Пояснительная (1195021), страница 3
Текст из файла (страница 3)
Замена ФЛ АЛСН на локомотиве указаны таблице 1.3.
Таблица 1.3 Замена ФЛ АЛСН на локомотиве
| № п\п | Наименование операции | Оперативное время на измеритель Чел\мин |
| 1 2 3 4 5 6 7 | Подъем ФЛ на локомотив Распломбирование и открытие крышки ФЛ Отключение и снятие ФЛ Установка и крепление нового ФЛ Подключение нового ФЛ Закрытие крышки ФЛ и опломбирование Спуск ФЛ с кабины локомотива Итого: | 1.0 1.0 3.7 3.8 3.5 1.0 1.0 15.0 |
Норма времени на измеритель - 0.323 Чел\час.
Измеритель – фильтр.
Исполнитель – электромеханик.
Технолого- нормировочная карта № 1.5.2
Замена конденсаторного блока АЛСН на локомотиве указаны таблице 1.4.
Таблица1.4 Замена конденсаторного блока АЛСН на локомотиве
| № п\п | Наименование операции | Оперативное время на измеритель Чел\мин |
| 1 2 3 4 | Подъем конденсаторного блока на локомотив Изъятие конденсаторного блока из общего ящика Установка нового конденсаторного блока в общий ящик Спуск конденсаторного блока с локомотива Итого: | 1.0 6.0 6.0 1.0 14.0 |
Норма времени на измеритель - 0.286 Чел\час
Измеритель - конденсаторный блок
Исполнитель - электромеханик
Технолого- нормировочная карта № 1.5.1
Осмотр локомотивных устройств указаны таблице 1.5.
Таблиц1.5 Осмотр локомотивных устройств
| № п\п | Наименование операции | Оперативное время на измеритель Чел\мин |
| 1 2 3 4 5 | Внешний осмотр общего ящика Внутренний осмотр общего ящика Проверка монтажа Проверка конденсаторного блока Проверка локомотивного фильтра Итого: | 2.5 10.2 5.0 6.9 6.2 30.8 |
Норма времени на измеритель - 0.629 Чел\час
Измеритель - Комплект устройств АЛСН
Исполнитель - электромеханик
Технолого- нормировочная карта № 1.5.3
Проверка напряжения источников электропитания устройств АЛСНна локомотивах. Измерение сопротивления изоляции устройств АЛСН указаны таблице 1.6
Таблица 1.6 Проверка напряжения источников электропитания устройств АЛСН. Измерение сопротивления изоляции устройств АЛСН указаны таблице
| № п\п | Наименование операции | Оперативное время на измеритель Чел\мин |
| 1 2 | Проверка напряжения источников электропитания устройств АЛСН на локомотиве. Измерение сопротивления изоляции устройств АЛСН относительно корпуса локомотива Итого: | 3.3 4.7 8.0 |
Норма времени на измеритель - 0.164 Чел\час
Измеритель - Источник электропитания устройств АЛСН
Исполнитель - электромеханик
Технолого- нормировочная карта № 1.5.4.
Проверка действия локомотивных устройств АЛСН на испытательном шлейфе указаны таблице 1.7.
Таблица 1.7 Проверка действия локомотивных устройств АЛСН на испытательном шлейфе
| № п\п | Наименование операции | Оперативное время на измеритель Чел\мин |
| 1 2 | Проверка правильности сигнальных показаний локомотивного светофора и их соответствия подаваемым в рельсовую цепь кодовым сигналам. Проверка работы устройств периодической проверки бдительности машиниста и ЭПК при красном , красно-желтом, зелёном и белом огнях. Итого: | 9.0 11.0 20.0 |
Норма времени на измеритель - 0.368 Чел\час
Измеритель - Комплект устройств АЛСН
Исполнитель - электромеханик
-
Работа ДКСВ
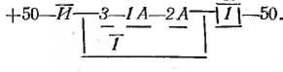
Кодовый сигнал КЖ, имеющий в кодовом цикле только один импульс, расшифровывается работой счетчиков 1 и 1А. От поступления импульса кода срабатывает и блокируется счетчик 1:
В длинном кодовом интервале срабатывает и самоблокируется через мостовой контакт счетчик 1А:
В длинном между кодовом интервале (0,57-0,65 с) счетчик 1 выключается и, выдержав замедление 0,26 с, отпускает якорь и выключает счетчик 1А. Последний, выдержав замедление 0,31 с, также отпускает якорь, после чего счетная схема к началу приема импульса следующего кодового цикла приходит в исходное состояние. Порядок счета импульсов следующих кодовых циклов кода КЖ остается тот же.
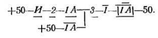
Кодовый сигнал Ж, имеющий в кодовом цикле два импульса, расшифровывается работой счетчиков 1, 1А, 2 и 2А. От поступления первого импульса кода срабатывает и самоблокируется счетчик 1 так же, как при приеме кода КЖ- В коротком интервале срабатывает и самоблокируется счетчик 1А так же, как при приеме кода КЖ. Счетчик, обладая замедлением на отпускание якоря большим, чем время короткого интервала (0,12 с), удерживает якорь притянутым.
От второго импульса кода срабатывает и самоблокируется через мостовой контакт счетчик 2, а счетчик 1 получает питание по цепи самоблокировки и продолжает удерживать якорь притянутым:
В длинном кодовом интервале срабатывает и самоблокируется счетчик 2А:
В этом же интервале выключается счетчик 1 и, выдержав замедление 0,25 с, отпускает якорь. Разомкнувшимися контактами счетчика 1 выключаются счетчики 1А и 2А. Обладая примерно равным замедлением, эти счетчики через 0,32 с отпускают свои якоря. Разомкнувшимся контактом счетчика 1А выключается счетчик 2, который через 0,05 с отпускает якорь, после чего вся счетная схема приходит в исходное состояние.
Временная последовательность отпускания якорей счетчиков в длинном интервале будет такой:
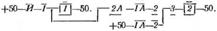
Кодовый сигнал 3, имеющий три импульса в кодовом цикле, расшифровывается работой счетчиков 1, 1А, 2, 2А и 3. От первых двух импульсов по цепям, аналогичным расшифровке кодового сигнала Ж, срабатывают и самоблокируются счетчики 1, 1А, 2, 2А.
При приеме третьего импульса кода срабатывает и самоблокируется счетчик 3; счетчик 1 от второго и третьего импульсов получает дополнительное питание и продолжает удерживать якорь притянутым. При срабатывании счетчика 3 изменяется цепь самоблокировки счетчика 2:
В длинном кодовом интервале фронтовым контактом реле И одновременно выключаются счетчики 1 и 2. Счетчик 2, не имея замедления, мгновенно отпускает якорь и фронтовым контактом в начале интервала выключает счетчик 1А. Выдержав замедление, счетчики 1 и 1А отпускают якоря и выключают счетчик 2А, при этом счетчик 3 продолжает получать питание через фронтовой контакт счетчика 2А.
Выдержав замедление, счетчик 2А отпускает якорь и выключает счетчик 3, который мгновенно отпускает якорь, и счетная схема принимает исходное состояние.
Временная последовательность отпускания якорей счетчиков будет следующей:
Путем возбуждения различного числа счетчиков производится дешифрирование значения числового кода. Общее выключение дешифрирующих цепей осуществляется по окончании счета импульсов кодового цикла в длинном интервале, когда счетчик 1, выдержав замедление, отпускает якорь. Включение дешифрирующей цепи, соответствующей данному коду, происходит в зависимости от сосчитанных импульсов в кодовом цикле через фронтовые контакты счетчиков 1А, 2А и 3:
Контроль залипания якорей счетчиков предусмотрен в счетной схеме путем включения их тыловых контактов в основную цепь питания счетчиков младших разрядов. В цепь возбуждения счетчика 1 включены тыловые контакты счетчиков 1А, 2А, 3, в цепь возбуждения счетчика 1А - тыловые контакты счетчиков 2 и 3. Залипание якоря счетчика 1 контролируется в цепи реле присутствия кода ПК
Защита от ложных импульсов в кодовом цикле выполнена с использованием счетной схемы.
С помощью схемы защиты выявляется прием четырех и более импульсов в кодовом цикле. Прием лишних импульсов в кодовом цикле может привести к ложному возбуждению лишних счетчиков в более запрещающих кодах и появлению на локомотивном светофоре более разрешающего ложного огня. Причинами появления ложных импульсов могут быть случайные помехи тягового тока, а также воздействие равномерных импульсов переменного тока без длинных интервалов при прохождении локомотива по станции, оборудованной импульсными рельсовыми цепями.
Порядок выявления лишних импульсов следующий. При приеме трех импульсов работают счетчики 1, 1А, 2, 2А и 3. В третьем интервале (даже коротком) полностью выключается счетчик 2, не имеющий замедления на отпускание якоря.
Размыкая фронтовой контакт, счетчик 2 выключает цепь самоблокировки счетчика 1А. Последний, выдержав замедление и отпуская якорь, выключает счетчик 2А и реле ПК- Счетчик 2А, выдержав замедление и отпуская якорь, снимается с самоблокировки. Реле ПК, отпустив якорь, отключает цепи горения на ЛС разрешающих огней и включает цепь горения красного огня.
Работа счетчиков и реле ПК при приеме лишних импульсов протекает в такой последовательности:
















