление (в Омах) горизонтального заземлителя:
где lг - длина заземлителя, см;
b - ширина полосового заземлителя, см; t - глубина его заложения, см.
Сопротивление заземлителя из нескольких электродов, соединенных полосой:
Суммарное сопротивление всех вертикальных электродов составит:
где n - число электродов; ηв - коэффициент использования электрода, характеризующий степень использования его поверхности из-за экранирующего влияния соседних электродов (см. таблицу).
табл.2. Значения коэффициента использования ηв
| количество вертикальных заземлителей | отношение a/l (a - расстояние между заземлителями; l - длина заземлителя) | |||||
| 1 | 2 | 3 | ||||
| ηв | ηг | ηв | ηг | ηв | ηг | |
| 4 | 0,69/0,74 | 0,45/0,77 | 0,78/0,83 | 0,55/0,89 | 0,85/0,88 | 0,70/0,92 |
| 6 | 0,62/0,63 | 0,40/0,77 | 0,73/0,77 | 0,48/0,83 | 0,80/0,83 | 0,64/0,88 |
| 10 | 0,55/0,59 | 0,34/0,62 | 0,69/0,75 | 0,40/0,75 | 0,76/0,81 | 0,56/0,82 |
| 20 | 0,47/0,49 | 0,27/0,42 | 0,64/0,68 | 0,32/0,56 | 0,71/0,77 | 0,45/0,68 |
| 30 | 0,43/0,43 | 0,24/0,31 | 0,60/0,65 | 0,30/0,46 | 0,68/0,75 | 0,41/0,58 |
числитель - значения при размещении вертикальных заземлителей по замкнутому контуру; в знаменателе - при расположении их в ряд.
Для горизонтальных полос, связывающих вертикальные электроды, сопротивление
растеканию тока с учетом экранирования определяется по формуле:
,
где ηг - коэффициент использования горизонтальной полосы с учетом экранирующего влияния вертикальных электродов. Далее приводим небольшой пример расчета заземления.
Пример . Выполнить контур защитного заземления цеховой подстанции с двумя трансформаторами 630 кВ*А на напряжении 10/0,4кВ. Протяженность электрически связанных кабельных линий 10кВ предприятия составляет 18км. Грунт - суглинок, климатическая зона - 3.
Решение.
Ток однофазного короткого замыкания для сетей свыше 1000В с изолированной нейтралью определяется по формуле:
где U = 10кВ - междуфазное напряжение (в киловольтах);
lв и lк - длины электрически связанных воздушных (lв=0) и кабельных (lк =18 км) линий сети
данного напряжения (в километрах).
Отсюда находим значение тока однофазного короткого замыкания на землю:
По ПУЭ в общем виде сопротивление заземления не должно превышать величины:
250/ I з, для установок напряжением свыше 1000 В, но не более 10 Ом.
Сопротивление заземлителя растеканию тока на напряжении 10кВ определяется как:
Таким образом, Rз = 250/18= 13,88 Ом.
В соответствии с ПУЭ сопротивление заземлителей у электроустановок -напряжением 10кВ должно быть не более 10 Ом, - а с напряжением 0,4/0,23кВ - не более 4 Ом. Расчетным принимается всегда сопротивление заземления для меньшего напряжения. таким образом, принимаем Rз = 4 Ом.
После этих расчетов необходимо определиться с материалом заземлителей. Будем выполнять свои заземлители из круглых стальных электродов диаметром d =12мм и длиной l = 5м. Размещаем электроды в ряд и соединяем их полосой из круглой стали диаметром d =12мм.
Полосу заложим на глубине t =0,6м.
При ориентировочных расчетах сопротивление одиночного заземлителя Rо.в . можно с достаточной точностью определять как
Обычно в расчет принимают средние занчения удельных сопротивлений грунта (Ом*см), приведенные выше.
Для суглинка ρ = 10*10³ Ом*см.
















