Список задач с решениями по функциональному анализу (1160004), страница 2
Текст из файла (страница 2)
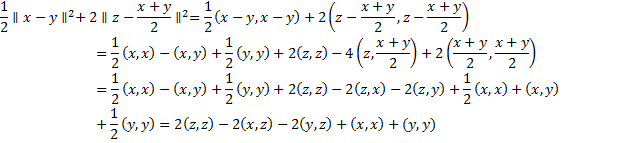
12) Доказать, что в пространстве со скалярным произведением для любых элементов
имеет место тождество Аполлония:
.
Решение:
Преобразуем левую часть тождества, пользуясь свойствами скалярного произведения:
Преобразуем правую часть тождества, пользуясь свойствами скалярного произведения:
Таким образом, в пространстве со скалярным произведением для любых элементов
тождество Аполлония имеет место.
13) Доказать, что для того чтобы элемент
гильбертового пространства
был ортогонален подпространству
, необходимо и достаточно, чтобы для любого элемента
имело место неравенство
.
Решение (необходимость)
Решение (достаточность)
Воспользуемся теоремой Леви (
- гильбертово,
- подпространоство в нем). Разложим
указанным в ней способом:
. По условию
. Докажем, что
.
Пусть
14) Доказать, что при фиксированном натуральном
множество
является подпространством пространства
. Описать такое подпространство
, что
.
Решение
Покажем, что
является линейным многообразием
Построим разложение
. Пространство
является гильбертовым,
является подпространством в нем
(по следствию из теоремы Леви). Построим
.
1. Покажем, что
Действительно,
2. Покажем, что
Действительно,
Итак, мы показали, что необходимым условием того, что
является представление x в виде
.
Очевидно, что это является и достаточным условием, так как
Итак, искомое пространство L является линейной оболочкой вектора
15) В пространстве
рассмотрим последовательность
,
. Доказать, что линейная оболочка этой последовательности всюду плотна в пространстве
.
Решение
.
Докажем, что лишь нулевой элемент пространства
ортогонален всем элементам множества
(от противного).
Получаем
Полученное противоречие доказывает, что изначальное утверждение было неверно. Итак, мы доказали, что
Так как
является гильбертовым, то из доказанного выше утверждения следует, что
-- всюду плотное множество.
16) Доказать, что следующие операторы являются линейными ограниченными и найти их нормы:
1.
2.
Решение для
В силу свойств производной получаем
Получаем, что оператор
линеен.
Докажем ограниченность оператора
. В силе линейности оператора достаточно доказать, что оператор переводит замкнутый единичный шар с центром в нуле в пространстве
в ограниченное множество в пространстве
.
Итак, мы получили, что
-- линейный и ограниченный. Найдем его норму. Ранее было полученно, что
. Покажем, что
. Рассмотрим последовательность функций
Итак, мы получили максимизирующую последовательность элементов из
, показывающую, что
.
Решение для
Докажем линейность оператора
. В силу линейности интеграла Лебега получаем.
Получаем, что оператор
линеен.
Докажем ограниченность оператора
. В силе линейности оператора достаточно доказать, что оператор переводит замкнутый единичный шар с центром в нуле в пространстве
в ограниченное множество в пространстве
.
Итак, мы получили, что
-- линейный и ограниченный. Найдем его норму. Ранее было полученно, что
. Покажем, что
. Возьмем
. Тогда получаем
Так как мы показали, что
и
.
17) Пусть
и
-- линейные нормированные пространства,
-- линейный оператор с областью изменения
1. Доказать, что
-- линейное многообразие в
.
2. Всегда ли
-- подпространство в
.
Решение (линейное многообразие)
Для доказательства того, что
является линенйным многообразием необходимо доказать, что
Таким образом, получаем что
является линенйным многообразием.
Решение (подпространство)
Докажем, что
не всегда является подпространством. Для этого построим линейный оператор
, такой, что
не является замкнутым множеством.
Рассмотрим последовательность непрерывно дифференцируемых функций
Но
. Таким образом, получаем что
не всегда есть подпространство.
18) Доказать, что в банаховом пространстве
для любого
определены операторы
Решение
По теореме 3
7 пространство
линенйных непрерывных операторов в банаховом пространстве само является банаховым, то есть любая фундаментальная последовательность элементов из этого пространства сходится к элементу этого же пространства.
Рассмотрим операторную последовательность
. Так как
, то
является линейным непрерывным оператором. Докажем, что
так же является линенйным непрерывным оператором.
•
является непрерывным как композиция конечного числа непрерывных операторов.
•
Итак,
-- линейный непрерывный оператор для любого
. Докажем фундаментальность последовательности
.
Последняя сумма представляет собой хвост сходящегося ряда
.
Итак последовательность
является фундаментальной. Следовательно она сходится к своему пределу, которые принадлежит этому же пространству. Следовательно в пространстве
определен оператор
являющийся пределом операторной последовательности
.
Для второго случае (
) все полностью аналогично.
19) Пусть
— банахово пространство,
. Доказать, что
. Найти
, где
— тождественный оператор.
Решение:
По определению,
. /*в пдф-ке в числителе была норма А*/
, т. к.
, что следует из сходимости ряда в смысле нормы в
.
Утверждение доказано.
20) Рассмотрим оператор
.
с областью определения
— линейное многообразие дважды непрерывно дифференцируемых функций
, удовлетворяющих условиям
. Найти
и доказать, что он ограничен.
Решение:
Обозначим
,
. Тогда задача примет вид:
По теореме Каратеодори /*нафига тут говорить об этой теореме?*/
(задача Коши
где
интегрируема по Лебегу, имеет единственное решение в классе абсолютно непрерывных функций и это решение дается формулой
)
решение задачи выглядит так:
,
Заметим, что
т. е. обратный оператор ограничен.
21)Рассмотрим оператор
,
. Существует ли оператор
?
Решение !!!неверное!!! опечтка в условии:
По определению
, если
решение задачи
.
22) Рассмотрим оператор
,
. Пусть
— ядро оператора
.
A) Доказать, что
, так что при любом
уравнение
не может иметь более одного решения.
B) Найти оператор
и доказать, что он ограничен.
Решение:
А) /*решил я сам, так что возможны баги*/
Решаем дифференциальное уравнение при фиксированном
:
, т.е. обратный оператор ограничен.
23) Доказать, что оператор
,
имеет ограниченный обратный, и найти
.
Решение:
Нужно выразить функционал
через
. Умножим последнее уравнение на
и проинтегрируйте по t от 0 до 1.
, т.е. обратный оператор ограничен.
/*в случае если в условии верхний предел интегрирования: t, а не 1*/
Решаем дифференциальное уравнение при фиксированном
:
, т.е. обратный оператор ограничен.
24) Пусть
— комплексное линейное пространство,
— определенный на
и не равный тождественно нулю линейный функционал. Доказать, что область значений
есть все
.
Решение:
Известно, что
. Если доказать, что
— область изменения линейного функционала
— содержит 2 линейно-независимых вектора, то с учетом линейности функционала мы получим все
, так как
.
Пусть
. Так как
— комплексное линейное пространство, то
. /*для чего тут вводилось z вообще?*/
Докажем линейную независимость
и
:
25) Доказать, что следующие функционалы в пространстве
являются линейными непрерывными и найти их нормы:
-
; -
.
Решение:
-
Для доказательства линейности рассмотрим аксиомы:
Линейный оператор – непрерывный
он – ограниченный (§7, Теорема 2).
Оператор
– ограниченный, если
.
Норма оператора
:
Покажем, что оператор ограниченный:
Значит,
- ограниченный и непрерывный.
Если найти функцию
, на которой
, то
равна 4.
Рассмотрим
.
, а
.
Значит,
.
-
Докажем линейность:
Покажем, что функционал – ограниченный:
Значит,
- ограниченный и непрерывный.
- непрерывный, значит если
, то
. Если найти последовательность
, сходящуюся к
, на котором
достигает 2, то
равна 2.
Рассмотрим:
















