пз (1202377), страница 9
Текст из файла (страница 9)
- принцип обоснованности облучения - любая практическая деятельность, связанная с облучением от источника, не должна осуществляться, если она не приносит очевидной пользы для облучаемых лиц или общества по сравнению с создаваемым ею ущербом;
- принцип оптимизации защиты - величина индивидуальных доз и (или) количество облучаемых лиц должны быть настолько малы, насколько это реально достижимо с учетом экономических и социальных факторов.
Система основных дозовых пределов используется для установления допустимых уровней облучения, являющихся радиационно-гигиеническими регламентами.
Таким образом, существует необходимость в дальнейшем совершенствовании методов обеспечения радиационной безопасности и радиационной защиты при перевозках радиационных грузов железнодорожным транспортом [9].
7.2 Транспортировка радиоактивных веществ (РВ)
При перевозке РВ работники железнодорожного транспорта направления Комсомольск – Новый Ургал строго выполняют следующие основные правила:
-следят за исправностью и опломбированием упаковки;
-при погрузке в вагон тщательно закрепляют тару с РВ;
-перевозка РВ допускается только в исправных в техническом и коммерческом отношении вагонах;
- следят, чтобы загрузка РВ в вагон, не превышала грузоподъёмность данного вагона.
На участке Комсомольск – Новый Ургал РВ перевозятся в крытых вагонах. Допускается перевозка РВ, в универсальных контейнерах. Скорость движения железнодорожного транспорта по территории склада при перевозке РВ не превышает 15 км/ч.
К перевозке радиоактивных веществ допускаются локомотивные бригады, прошедшие обязательный инструктаж, изучившие требования и обеспеченные комплектом Правил [7], имеющие соответствующий допуск к работе с опасными, снабженные средствами индивидуальной защиты (СПИ-20 или аналогичными), аптечкой и комплектом переносных радиостанций.
При возникновении аварийных ситуаций на перегоне машинист локомотива незамедлительно сообщает об этом установленным порядком по поездной радиосвязи или любым другим возможным в создавшейся ситуации видом связи поездному диспетчеру и дежурным по ближайшим станциям, ограничивающим перегон. Машинист локомотива и его помощник имеют право вскрыть пакет с перевозочными документами.
Сообщение включает в себя описание характера аварийной ситуации, сведения о наличии пострадавших, содержащиеся в перевозочных документах наименование груза, номер аварийной карточки (номер ООН груза, при наличии), количество опасного груза в зоне аварийной ситуации. После передачи сообщения об аварийной ситуации локомотивная бригада принимает меры, руководствуясь указаниями, содержащимися в аварийной карточке на данный опасный груз.
Для погрузки и перевозки РВ предоставляются исправные и чистые вагоны с не просроченным сроком периодического ремонта.
Пригодность вагонов для перевозки РВ определяется грузоотправителем. Вагоны, предназначенные под погрузку и перевозку РВ, предварительно осматриваются представителем железной дороги и представителем отправителя груза. При осмотре обязательно проверяют исправность пола, обшивки, крыши, стен, дверей и люков, ходовых частей и т. д. При выявленных неисправностях вагоны под погрузку и перевозку РВ не принимаются. К техническому осмотру вагоны предъявляют в порожнем состоянии.
Перед погрузкой и дальнейшей транспортировкой РВ, грузоотправитель заделывает щели и просветы в дверных проемах и люковых отверстиях крытых вагонов. Боковые и потолочные люки таких вагонов предварительно закрываются и закрепляются изнутри проволокой, силами и средствами грузоотправления.
Специальное оборудование вагона, необходимое для приспособления его к перевозке РВ, а также материалы для крепления стен и подготовки вагонов заготавливаются складом заблаговременно, независимо от того, кому принадлежит подвижный состав, подаваемый под погрузку.
При формировании поездов, вагоны с РВ ставят таким образом, чтобы исключить возможность возникновения аварийных ситуаций в пути следования или максимально уменьшить последствия в случае их возникновения. Для этого вагоны с РВ прикрываются: от ведущего тепловоза, а также тепловоза на твердом топливе – не менее чем тремя вагонами; в хвосте поезда, независимо от наличия подталкивающего локомотива – не менее чем одним вагоном; от вагонов занятых людьми – не менее чем тремя вагонами; от одиночных вагонов с караульными командами, при наличии в этих вагонах печного отопления – не менее чем одним вагоном; от одиночных вагонов с караульными командами, при наличии в этих вагонах печного отопления – не менее чем одним вагоном; от платформ и вагонов, груженных тесом и т. д. – не менее чем одним вагоном.
Места для погрузки, выгрузки и перегрузки РВ на станциях, а так же места для стоянки вагонов с такими грузами вне поездов или вне сформированных составов удаляются на расстояние не менее: от жилых и производственных строений, территорий тяговых подстанций, грузовых складов, общих мест погрузки, выгрузки и хранения грузов – 200 м.
Для погрузки или выгрузки на местах общего пользования одновременно подаются не более 5 вагонов, которые по окончании погрузки (выгрузки) осматриваются и убираются. Если погрузка (выгрузка) производится в двух и более пунктах, то расстояние между ними при одновременной работе не менее 125 м. Вагоны под погрузку (выгрузку) подаются тепловозом, и расставляются по указаниям ответственного за организацию погрузки (выгрузки) лица. Расставленные под погрузку (выгрузку) вагоны закрепляют упорными башмаками.
На территорию склада допускаются тепловозы, мотовозы, работающие на жидком топливе, в сопровождении представителя пожарной охраны. Не допускаются к погрузке вещества в неисправной упаковке с нечеткой маркировкой.
РВ укладываются в несколько ярусов равномерно по всей площади пола вагона вплотную друг к другу, крышками вверх; наиболее чувствительные к механическому воздействию вещества грузят в вагоны в последнюю очередь, а выгружаться – в первую очередь; После погрузки РВ прочно закрепляются с установкой необходимых прокладок, стоек, упоров, растяжек и увязок. Особое внимание обращают на прочность крепления верхних рядов груза во избежание сдвига и падения отдельных мест при перевозке; крепление груза производится с соблюдением мер по технике безопасности; с помощью инструментов, не дающих искры при работе (латунных: медных и бронзовых).
Места с грузом не подвергают толчкам, ударам и тряске, подъем и спуск производится медленно и плавно; Волочение упаковок допускается в исключительных случаях только по ровному настилу из досок и с особой осторожностью.
После погрузки двери вагонов плотно закрывают, дверные накладки укрепляются проволочными закрутками, и вагон пломбируется пломбами грузоотправителя. Не проводят погрузочно-разгрузочные операции:
- во время грозы;
- при гололеде, во избежание скольжения рабочих, территория у мест погрузки (выгрузки) обязательно посыпается песком или золой;
- места погрузки (выгрузки) и транспортные средства после окончания погрузочно-разгрузочных работ тщательно осматриваются грузополучателем (грузоотправителем). Для охраны железнодорожного состава с РВ назначается караул. Сдача железнодорожного состава под охрану караула производится за пределами технической территории склада [6].
7.3 Организация работ по ликвидации аварийных ситуаций с радиоактивными веществами
В аварийных ситуациях (при столкновении и сходе подвижного состава, крушении, пожаре, выпадении радиоактивных упаковок, а также нарушении охранной тары и срыве пломбы) радиационная опасность может возникнуть в результате полного или частичного разрушения защитного контейнера и выпадения из него первичной емкости. При этом в зоне аварии может произойти повышение мощности дозы гамма- и нейтронного излучения, а при разрушении первичной емкости – попадание радиоактивных 63еществ окружающую среду.
При обнаружении указанных разрушений, а также при крушении и авариях, в результате которых произошло полное или частичное механическое разрушение конструкции транспортных упаковок или их плавление в результате пожара, необходимо удалить из возможно опасной зоны людей на расстояние не менее 50 метров, немедленно сообщить дежурному близлежащей станции, дежурному ДЦС-4, СЭС, местным органам, органам внутренних дел, оградить опасную зону предупредительными знаками и сигналами остановки в радиусе не менее 10 метров, прекратить подход людей и пропуск подвижного состава через огражденную зону до ликвидации аварийной ситуации.
Прибывшие на место любого крушения или аварии со сходом подвижного состава и развалом груза, один из руководителей ДЦС-4 и начальник восстановительного поезда по натурному листу и перевозочным документам проверяют наличие в составе радиационных упаковок. При наличии радиационного груза в поезде, место нахождения вагона с радиационным грузом ограждено, допуск людей в опасную зону до выявления радиационной обстановки запрещается.
Специалисты грузоотправителя прибывают на место аварии в возможно короткий срок и при наличии радиационной опасности совместно со специалистами СЭС определяют радиационную обстановку, устанавливают границы радиационно-опасной зоны и ограждают ее предупредительными знаками, а также определяют уровни загрязненности радиоактивными веществами участков, транспортных средств, грузов, составляют план ликвидации радиационной опасности, в котором (в зависимости от масштаба аварии) предусматривают следующие меры: формирование рабочих бригад для ликвидации радиационной опасности и их инструктаж, обеспечение радиационного контроля, определение средств ликвидации аварии, локализация участка радиационной опасности в целях обеспечения проведения восстановительных работ, дезактивация участка аварии, транспортных средств, грузов, оборудования, медицинского наблюдения за пострадавшими, определение степени пригодности грузов для дальнейшего использования, расследование причин аварии и составление отчетных документов об аварии.
Возможность возобновления движения поездов и маневровой работы через территорию, подвергшуюся загрязнению в результате аварии, определяется руководителем работ после получения соответствующего заключения органов Санэпиднадзора.
Работники Санэпиднадзора после проведения работ по обеззараживанию (дегазации) организовывают лабораторный контроль их эффективности; если аварийная ситуация с опасными грузами произошла в зимнее время, лабораторный контроль эффективности обеззараживающих работ необходимо повторить в теплое время года; при необходимости работы по обеззараживанию повторяются.
Работы по ликвидации последствий аварийной ситуации с опасными грузами считаются законченными после завершения ликвидации заражения, подтвержденной санитарно-химическим заключением и обеспечения безопасности движения поездов с составлением комиссионного акта о ликвидации последствий аварийной ситуации.
7.4 Расчет дозы радиации при прохождении пассажирского поезда по зараженному участку Комсомольск – Новый Ургал
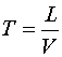
Определим дозу радиации, которую получат пассажиры за время следования по зараженному участку Комсомольск – Новый Ургал. Длина зараженного участка L= 120 км, скорость пассажирского поезда V=60, км/ч; уровни радиации Р, приведение к 1 ч после заражения, р/ч: на станции А, Р1=7; на станции Б, Р2=120; на станции Г, Р3=150; на станции Д, P4=5 Принимаем, что середину зоны заражения пассажирский поезд пройдет через 6 ч после заражения
Определим средний уровень радиации на зараженном участке, приведенный к 1 ч после заражения, Р/ч:
. (7.1)
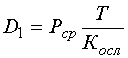
Pср = (7+120+150+5)/4 = 70,5 Р/ч
Устанавливаем время движения поезда по зараженному участку по формуле, ч:
. (7.2)
T = 120/60 = 2 ч.
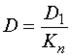
Находим коэффициент ослабления дозы радиации пассажирскими вагонами по табл. 6 [7].
Определяем дозу радиации, которую получили бы пассажиры при преодолении зараженного участка через 1 ч после заражения, Р:
. (7.3)
D1 = 70,5 * (2/2.3) = 61,3 Р.
Рассчитаем дозу радиации, полученную пассажирами за время преодоления зараженного участка через 6 ч после заражения, Р:
D = 61,3/5,25 = 11,7 Р,
где Кп – коэффициент пересчета уровня радиации с 6 ч на 1 ч равный 5,25 [7, табл. 4.2].
Таким образом, по результатам расчетов, можно сделать вывод, что пассажиры за время преодоления зараженного участка через шесть часов после заражения получат дозу радиации равную 11,7 Р.
Проблемы безопасности жизнедеятельности возникают в любой сфере человеческой деятельности. В настоящее время угрозу жизни и здоровью человека представляют не только природные процессы, но и технические средства созданные человеком, а также несовершенство современных технологий, загрязняющих окружающую среду.
На протяжении жизни человек получает дозу радиации из различных источников (в большей части естественных), но свое место здесь занимает и железнодорожный транспорт, перевозящий основной объем делящихся материалов для нужд современной промышленности. Для успешного обеспечения радиационной безопасности на железнодорожном транспорте и ликвидации последствий радиационных аварий необходимо владеть не только знаниями о факторах радиационного воздействия, но и умениями применять их на практике – выявлять и оценивать радиационную обстановку, определять объемы мероприятий радиационной защиты.
Заключение
При возрастающих размерах грузовых перевозок необходимо рассматривать возможность пропуска большего числа грузовых поездов.
В данном проекте рассмотрен участок Новый Ургал – Комсомольск в связи с увеличением объёмов перевозок до 50 млн. тонн. Возрастание объёма перевозок связано с увеличением числа транзитных поездов следующих через Комсомольский регион по Северному широтному ходу. При увеличении погрузки угля на станциях Хани, Чегдомын и следуемого транзитного вагонопотока с Восточно - Сибирской дороги в порты Дальнего Востока.















