Расчет лестницы перекрытие_Марина (1218445), страница 2
Текст из файла (страница 2)
Максимальная поперечная сила составляет:
Расчет предварительно напряженных элементов по бетонной полосе между наклонными сечениями выполняется по формуле:
где
поперечная сила в нормальном сечении, кН;
коэффициент, принимаемый равным 0,3.
Условие выполняется.
2.1.10 Расчет косоуров
Исходные данные для проектирования для проектирования стальных конструкций. Сталь принята С245. При толщине проката 2-20 мм - Ry=24,0 кН/см2. При толщине проката 21-40 мм - Ry=24,0 кН/см2. Расчетная схема металлического косоура приведена на рисунке. Ширина марша 1,2 м. Ширина сбора нагрузки на 1 косоур -0, 6 м.
Рисунок 2.5- Расчетная схема металлического косоура
Сбор нагрузок на косоур приведены в таблице 2.3.
Таблица 2.3- Нагрузки на 1 м2
| Вид нагрузки | Нормативная нагрузка, кН/м2 | Коэффициент надежности по нагрузке | Расчетная нагрузка, кН/м2 |
| Постоянная: | |||
| Вес жб ступеней | 3,82 | 1,1 | 4,22 |
| Вес металлических конструкций косоуров | 0,26 | 1,05 | 0,27 |
| Итого постоянная: | 4,08 | 1,1 | 4,49 |
| Временная: | |||
| Временная нагрузка | 3,0 | 1,2 | 3,6 |
| Итого временная: | 3,0 | - | 3,6 |
| Итого общее(постоянная, временная) : | 7,08 | - | 8,09 |
Погонная нагрузка на один косоур:
Максимальный расчетный изгибающий момент в косоуре составляет:
Расчет косоура выполняется на два загружения:
-косоур загруженный постоянной и временной нагрузкой;
-косоур, загруженный сосредоточенный нагрузкой 1 кН в середине пролета.
Подбор сечения элемента осуществляется по формуле:
(2.21)
где N- продольная сила, кг; А- площадь поперечного сечения элемента, см2; φ- коэффициент продольного изгиба; γс- коэффициент условия работы; Ry- расчётное сопротивление стали.
Проверяем балку сечением швеллер 16 по ГОСТ 8240-97, которое имеет следующие характеристики сечения: А=18,1 см2;
6,42 см;
1,89 см; Wx=93,4 см3; Wу=13,8 см3 = 0,138 м3
Напряжение в элементе сечением составляет:
Допустимый вертикальный прогиб балки определяется по формуле:
Допустимый вертикальный прогиб балки составляет:
Необходимо выполнить расчет косоура по физиологическим требованиям. То есть прогиб от сосредоточенной нагрузки, весом в 100 кг приложенной в середине пролета косоура не должен превышать 0,7 мм и не должен превышать
.
Предельный прогиб косоуров исходя из физиологических требований следует определять по формуле:
(2.23)
где g-ускорение свободного падения; р-нормативное значение нагрузки от людей, возбуждающих колебания; р1-пониженное нормативное значение нагрузки на перекрытие; q-нормативное значение нагрузки от веса рассчитываемого элемента и опирающихся на него конструкций; n-частота приложения нагрузки при ходьбе человека; b-коэффициент, определяемый по формуле:
(2.24)
где Q - вес одного человека, принимаемый равным 0,8 кН; а - шаг косоуров, м; l - расчетный пролет элемента конструкции, м.
Рисунок 2.6- Загружение сосредоточенной нагрузкой 1 кН(физиологические требования) в середине пролета, кН
Коэффициент составляет:
Предельный прогиб косоуров исходя из физиологических требований следует определять по формуле:
Прогиб от нагрузки 1,0 кН в середине пролета определяется по формуле и составляет:
Следовательно, требования по прочности, деформативности, а также физиологические требования к конструкции выполняются. Принимаем сечение косоура швеллер 16 по ГОСТ 8240-97.
2.2 Расчет перекрытия. Сбор нагрузки на перекрытие.
Сбор нагрузок от полов на перекрытие в жилых помещениях, приведен в таблице 2.2. Сбор нагрузок перекрытие сантехнических помещений, согласно составу пола, приведен в таблице 2.3.
Таблица 2.2 Нагрузки на 1 м2 плиты перекрытия жилых помещений
| Вид нагрузки | Нормативная нагрузка, кН/м2 | Коэффициент надежности по нагрузке | Расчетная нагрузка, кН/м2 |
| Постоянная: | |||
| 1. Линолеум (t=5,0 мм); 0,005 м х 18 кН/м3=0,09кН/м2; | 0,09 | 1,2 | 0,11 |
| 2. Цементно-песчанная стяжка (t=40 мм); 0,04 м х 19 кН/м3=0,76 кН/м2; | 0,76 | 1,3 | 0,98 |
| 3. Перегородки | 0,5 | 1,3 | 0,65 |
Продолжение таблицы 2.2
| Вид нагрузки | Нормативная нагрузка, кН/м2 | Коэффициент надежности по нагрузке | Расчетная нагрузка, кН/м2 |
| 4. Звукоизоляция (t=40 мм); 0,04 м х 0,2 кН/м3=0,01 кН/м2; | 0,01 | 1,2 | 0,012 |
| 5. Вес монолитной плиты; (t=0,16 м ; γ=25 кН/м3); 0,16 м х 25кН/м3=4,0 кН/м2; | 4,0 | 1,1 | 4,4 |
| Итого постоянная: | 6,12 | - | 6,15 |
| Временная: | |||
| Нагрузка на плиту перекрытия | 1,5 | 1,2 | 1,8 |
| Итого временная: | 1,5 | - | 1,8 |
| Итого общее : | 6,86 | - | 7,95 |
Для расчета плиты перекрытия в плане условно выделяем полосу шириной 1 м, поперечное сечение представлено на рисунке 2.7.
Рисунок 2.7 – Расчетное сечение плиты
Таблица 2.3- Нагрузки на 1 м2 плиты перекрытия сантехнических помещений
| Вид нагрузки | Нормативная нагрузка, кН/м2 | Коэффициент надежности по нагрузке | Расчетная нагрузка, кН/м2 |
| Постоянная: | |||
(t=10 мм); 0,010 м х 21,7 кН/м3=0,22 кН/м2; | 0,22 | 1,2 | 0,26 |
Продолжение таблицы 2.3
| Вид нагрузки | Нормативная нагрузка, кН/м2 | Коэффициент надежности по нагрузке | Расчетная нагрузка, кН/м2 |
М 150 (t=15 мм); 0,015 м х 19 кН/м3=0,29 кН/м2; | 0,29 | 1,3 | 0,38 |
| 3. Цементно-песчанная стяжка, М 150 (t=25 мм); 0,025 м х 19 кН/м3=0,76 кН/м2; | 0,48 | 1,3 | 0,62 |
| 4. Перегородки | 0,5 | 1,3 | 0,65 |
| 5. Вес железобетонной монолитной плиты; (t=0,16 м ; γ=25 кН/м3); 0,20 м х 25 кН/м3=5,0 кН/м2; | 4,0 | 1,1 | 4,4 |
| Итого постоянная: | 5,49 | 6,31 | |
| Временная: | |||
| Нагрузка на плиту перекрытия | 1,5 | 1,2 | 1,8 |
| Итого временная: | 1,5 | - | 1,8 |
| Всего: | 6,99 | 7,81 | |
-
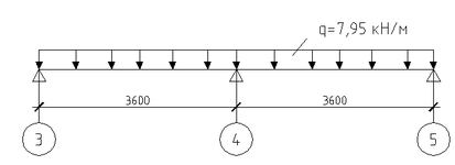
Определение усилий в плите перекрытия
Нагрузка на 1 метр плиты будет равна нагрузке на 1 м2 перекрытия, сбор нагрузки выполнен в таблице 2.2.
С учетом коэффициента надежности по назначению здания расчетная нагрузка на плиту составляет:
-постоянная q=6,15 х 1,0 х 1,0 =6,15 кН/м.
-временная q=1,8 х 1,0 х 1,0 =1,8 кН/м.
Рисунок 2.8 Расчетная схема плиты перекрытия
С учетом коэффициента надежности по назначению здания суммарная расчетная нагрузка для расчетов по первой группе предельных состояний на плиту составляет :
q=7,95 х 1,0 х 1,0 =7,95 кН/м.
С учетом коэффициента надежности по назначению здания суммарная нормативная нагрузка для расчетов по второй группе предельных состояний на плиты составляет :
















