6. Поясн записка (1204745), страница 9
Текст из файла (страница 9)
Для определения расценок работ использовали сборник ОЕРЖ1, ОЕРЖ28. В сборниках содержатся расценки предназначенные для определения сметной стоимости .
При пользовании сборника ОЕРЖ1учитывались:
- способы производства работ, дальность перемещения грунта, характеристики землеройных машин и транспортных средств принимать по проектным данным с учетом указаний и рекомендаций, приведенных ниже в настоящей Технической части;
- классификацию грунтов по трудности разработки производить, руководствуясь их краткой характеристикой, приведенной в табл.1-1, 1-3 и 1-4 Технической части.
При пользовании сборника ОЕРЖ28 учитывались:
-Сборка стрелочных переводов и их транспортировка, укладка пути
При пользовании сборника ОССЦЖ учитывались:
- Путевые и сигнальные знаки, стрелочные переводы и их элементы , в частности деревянные брусья, подкладки
2.4 Определение величины накладных расходов и сметной прибыли
Локальные сметные расчеты (сметы) разрабатываются на виды строительных и монтажных работ с учетом оборудования; пусконаладочных работ; отдельных видов работ и затрат по форме образцов приложения № 2 МДС 81-35.2004.
Сметная стоимость, определяемая локальными сметными расчетами (сметами) включает прямые затраты, накладные расходы и сметную прибыль. При определении сметной стоимости строительства накладные расходы и сметная прибыль определяются от фонда оплаты труда рабочих – строителей (монтажников), машинистов (ФОТ).
В базисном уровне цен по состоянию на 1 января 2000 г. накладные расходы и сметная прибыль определяются:
- по нормативам накладных расходов по видам строительно-монтажных работ (прил. 4 к МДС 81-33.2004 и МДС 81-34.2004);
- по рекомендуемым нормативам сметной прибыли по видам строительных и монтажных работ (прил. 1 к письму Росстроя от 18 ноября 2004 г. № АП-5536/06).
В проекте разрабатывается локальный сметный расчет:
- по главе "Подготовительные работы" НР 80%, СП 45%;
- по главе "Земляное полотно" НР 95%, СП 50%;;
- по главе "Верхнее строение пути" НР 114%, СП 65%;.
2.4.1 Раздел по главе "Подготовительные работы"
Расценки на валку и корчевку леса, корчевку пней, расчистку площадей и трасс от леса, кустарника и мелколесья следует применять только при производстве этих работ на строительстве силами строительно-монтажных организаций. На территории строительства преобладают лиственные леса твердых пород: береза, ясень, орех и др. Расчет сметной стоимости работ по главе "Подготовительные работы" представлен в приложении Б.
2.4.2 Раздел по главе "Земляное полотно"
Сметная стоимость работ по главе "Земляное полотно" складывается из стоимости работ по главному пути и стоимости работ по станционным путям. Район строительства, характеристика грунта, способы производства и объемы работ, виды применяемой землеройной техники и транспортных средств и дальность перемещения грунта принимаются на основании ведомости подсчета объемов работ из проекта организации строительства.
В проекте принимается, что транспортировка грунта осуществляется средствами строительной организации, и следовательно, стоимость перевозок включается в состав нормативной сметной стоимости.
Расчет сметной стоимости работ по главе "Земляное полотно" представлен в приложении Б.
2.4.3 Раздел по главе "Верхнее строение пути"
Сметная стоимость работ по главе "Верхнее строение пути" складывается из стоимости работ по главному пути и стоимости работ на станционных путях. Характеристика верхнего строения главного и станционных путей, способы производства и объемы работ принимаются на основании ведомости подсчета объемов работ из проекта организации строительства. Расчет сметной стоимости по главе "верхнее строение пути" представлен в приложении Б.
2.5 Начисление индексов на строительство IVквартал 2016 г.
Сборник "Индексы цен в строительстве" включает в себя разделы: таблицы индексов, документы и разъяснения по вопросам ценообразования в строительстве. Индексы разработаны министерством строительства и жилищно-коммунального хозяйства Забайкальского края на основе программного комплекса «АВС-4 Windows», согласованы и рекомендованы к применению комиссией по вопросам ценообразования и сметного нормирования в строительстве на территории Забайкальского края от 19.10.2010 №4.
В данном расчеты были применены индексы:
- р 1 п.2.4.5 ( Укладка стрелочных переводов блоками на деревянных брусьях с учетом балластировки и выправки)
- 2.2.2.3 (Земляное полотно без укрепления откосов c отсыпкой насыпи грунтом дренирующим с его доставкой до места производства работ из карьера автомобилями-самосвалами)
- 1.1 ( Рубка леса и кустарника)
- р 2 п10.17.1 ( Временная автодорога)
- 2.1 ( Укладка звеньев)
2.6 Определение отдельных видов затрат
Затраты на возведение временных зданий и сооружений определяются по нормам Сборника сметных норм и затрат на строительство временных зданий и сооружений ГСН 81-05-01-2001 в процентах от сметной стоимости СМР и равны 8,2%.
Дополнительные затраты, связанные с производством работ в зимнее время определяются по нормам сборника Сметных норм дополнительных затрат при производстве строительно-монтажных работ в зимнее время ГСН 81-05-02-2001 в процентах от сметной стоимости СМР и равны 3.
Резерв средств на непредвиденные работы и затраты предназначен для возмещения стоимости работ и затрат, потребность в которых возникает в процессе разработки рабочей документации или в ходе строительства в результате уточнения проектных решений или условий строительства в отношении объектов (выполнения видов работ), предусмотренных в утвержденном проекте. В отношении объектов капитального строительства, резерв средств на непредвиденные работы и затраты в размерах, не превышающих 10% - на основании Постановления № 87 №О составе проектной документации.
3 НАУЧНО-ТЕХНИЧЕСКИЙ РАЗДЕЛ
3.1 Научные предложения в области инновационных материалов и технологий
Создание новых и переустройство существующих железных дорог требует привлечения значительных трудовых, материальных и финансовых ресурсов. Такие проекты характеризуются, как правило, сложными проектными и организационно-технологическими решениями. Применение наиболее эффективных технологических решений, внедрение комплексной механизации и автоматизации строительных процессов, современных информационных систем управления строительным производством - это все окна возможностей на пути развития в строительстве на железнодорожном транспорте.
Одной из важнейших проблем, эксплуатируемых магистральных железных дорог нашей страны зачастую является неудовлетворительное состояние земляного полотна и искусственных сооружений. Ввиду длительной интенсивной эксплуатации, недостаточного финансирования ремонтно-восстановительных работ за последнее время состояние нижнего строения пути значительно ухудшилось.
Так общая протяженность участков земляного полотна с деформациями и дефектами различных видов и с нарушением требований технических норм составляет 12,8% эксплуатационной длины сети, более 3600 мостов и путепроводов требуют ремонта. Нарушения установленных норм связаны с занижением или завышением крутизны откосов на более чем 4277 км дорог, с возникновением просадок на более чем 1628 км железных дорог.
Необходимо отметить, что эти нарушения норм содержания земляного полотна, как показывает опыт, могут привести к сходу подвижного состава. Данная проблема становится особенно актуальной в связи с требованиями повышения провозной и пропускной способности железных дорог, что достигается за счет увеличения веса поездов и их скорости движения.
С этой целью для обеспечения безопасности движения возникает необходимость разработки и применения новых средств и способов ремонта земляного полотна железных дорог, так как существующие традиционные методы ремонта требуют большого объема дренирующего грунта, специального подвижного состава, технологических «окон» для выполнения работ, удлинения водопропускных труб и других операций.
Более тридцати лет в Военно-транспортном университете железнодорожных войск ведутся научно-исследовательские и опытно-конструкторские работы, направленные на теоретическое обоснование электрогидроэффекта и выработку рекомендаций по его внедрению в практику транспортного строительства в виде разрядно-импульсной технологии (РИТ).
Результатами исследований электрогидроэффекта стали теория и практика дробления минеральных массивов и активация цементно-песчаных растворов и мелкозернистых бетонов, обеспечивающая возможность передачи расчетной нагрузки на изготовленную конструкцию трех-пятисуточного возраста. Другим научным направлением стало создание буронабивных свай и анкеров РИТ (рис. 1).
Рис. 1. Буронабивная свая, изготовленная по разрядно-импульсной технологии
Электрический пробой слабого электролита (цементно-песчаной смеси) - это новый способ создания буронабивных свай (свай РИТ) с внутренней опрессовкой их ствола при помощи энергии электрического высоковольтного разряда. В результате выброса запасенной в конденсаторе энергии (103-106Дж) температура в канале разряда достигает 4·104 К, плотность энергии составляет 109 Дж/м3. Образующийся плазменный канал расширяется со скоростью 300-1500 м/с, порождая ударную волну и пульсирующую парогазовую полость, с гидродинамической точки зрения аналогичную воздействию взрывов бризантного ВВ. Физико-химические процессы в рабочей среде (цементно-песчаной смеси и окружающем грунте), инициируемые высоковольтным разрядом, сопровождаются увеличением диаметра исходной скважины, изменением физико-механических характеристик грунтов погружения, их цементацией, повышением плотности тела сваи, сокращением срока набора прочности. Ключевыми параметрами в РИТ являются: радиус камуфлетного уширения Rу и требуемое количество электроразрядов:
где
- требуемый радиус уширения, м;
R1 и r1 - параметры деформации скважины от одного разряда, м;
k - коэффициент накопления пластических деформаций.
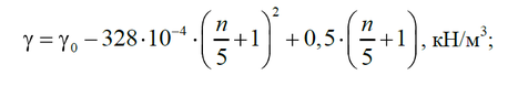
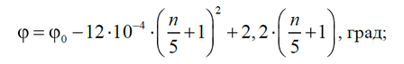
Размеры зон уплотнения и цементации грунта, модифицированные физико-механические характеристики грунта описываются следующими эмпирическими уравнениями (при nтp > 5):
коэффициент пористости грунта погружения:
угол внутреннего трения:
удельный вес грунта:
модуль общей деформации:
Установлены следующие технико-экономические показатели разрядно-импульсной технологии изготовления буронабивных свай: трудоемкость изготовления 1 м3 сваи РИТ почти в три раза меньше, чем по традиционной технологии;
несущая способность свай РИТ превышает несущую способность гладких свай в 5-10 раз;
стоимость изготовления на порядок ниже цены обычных свай;
применение активированного по РИТ бетона создает 20 % экономии цемента, обеспечивает возможность бетонирования при низких температурах (до -40 °С).
Расчетная несущая способность свай РИТ на вдавливающую нагрузку, в зависимости от длины и физико-механических характеристик грунтов, составляет от 500 до 8000 кН (рис. 2). Такие прочностные показатели позволяют применять сваи РИТ в фундаментах мостов и других сооружений.
Однако основная область применения буронабивных свай РИТ-укрепление грунтовых массивов. Разрядно-импульсная технология, применяемая в структурно-неустойчивых или заторфованных грунтах, в настоящее время не имеет альтернатив. Сооружение земляного полотна, его капитальный ремонт, восстановление, особенно в процессе ликвидаций последствий аварий, катастроф, стихийных бедствий, преднамеренного разрушения путей сообщений, требует надежного уплотнения грунта (Kу = = 0,9-0,95)1. Однако реализовать это на практике часто не представляется возможным. Осадки свежеотсыпанных насыпей составляют 3-6 %. При высоте насыпи 10 м деформации могут достигать 60 см и более, что делает невозможным движение по такому участку.














