Диплом, Гнедой (1207612), страница 16
Текст из файла (страница 16)
длина: 24 м;
ширина: 8 м;
высота: 4,3 м;
грунт: суглинок, удельное сопротивление грунта: 100 Ом*м.
Общее сопротивление растеканию заземлителей (в том числе естественных) всех повторных заземлений PEN-проводника каждой ВЛ в любое время года должно быть не более 10 Ом при линейном напряжении 380 В источника трехфазного тока или 220 В источника однофазного тока. На складе ГСМ должен быть общий контур заземления для электрооборудования, защиты от статического электричества, прямых ударов и вторичных проявлений молний. Сопротивление растеканию тока заземлителей не должно быть более 10 Ом.
Защита склада ГСМ от разрядов молнии осуществляется с помощью молниеприемников. Система молниезащиты состоит из молниеприемника, непосредственно воспринимающего на себя разряд молнии и заземлителя.
Комплекс мероприятий:
- установка двух отдельно стоящих молниеприемников-мачт высотой 17 м;
- молниеприемник заземляется 3-мя электродами;
- монтаж заземляющего устройства, состоящего из 6 вертикальных электродов D=14 мм, длиной 3 м, объединенных горизонтальным электродом (омедненная проволока 10 мм). Расстояние от электрода до молниеприемной мачты 1 м, расстояние между электродами 5 м, заглубление 0,5 – 0,7 метра.
Расчет сопротивления заземляющего устройства:
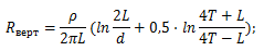
Сопротивление вертикального электрода определяется по формуле
(6.1)
где ρэкв – эквивалентное удельное сопротивление грунта, Ом·м;
L – длина вертикального электрода, м;
d – диаметр вертикального электрода, м;
T– заглубление - расстояние от поверхности земли до заземлителя, м;
(6.2)
где t – заглубление верха электрода, м
Сопротивление горизонтального электрода определяется по формуле
(6.3)
где D – диаметр горизонтального электрода, м;
t - глубина заложения горизонтальной сетки, м;
Lгор – длина горизонтального электрода, м.
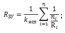
Полное сопротивление заземляющего устройства определяется по формуле
(6.4)
где n – количество комплектов;
kисп – коэффициент использования;
Расчетное сопротивление заземляющего устройства составляет 2,6 Ом, что меньше требуемого 10 Ом.
Расчет параметров зоны защиты двойного стержневого молниеотвода:
Минимальная высота зоны посередине между молниеотводами определяется по формуле
(6.5)
Ширина горизонтального сечения в центре между молниеотводами на высоте hx определяется по формуле
(6.6)
Исходные данные:
h = 17 м
L = 35 м
h0 = 0.8h = 13,6 м
r0 = 0.8h = 13.6 м
Lmax = 4.75h = 80,75 м
Lc = 2.25h = 38,25 м
для hx = 6 м:
Lmax; Lc; h0; r0 – табличные значения.
Таблица 6.1. Расчет зоны защиты одиночного тросового молниеотвода
| Надежность защиты Рз | Высота молниеотвода h, м | Высота конуса h0, м | Радиус конуса r0, м |
| 0,9 | От 0 до 150 | 0,87h | 1,5h |
| 0,99 | От 0 до 30 | 0,8h | 0,95h |
| От 30 до 100 | 0,8h | [0,95-7,14µ10-4(h-30)]h | |
| От 100 до 150 | 0,8h | [0,9-10-3(h-100)]h | |
| 0,999 | От 0 до 30 | 0,75h | 0,7h |
| От 30 до 100 | [0,75-4,28·10-4(h-30)]h | [0,7-1,43·10-3(h-30)]h | |
| От 100 до 150 | [0,72-10-3(h-100)]h | [0,6-10-3(h-100)]h |
Таблица 6.2. Расчет параметров зоны защиты двойного стержневого молниеотвода
| Надежность защиты Рз | Высота молниеотвода h, м | Lmax, м | L0, м |
| 0,9 | От 0 до 30 | 5,75h | 2,5h |
| От 30 до 100 | [5,75-3,57·10-3(h-30)]h | 2,5h | |
| От 100 до 150 | 5,5h | 2,5h | |
| 0,99 | От 0 до 30 | 4,75h | 2,25h |
| От 30 до 100 | [4,75-3,57·10-3(h-30)]h | [2,25-0,01007 (h-30)]h | |
| От 100 до 150 | 4,5h | 1,5h | |
| 0,999 | От 0 до 30 | 4,25h | 2,25h |
| От 30 до 100 | [4,25-3,57·10-3(h-30)]h | [2,25-0,01007 (h-30)]h | |
| От 100 до 150 | 4,0h | 1,5h |
Вывод:
Разобравшись с вопросами построения молниезащиты и заземления на складах ГСМ и требованиями к ним, стоит также отметить важность поддержания этих систем в исправном и рабочем состоянии. Ежегодно в летний период должны проводиться плановые проверочные и измерительные работы. Они включают в себя проверку состояния всех токоотводов, их соединений, измерение сопротивления заземляющих электродов. Если сопротивление заземляющего контура на 20% больше предельно допустимого, следует установить дополнительные электроды. Замена токоотводов и заземлителей производится в том случае, если их площадь сечения уменьшилась на 25%.
Правильное планирование системы защиты от грозы и заземления склада ГСМ, а также поддержание ее в рабочем состоянии, позволит защитить людей, животных и окружающую среду от негативных последствий удара молнии.
ЗАКЛЮЧЕНИЕ
Дипломная работа выполнена по материалам, полученным в ходе прохождения преддипломной практики на Горинской дистанции пути ДВЖД ОАО «РЖД».
Целью настоящей работы являлось изучение технического состояния участка Горинской дистанции пути и назначение мероприятий необходимых для устранения отклонений от норм эксплуатации её участков.
Для достижения поставленной цели решены следующие задачи:
– исследовано состояние верхнего строения пути и земляного полотна;
– назначено и запроeктировано проведениe капитального ремонта пути на участке Эворон - Харпичан;
– запроeктирована укладка плетей бесстыкового пути на участке Эворон - Харпичан
При выполнении работы исследуемые вопросы изучены в нормативной литературе и трудах спeциалистов по соответствующей тематике.
В результате выполнения дипломной работы получено следующее:
– на основе выполненных расчётов в дипломном проектировании, выполнен анализ, который позволил сделать следующие выводы: для всех напряжений в кромке подошвы рельса, на смятие в прокладках при железобетонных шпалах, сжатия в балласте под шпалой в подрельсовой зоне, сжатия на основной площадке земляного полотна в подрельсовой зоне (sк, sш, sб, sh ) полученные значения напряжения при скорости грузового поезда 80 км/ч и статических нагрузок на колесо Рст = 23т, не превышают предельно допускаемых значений. При увеличении осевых нагрузок напряжения во всех элементах увеличивается по линейной зависимости;
– принята конструкция верхнего строения пути (тип рельсов Р65, шпалы железобетонные, скрепления ЖБР-65Ш) полностью соответствующая условиям эксплуатации;
– в соответствии с Положением о системе ведения путевого хозяйства ОАО «РЖД» на перегоне Эворон - Харпичан на участке с КМ 3678 – КМ 3701 (23 км) назначен капитальный ремонт пути;
– разбив весь участок, на восемь участков, определили длину фронта работ равную 2,8 км для проведения основных работ капитального ремонта пути в "окно" на закрытом перегоне продолжительностью 10 часов 00 минут;
– запроектирован технологический процесс капитального ремонта пути без глубокой очистки щебня. Подготовительные работы на одном фронте работ занимают 11 часов, а отделочные работы занимают 11 часов 20 минут. Из-за небольшого времени в графике работ по дням отделочные и подготовительные работы, запроектированы продолжительностью один день;
- запроектирован также технологический процесс по замене инвентарных рельсов на бесстыковые плети, продолжительностью 8 часов 00 минут;
– рассмотрены вопросы безопасности при погрузочно-разгрузочных работах по охране труда;
В итоге, в ходе дипломного проектирования, поставленные задачи решены и цели достигнуты.
Список литературы.
1.Методика классификации железнодорожных линий ОАО «РЖД». Утв. Распоряжением ОАО «РЖД» от 31.12.2015 г. № 3188р.
2.Севостьянова Л.Л., Змеев К.В. Расчеты верхнего строения пути на прочность и устойчивость. – Хабаровск: Изд. ДВГУПС. 2003. – 67 с.
3.Бабич Е. Г. Железнодорожный путь. Расчеты на прочность и устойчивость. Методическое пособие по выполнению практических работ. – Хабаровск: ДВГУПС, 2011.-52 с.
4.Баранова Л. А. Механизированные и машинизированные комплексы для ремонта и содержания железнодорожного пути. Учебное пособие. – Хабаровск: ДВГУПС, 2006.-159 с.
5.Инструкция по устройству, укладке, содержанию и ремонту бесстыкового пути. Утверждена распоряжением ОАО «РЖД» №2788р от 29.12.2012 г. C 01.07.2017 вводится новая, утвержденная распоряжением ОАО «РЖД» от 14.12.2016 №2544/р.
6.ИОТ РЖД -4100612-ЦДРП-035-2012. Инструкция по охране труда для монтера пути ОАО «РЖД». Утв. 29.12.2012 г. №2769р.
7.Инструкция по обеспечению безопасности движения поездов при производстве путевых работ. Утверждена распоряжением ОАО «РЖД» от 14.12.2016 №2540/р.
8.Технические условия на работы по реконструкции (модернизации), ремонту и планово-предупредительной выправке пути. Утв. распоряжением ОАО «РЖД» №75р от 18.01.2013 г.
9.Приказ МПС РФ от 12.11.01 №41 « О нормах допускаемых скоростей движения подвижного состава по железнодорожным путям колеи 1520 (1524) мм ».
10.Яковлева Т.Г. Железнодорожный путь. – М.: Транспорт. 2001г.
Методическое пособие.ирование участка новой железнодорожной линии.очность и устойчивостьть и путевое хозяйство"-ти.
11.Расчеты и проектирование железнодорожного пути. Учебное пособие для студентов вузов ж.д.трансп./В.В.Виноградов, А.М.Никонов, Т.Г.Яковлева и др. – М.: Маршрут,2003.-66с.: ил.
12.Методика оценки воздействия подвижного состава на путь по условиям обеспечения его надежности. №ЦПТ-52/14. Утв. 16.06.2000 г.
13.ЦПТ-44/17 Временное руководство по определению возвышения наружного рельса и допускаемых скоростей движения в кривых. Утв. 22.08.2009 г.
14.Стандарт ДВГУПС СТ 02-16-12. Требования к содержанию и оформлению выпускных квалификационных работ. Утв. 21.09.2012 г.
15.Севостьянова Л.Л. Бесстыковой путь в условиях Дальневосточного региона. Учебное пособие. –Хабаровск: ДВГУПС, 1997.-101с.
16.Стоянович Г.М., Прокудин И.В., Черников А.К. Расчет устойчивости и прочности железнодорожного полотна при вибродинамическом воздействии подвижного состава. Методическое пособие. – Хабаровск: Изд-во ДВГУПС, 1999.-92 с.
17.Телегин С.А. ''Планирование ремонтов пути'', методические указания на выполнение курсового и дипломного проектирования; Хабаровск, ДВГУПС – 1999 г. – 36 с.















