Soderzhanie (1204852), страница 5
Текст из файла (страница 5)
Для определения объема лесорубных и лесорасчистных работ подсчитывают площадь, занятую просекой:
(2.18)
где P - площадь расчистки трассы, м2; Si - ширина просеки на i-м участке линии, м; li - длина i-гo участка, м.
Объем лесорасчистных работ подсчитан по формуле:
(2.19)
где Р - площадь расчистки просеки от лесонасаждений, м² ; qп и qд - соответственно выход с гектара пней и древесины, м³; α – доля площади расчистки просеки, на которой производится корчевка пней, α=0,2.
Подсчет лесорубных работ сводится в ведомость (таблица 2.8).
Таблица 2.8 - Ведомость расчета объема лесорубных работ
| Сооружение | Длина, м | Средняя рабочая отметка, м | Ширина просеки, м | Площадь вырубки, м2 | |
| 1 | 2 | 3 | 4 | 5 | |
| Выемка | 100 | 1,04 | 30,21 | 3021 | |
| Насыпь | 900 | 1,06 | 26,88 | 24192 | |
| Выемка | 1200 | 0,55 | 35,91 | 43092 | |
| Насыпь | 1135 | 3,27 | 36,87 | 41847,45 | |
| Выемка | 1181 | 2,25 | 41,76 | 49318,56 | |
| Насыпь | 404 | 1,44 | 35,76 | 14447,04 | |
| Выемка | 182 | 0,22 | 26,58 | 4837,56 | |
| Насыпь | 721 | 1,38 | 25,44 | 18342,24 | |
| Выемка | 896 | 2,85 | 32,34 | 28976,64 | |
| Насыпь | 220 | 2,60 | 23,79 | 5233,8 | |
| Выемка | 656 | 2,33 | 31,89 | 20919,84 | |
| Насыпь | 467 | 6,80 | 22,71 | 10605,57 | |
| Выемка | 1069 | 1,99 | 30,78 | 32903,82 | |
| Насыпь | 923 | 0,91 | 29,76 | 27468,48 | |
| Выемка | 1700 | 2,16 | 33,66 | 57222 | |
| Насыпь | 646 | 1,18 | 30,51 | 19709,46 | |
| Выемка | 1325 | 2,94 | 37,11 | 49170,75 | |
| Насыпь | 669 | 6,37 | 23,01 | 15393,69 | |
| Выемка | 806 | 1,43 | 30,12 | 24276,72 | |
| Насыпь | 744 | 0,94 | 24,18 | 17989,92 | |
| Выемка | 1333 | 2,09 | 26,31 | 35071,23 | |
| Насыпь | 2213 | 2,99 | 24,51 | 54240,63 | |
| Сумма | 598280,4 | ||||
| Кавальер | 170 | 3 | 70,92 | 12056,4 | |
| Кавальер | 500 | 3 | 52,78 | 26390 | |
| Сумма | 38446,4 | ||||
| Итого | 636726,8 | ||||
Зная площади вырубки, подсчитываются объемы по валке леса и корчевке пней.
Общий объем по валке леса и корчевке пней: Vл =м³
В том числе:
- древесины м³
- пней м³
К подготовительным работам отнесены также срезка растительного слоя грунта. Объем этих работ измерен площадью раскрытия выемок, исчисляемых по средней рабочей отметке (таблица 2.9).
Таблица 2.9 - Ведомость расчета объемов работ по срезке растительного слоя
| Сооружение | Длина, м | Средняя рабочая отметка, м | Ширина , м | Площадь, м2 | ||
| Выемка | 100 | 1,04 | 30,21 | 3021 | ||
| Выемка | 1200 | 0,55 | 35,91 | 43092 | ||
| Выемка | 1181 | 2,25 | 41,76 | 49318,56 | ||
| Выемка | 182 | 0,22 | 26,58 | 4837,56 | ||
| Выемка | 896 | 2,85 | 32,34 | 28976,64 | ||
| Выемка | 656 | 2,33 | 31,89 | 20919,84 | ||
| Выемка | 1069 | 1,99 | 30,78 | 32903,82 | ||
| Выемка | 1700 | 2,16 | 33,66 | 57222 | ||
| Выемка | 1325 | 2,94 | 37,11 | 49170,75 | ||
| Выемка | 806 | 1,43 | 30,12 | 24276,72 | ||
| Выемка | 1333 | 2,09 | 26,31 | 35071,23 | ||
| сумма | 348810,12 | |||||
2.3.5. Определение объемов отделочно-планировочных работ
Отделочные (профилировочно-планировочные) работы производятся сразу же после окончания основных работ без перерывов во времени. Для этого выемки и насыпи должны быть закончены вчерне с запасом грунта на откосах и по высоте до 10 см, чтобы производить при профилировании и планировке сооружений срезку, а не досыпку грунта.
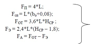
Площадь поверхностей закюветных полок FП, а также дна резервов и верхнего основания кавальеров определяется умножением ширины соответствующей площадки на длину сооружения и на числосоответствующих поверхностей.
(2.20)
где 4 = 2 х 2 м – ширина 2-х закюветных полок в выемке, м; FCП – площадь поверхности сливной призмы, м2; bo – ширина основной площадки земляного полотна, м; L – длина сооружения, м; FOT – общая площадь двух откосов земляного сооружения (выемки, насыпи, резерва и т.д.), м2; Hср – средняя рабочая отметка, м; FЭ – площадь поверхности откосов, где работы выполняет экскаватор-планировщик, м2; FA – площадь откосов, доступная для использования автогрейдера, м2.
Работы по планировке откосов целесообразно производить автогрейдерами, производительность которых значительно превышает производительность экскаватора-планировщика. Однако автогрейдерами можно планировать откосы высотой до 3,5 м, что соответствует длине откоса 6,5 м. При длине откоса более 6,5 м дополнительно привлекаются одноковшовые экскаваторы с планировочным оборудованием или с оборудованием драглайна.
В состав работ заключительного периода также входит нарезка кюветов в выемках. Объем этих работ измеряется в м3 вынутого грунта
(2.21)
где l – длина выемки, м; 1,56 – площадь поперечного сечения двух кюветов, м2. Вычисление объемов планировочно-отделочных работ следует производить в табличной форме (табл. 2.10).
Таблица 2.10 - Вычисление объемов отделочно-планировочных работ
| Сооружение | Длина, м | Средняя рабочая отметка, м | Fcп, м2 | Fп, м2 | Откосы, м2 | Кюве-ты, м3 | |||
| Fот | Fа | Fэ | |||||||
| 1 | 2 | 3 | 4 | 5 | 6 | 7 | 8 | 9 | |
| Выемка | 100 | 1,04 | 1558 | 400 | 374 | 374 | 156 | ||
| Насыпь | 900 | 1,06 | 6462 | 3436 | 3436 | ||||
| Выемка | 1200 | 0,55 | 18696 | 4800 | 2377 | 2377 | 1872 | ||
| Насыпь | 1135 | 3,27 | 8149 | 13364 | 9358 | 4006 | |||
| Выемка | 1181 | 2,25 | 18400 | 4724 | 9559 | 8288 | 1270 | 1842 | |
| Насыпь | 404 | 1,44 | 2901 | 2100 | 2100 | ||||
| Выемка | 182 | 0,22 | 2836 | 728 | 143 | 143 | 284 | ||
| Насыпь | 721 | 1,38 | 5177 | 3582 | 3582 | ||||
| Выемка | 896 | 2,85 | 13960 | 3584 | 9188 | 6933 | 2254 | 1398 | |
| Насыпь | 220 | 2,60 | 1580 | 2062 | 1638 | 424 | |||
2.4. Подбор комплектов машин
2.4.1. Комплексно-механизированный технологический процесс
















