DOCX (1123295), страница 5
Текст из файла (страница 5)
Фотодинамические реакции (как например одноцепочечные разрывы в ДНК), вызванные УФ излучением, в процессе порождают множество свободных радикалов.
Свободнорадикальные реакции имеют место в таком процессе как синтез лигнина.
Молекула кислорода парамагнитна, её основное состояние триплетное (спины электронов сонаправлены)
На первом этапе восстановления кислорода образуется супероксидный анион-радикал О2* -, который протонируется до пергидроксильного радикала НО2*.Дальнейшее восстановление приводит к образованию перекиси водорода Н2О2, это соединение может распадаться на гидроксильные радикалы НО*. При фотохимических и темновых реакциях кислород может переходить на синглетный уровень. Избыточная энергия синглетного кислорода соответствует энергии инфракрасного излучения.
Билет 6
Связь энтропии и информации в биологических системах.
Согласно формуле Больцмана, энтропия определяется как логарифм числа микросостояний, возможных в данной макроскопической системе
S=kБlnW
Где kБ = 1,36*10-23 Дж/к или 3,31*10-24 - постоянная Больцмана, W – число микросостояний(например, способов разместит молекулы газа в сосуде). В реальных системах существуют устойчивые и неустойчивые степени свободы. Понятие энтропии связано с неустойчивыми степенями, по которым возможна хаотизация, а число микростостояний – много больше единицы. В полностью устойчивой системе – число состояний(W) равно 1, а энтропия – нулю.
Связь энтропии и информации в теории информации была установлена для статистических степеней свободы. Допустим, мы получили информацию о том, каким именно способом из всех возможных осуществелно данное макросостояние системы. Количество информации, полученной в данном случае, будем тем больше, чем больше была исходная неопределенность, или энтропия системы.
Согласно теории информации, в этом простом случае количество информации о единственно реальном состоянии системы булет равно
I=log2W
Единица информации – бит, соответствует тому случаю, когда информация получена о одном из двух состояний системы(W=2), например выпал орел или решка.
Сопоставляя эти формулы, можно найти связь между энтропией и информацией.
S(в энтропийных единицах)=2,3*10-24=1 бит
Важной является информаия, касающаяся таких микросостояний, которая может быть сохранена, обработана и использована(последовательность ДНК), а не такая, которая в силу тепловых флуктуаций постоянном меняется(расположение атомов). В ДНК информационная емкость определяется только количеством определенных нуклеотидов, а не общим числом микросостояний, включающих колебаний всех атомов цепочки ДНК.
Возможность образования синглетного кислорода в клетках.
В норме О2 находится в стабильном состоянии, называемом триплетным и характеризующемся наименьшим уровнем молекулярной энергии. В определенных условиях молекула О2 переходит в одно из двух возбужденных синглетных состояний (*О2), различающихся степенью энергизованности и длительностью “жизни”. У большинства живых клеток в темноте основным источником синглетного кислорода служит спонтанная дисмутация супероксидных анионов. Синглетный кислород может возникать также при взаимодействии двух радикалов: О2- + ОН -> ОН- + *О2. Вероятно, любая биологическая система, в которой образуется О2-, может быть активным источником синглетного кислорода. Однако последний возникает и в темновых ферментативных реакциях в отсутствие О2-. Давно было известно, что на свету токсичность молекулярного кислорода для живых организмов повышается. Этому способствуют находящиеся в клетке вещества, поглощающие видимый свет, - фотосенсибилизаторы. Многие природные пигменты могут быть фотосенсибилизаторами. В клетках фотосинтезирующих организмов активными фотосенсибилизаторами являются хлорофиллы и фикобилипротеины. Окисление биологически важных молекул под влиянием видимого света в присутствии молекулярного кислорода и фотосенсибилизатора получило название фотодинамического эффекта. Поглощение видимого света приводит к переходу молекулы фотосенсибилизатора в возбужденное синглетное состояние (*Д). Молекулы, перешедшие в синглетное состояние, могут возвращаться в основное (Д) или переходить в долгоживущее триплетное состояние (тД), в котором они фотодинамически активны. Установлено несколько механизмов, с помощью которых возбужденная молекула (тД) может вызывать окисление молекулы субстрата. Один из них связан с образованием синглетного кислорода. Молекула фотосенсибилизатора в триплетном состоянии реагирует О2 и переводит его в возбужденное синглетное состояние . Фотодинамический эффект обнаружен у всех живых организмов. У прокариот в результате фотодинамического действия индуцируются повреждения многих типов: утрата способности формировать колонии, повреждение ДНК, белков,клеточной мембраны. Причина повреждений - фотоокисление некоторых а/к (метионина, гистидина, триптофана и др.) , нуклеозидов, липидов, полисахаридов и других клеточных компонентов.
Билет 7
Условия стабильности конфигурации макромолекул. Переходы глобула-клубок.
Кооперативные свойства макромолекул.
Полимерная цепь, где взаимодействуют только соседние звенья, сворачивается в клубок, обладающий большим числом конформаций, переходы между которыми происходят в процессе микроброуновского движения частей цепи. Такой клубок не обладает определенной внутренней структурой, он как бы все время "дышит", причем амплитуда "вздоха" порядка размеров клубка. Взаимное расположение отдельных частей клубка полностью подчиняется статистическим закономерностям. Однако если имеются объемные взаимодействия между атомами, далеко отстоящими друг от друга по цепи, то это существенно меняет всю картину. В реальных макромолекулах объемные взаимодействия элементов цепи создают внутреннее поле, под действием которого образуется глобула с плотной сердцевиной. В отличие от клубка глобула уже обладает определенной пространственной структурой. Сердцевина большой глобулы пространственно однородна с постоянной концентрацией звеньев, большей по сравнению с "опушкой" глобулы. Температурные переходы между состояниями клубка и глобулы одновременно являются переходами между разными фазами и сопровождаются изменениями агрегатного состояния макромолекулы. В биомакромолекулах наиболее подробно эти процессы изучены в белках. Белковые глобулы претерпевают переходы порядок - беспорядок в относительно малом интервале температуры и напоминают в этом отношений фазовые переходы 1 - го рода.
Типы объемных взаимодействий. Первичная структура полимерной цепи определяется химическими или валентными взаимодействиями. Объемные взаимодействия в основном определяют вторичную структуру макромолекул. Общим критерием стабильности молекулярной структуры является наличие минимума на кривой U(r) зависимости энергии взаимодействия от расстояния между взаимодействующими частями. Картинка «Электронный терм для двухатомной молекулы».
На малых расстояниях преобладают силы отталкивания, а на больших расстояниях превалирует притяжение. При r = ro силы притяжения и отталкивания уравновешивают друг друга. Значение энергии U(r) свободных частиц при r -> к бесконечности равно нулю, а энергия образованной ими стабильной структуры отрицательна U(ro) < 0. На малых расстояниях, где частицы отталкиваются, U(r) > 0. Минимум U(r0) соответствует максимальной по абсолютной величине и отрицательной по знаку энергии взаимодействия. В образовании вторичной структуры белка играют большую роль силы Ван-дер-Ваальса. Они имеют электромагнитную природу и связаны с взаимодействием электрических диполей в соседних молекулах. Наиболее распространены дисперсионные взаимодействия между молекулами, которые не обладают постоянными дипольными моментами. Природа этих сил носит квантовомеханический характер.
Неопределенности в значениях координаты дельта х и импульса дельта р связаны соотношением неопределенностей
дельта х дельта р = h
Это значит, что и в основном невозбужденном состоянии существуют быстрые смещения заряда электрона от положения равновесия, а следовательно, в молекуле в состоянии покоя появляются "мгновенные" дипольные моменты. Появление такого момента в одной молекуле индуцирует появление его в соседней молекуле. Возникает взаимодействие двух быстроменяющихся дипольных моментов, которые, таким образом, становятся связанными и притягиваются друг к другу. Энергия притяжения двух мгновенных диполей, или энергия дисперсионного взаимодействия, быстро убывает с расстоянием Uдисп~1/r6.
Кроме дисперсионного взаимодействия возможно и электростатическое притяжение между постоянными диполями в полярных молекулах. Кроме того, существуют также индукционные взаимодействия, которые возникают между постоянным дипольным моментом в одной молекуле и наведенным им диполем в соседней поляризуемой молекуле. Суммарное ван-дерваальсово взаимодействие двух молекул зависит от вклада всех типов дипольных взаимодействий и составляет по величине от 1,0 до нескольких десятков ккал/моль.
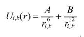
В выражении для полной энергии или полного потенциала взаимодействия необходимо учесть не только притяжение Uпритяж(r)~1/r6, но и отталкивание на близких расстояниях Uотт(r)~1/r12) сложение этих величин дает формулу на картинке
где В - константы притяжения и отталкивания, r,k - расстояние между взаимодействующими атомами (i и k).
Наряду с силами Ван-дер-Ваальса большую роль в стабилизации биоструктур играют водородные связи и электростатические взаимодействия между заряженными и полярными группами. Водородные связи, например, стабилизируют вторичную структуру полипептидных цепей. В энергию водородной связи дают вклад электростатические взаимодействия, притяжение и отталкивание, а также энергия делокализации электронов. Величины энергии водородной связи сильно варьируют (3 - 8 ккал/моль). Так, водородная связь
О-Н ... О обладает энергией 8,6 ккал/моль.
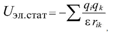
где qi, qk - заряды на атомах (i и k), rik - расстояние между атомами, эпсилон - диэлектрическая постоянная.
Условия существования клубка и глобулы. Вследствие объемных взаимодействий сблизившиеся участки могут либо притягиваться, либо отталкиваться друг от друга. Повышение температуры приводит к увеличению отталкивания между мономерами, понижение — способствует их взаимному притяжению. Существует температура, при которой отталкивание мономеров полностью компенсируется их взаимным притяжением. Эта температурная точка называется тета-точкой или тета-температурой. В тета-точке объемные взаимодействия отсутствуют, и макромолекула представляет собой клубок с размерами R ~ lN1/2, который сохраняется и при повышении температуры Т > тета. Однако в области Т > тета из-за увеличения сил отталкивания размеры клубка возрастают: R > lN1/2. где а — коэффициент набухания макромолекулы; а > 1 в области Т > тета и а = 1 при Т = тета.
В хороших растворителях притяжение атомов цепи и растворителя больше, чем между атомами цепи, что равносильно увеличению их взаимного отталкивания в таком растворителе (область Т > тета; здесь а > 1). Наоборот, в плохих растворителях взаимное притяжение звеньев полимера больше, чем их притяжение к молекулам растворителя (область Т < тета; а < 1). В области Т < тета в объемном взаимодействии превалируют силы притяжения, которые могут привести к конденсации полимерного клубка в плотную слабо флуктуирующую глобулу. Эта глобула стабилизируется самосогласованным сжимающим полем, обусловленным силами притяжения между мономерами.
На ранних стадиях сворачивания в развернутой цепи образуются альфа - или бета - участки вторичной структуры за счет локальных взаимодействий. Затем эти участки стабилизируются в результате действия гидрофобных сил, водородных связей и объемных взаимодействий с другими участками цепи с образованием уже третичной структуры. Самосборка структуры белка носит направленный кооперативный характер. Она протекает через определенное число промежуточных стадий, а не путем перебора всех возможных вариантов укладки до достижения минимального по энергии состояния.Реальное время сворачивания белковой глобулы - несколько секунд.
Выгодные низкоэнергетические состояния появляются сразу на ранних этапах сворачивания в небольших участках цепи, включающих два - три остатка. Вначале для расчета низкоэнергетической конформации белка находят низкоэнергетические состояния дипептидов. Низкоэнергетические формы трипептидов представляют собой комбинации низкоэнергетических форм смежных дипептидов, что является результатом согласованности три - и дипептидных взаимодействий. Конформационный анализ более сложных олигопептидов проводится методом последовательного увеличения цепи на один остаток. Важно, что новые взаимодействия, возникающие при удлинении цепи, стабилизируют фрагмент и не нарушают уже сложившихся взаимодействий и низкоэнергетических форм. В настоящее время такой полуэмпирический метод расчета дает возможность определить пространственную структуру достаточно сложных полипептидов, включающих до сотни остатков.
Образование свободных радикалов в клетках при действии неблагоприятных факторов среды.
















