DOCX (1123295), страница 8
Текст из файла (страница 8)
1. Поглощение света молекулой.
Не все молекулы поглощают свет, поглощается свет не любой длины волны и не всеми атомными группами молекулы. Атомные группы, поглощающие свет определённой длины волны – хромофорные группы. Наиболее хорошо поглощают свет группы с делокализованными π-электронами в длинных цепях сопряжения. Эти электроны могут легко переходить на более высокие энергетические уровни. Процесс релаксации делокализованных электронов наиболее долгий. После поглощения кванта света хромофорная группа переходит на более высокое энергетическое состояние.
2. Дезактивация возбуждённого состояния.
· Внутримолекулярная инверсия. Молекула может вернуться на более низкий энергетический уровень с излучением теплоты или теплоты и флуоресценции.
· Фотохимическая реакция. Уровень энергии возбуждённого состояния превышает энергетический барьер разрыва химических связей, это приводит к протеканию химической реакции.
· Миграция энергии и Конформационные превращения. При этом может происходить миграция энергии к другим атомным группам или молекулам, что сопровождается изменениями конформации.
3. Проявление специфического фотобиологического эффекта. Например, перенос протона, регуляторный акт, изменение проницаемости мембран, биосинтез.
Ф/б процессы: фотосинтез, зрение, фоторециптор. р-ции, деструктивное действие УФ
Билет 10.
Состояние воды и гидрофобные взаимодействия в биоструктурах. Динамическая структура и конформационная подвижность белков.
Еще про белки:
Имеющиеся в структуре белка альфа- и бета-элементы испытывают ограниченное диффузионное движение, зависящее от жесткости, микровязкости среды. Изгибные флуктуации альфа-спиралей имеют определенную форму, причем амплитуда и время релаксации резко зависят от линейных размеров спирали. В реальных условиях амплитуды изгибных флуктуаций могут достигать нескольких ангстрем, а времена релаксации лежат в микросекундном диапазоне.
Наиболее быстрые и мелкомасштабные флуктуации присущи боковым группам. Эти группы образуют жидкоподобную опушку вокруг спиральных участков полипептидного каркаса и играют роль демпфирующей среды. Иерархия во временах релаксаций позволяет представить динамику белковой глобулы как флуктуации в жидкоподобной капле, армированной упругим полипептидным каркасом. Диффузия лигандов внутри глобулы происходит лишь при образовании флуктуационных полостей или "дырок". Появление "дырки" внутри глобулы может быть инициировано образованием ее вначале в растворителе на поверхности глобулы. Вероятность этого процесса обратно пропорциональна вязкости растворителя. За счет конформационных движений поверхностная группа белка заполняет "дырку" в растворителе. "дырка" теперь оказывается уже в наружном слое белка. Далее, за счет движений групп второго и третьих слоев "дырка" диффундирует внутрь глобулы, обеспечивая появление дополнительных флуктуационных полостей. Форма этих полостей в белке непроизвольна, а имеет вид флуктуирующих щелей, параметры которых определяются геометрией жестких элементов белкового каркаса. Решение диффузионных уравнений позволяет вычислить скорость диффузии частиц через систему таких флуктуирующих щелей. Так, при диффузии в миоглобине лиганд СО должен пройти несколько "ворот", которые открываются за счет конформационных движений. Скорость диффузии зависит от диаметра лиганда , амплитуды флуктуации и времени релаксации щели, которая определяется жесткостью и микровязкостью стенок. Общее время прохождения СО в миоглобине составляет 10-7 с и соответствует сложению времен конформационных релаксаций нескольких ворот в глобуле. В жесткой молекуле белка, где отсутствуют внутримолекулярные движения и структурные флуктуации, диффузия лиганда должна быть сопряжена с преодолением больших активационных барьеров (до 100 ккал/моль). Эти барьеры настолько замедлят движение лиганда, что оно практически станет бесконечно медленным в масштабах биологического времени. В реальных биополимерах с плотной упаковкой именно структурные флуктуации делают возможным перенос лигандов внутри молекулы, что важно для ее функциональной активности.
Молекулярные механизмы повреждающего действия экологического УФ-излучения.
Фотодеструктивные процессы. Их общая характеристика. Фотосенсибилизация, еѐ виды и механизмы. Основные типы фотодеструктивных изменений в биологических молекулах.
Фотодеструктивные процессы – это процессы нарушения свойств биологических молекул под действием света. Фотодеструктивные процессы напрямую индуцируются коротковолновым ультрафиолетом, который поглощается нуклеиновыми кислотами и белками. Длинноволновое УФ излучение и видимый свет практически не поглощается НК и белками, для реализации их деструктивного действия большую роль играют фотосенсибилизаторы.
1. Фотосенсибилизация с участием O2. Фотодинамические процессы.
-Фотовозбуждѐнный сенсибилизатор вступает в RedOx реакцию с макромолекулами, в результате образуются реакционноспособные радикалы сенсибилизатора и молекулы биологического субстрата. Радикалы вступают в реакцию с кислородом.
-А другом случае происходит перенос энергии от фотосенсибилизатора на кислород с образованием синглетного кислорода или супероксид-иона. АФК реагируют с биологическими молекулами и повреждают их.
2. Фотосенсибилизация без участия O2. Фотостатические процессы.
-Возбуждѐнный фотосенсибилизатор взаимодействует с субстратом, вызывая его изменение, но не образует с субстратом постоянного соединения.
-Возбуждѐнный фотосенсибилизатор образует устойчивое соединение с субстратом, нарушая его свойства.
К основным типам фотодеструктивных изменений относятся: образование или разрыв ковалентных связей (фотполимеризация, фотодимеризация, фотогидратация), фотоионизация, изменение конформации ферментов и их активности, образование перекисей, перекисное окисление липидов.
Фотодеструктивные реакция(прямые, без участия кислорода)наиболее эффективно инициируются в биологических системах коротковолновым ультрафиолтеовым излучинием(<290 нм), но при определенных условиях и средне и длинно волновый ультрафиолет и свет видимой области спектра может вызывать повреждения.
Существует несколько типов первичных фотохимических превращений молекул. Это фотоионизация, фотоокисление, фотодиссоциация и фотоприсоединение.
Фотосенсибилизированные деструктивные реакции в большинстве случае протекают с участием кислорода. Эти процессы, получившие название фотодинамических, разделяют на два типа по механизму, в зависимости от того как энергия светового возбеждения передается от сенсибилизатора(S) к биологическому субстрату(A).
Тип 1 – сенсибилизатор вступает в реакцию напрямую с субстратом, превращая его в реакционноспособную молекулу, реагирующую с кислородом.
В реакции типа 2 перенос энергии происходит от возбужденной молекулы сенсибилизатора на молекулу кислорода, с образованием его возбужденной формы, которая окисляет субстрат.
Белки.
Фотоионизация – фотолиз остатков триптофана в белках
AH+hv→А.Н+ + e* H20
(e* H20 – сальватированный электрон , AH – триптофан, А.Н+ - катионрадикал триптофана ).
Фотодиссоциация –диссоциация –S-S- связей в цистеиновых остатках
R-S-S-R + hv + 2Н → 2(R-SH)
Фотолиз цистеина идет через стадию свободных радикалов с локализацией неспаренного электрона на атоме серы.
Нуклеиновые кислоты.
В отличие от белков, в нуклеиновых кислотах фотоионизация азотистых оснований происходит только при поглощении двух квантов уф-света. Такие двухквантовые реакции удается наблюдать при использовании высокоинтенсивного импульсного лазерного излучения. При относительно низких интенсивностях уф-света основномы реакциями, в которых участвуют основания нуклеиновых кислот – реакции фотоприсоединения, димеризация, гидратация и образование пиримидиновых аддуктов.
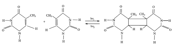
Фотодимеризация
Эта реакция быа обнаружена при облучении замороженных растворов Тимина. Она состоит в соединении двух оснований по 5,6 двойной углеродной связи с образование кольца циклобутанового типа.
Считается, что димеры пиримидиновых оснований(Тимина в первую очередь, составляют 70-80% от всех летальных повреждений, индуцируемых коротковолновым УФ-светом. Реакция является фотообратимой. Для каждой длинны волны устанавливается равновесие, так как область(200-300 нм для пиримидиновых основании и 200-285 нм дя димера) поглощения очень близка. Реакция происходит чеез синглетное состояние оснований.
Реакция фотогидратаии
Вторая о важности реакция, заключающаяся в присоединении воды к пиримидновому кольцу между пятым и шестым атомами углерода с разрывом двойной связи. В отличии от димеризации реакция гидратации не является фотообратимой и может происходить только в одноцепочечных молекулах ДНК, то есть может иметь вклад в летальный или мутагенный эффект только у клеток с активными процессами репликации и транскрипции.
Гидраты разрушаются при сдвигах pH, повышении температуры и ионной силы раствора.
По видимому, реакция происходит через синглетное возбужденное состояние пиримидиновых оснований
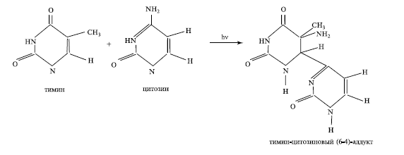
Образование пиримидиновых аддуктов.
Квантовый выход этой реакции на порядки меньше чем двух предыдущих, поэтому в летальный эффект она вносит незначительный вклад. С мутагенезе они могут играть важную роль, так как мутационные дефекты возникают много реже и максимальный квантовый выходи для них не имеет значения.
Образование сшивок с белками.
Акцепторами УФ-света являются и белки, и нуклеиновые кислоты. Механизм данного процесса, вероятно, заключается в прикреплении авминокислотных остатков белка через SH и OH группы к пятому и шестому углеродному атому цитозина или Тимина.
Билет 11.
Конформационная подвижность биополимеров. Иерархия амплитуд и времен релаксации конформационных движений.
В белке могут происходить два типа конформационных изменений. Переходы одного типа температурно зависимы и аналогичны общему кооперативному разворачиванию белковой глобулы при обратимой денатурации с большими тепловыми и энтропийными эффектами (∆G°,∆H°,∆S°>> 0). Конформационные переходы другого типа - локальныe. Связанный с ними обмен обусловлен именно «локальной подвижностью» белковой матрицы. (∆H°=0,∆S°< 0)
В сложной системе (белок), где изменение электронного состояния молекулы-хромофора вызывает реорганизацию его микроокружения, время релаксации среды может быть больше времени жизни электронного возбуждения (тр > т*). Этого не наблюдается в отдельных молекулах-хромофорах, где внутримолекулярная колебательная релаксация занимает 10-12- 10-11 с.
Изменяя релаксационные свойства среды (при изменении температуры), можно влиять на соотношение между тр и т*.
Виды ионизирующих излучений. Общая физическая характеристика. Граница между ионизирующим и неионизирующим электромагнитным излучением.
Ионизирующее излучение — любое излучение, взаимодействие которого со средой приводит к образованию электрических зарядов разных знаков. Оно представляет собой поток заряженных и (или) незаряженных частиц.
Излучение по действию:
-
Непосредственно ионизирующее излучение состоит из заряженных частиц, кинетическая энергия которых достаточна для ионизации при столкновении с атомами вещества (α- и β-излучение радионуклидов, протонное излучение ускорителей).
-
Косвенно ионизирующее излучение состоит из незаряженных (нейтральных) частиц, взаимодействие которых со средой приводит к возникновению заряженных частиц, способных непосредственно вызывать ионизацию (нейтронное излучение, гамма-излучение).
По энергии:
-
Ионизирующее излучение, состоящее из частиц одного вида одинаковой энергии, называется однородным моноэнергетическим излучением;
-
состоящее из частиц одного вида различных энергий, — немоноэнергетическим излучением; состоящее из частиц различного вида, — смешанным излучением.
Ионизирующее излучение наблюдается как среди корпускулярных излучений (альфа-, бэта-излучения, протонное, нейтронное), так и среди электромагнитных (рентгеновское и гамма-излучение). Среди электромагнитных есть и неионизирующие излучения (видимое, инфракрасное, микроволновое, радиочастотное). УФ-излучение можно отнести и к ионизирующим, и к неионизирующим. 12,5 эВ – граница между ионизирующим и неионизирующим электромагнитного излучения (соответствует энергии кванта, необходимой для ионизации молекулы H2O). Значению энергии кванта 12,5 эВ соответствует длина волны l ≈ 100 нм: (6.2.1)
















