ПРО РНК (1113562), страница 2
Текст из файла (страница 2)
Рис.4. Схема синтеза полидезоксинуклеотида: 1,- соотв. 5'- и 3'-конец олигонуклеотидов; 3-комплементарные участки концов дуплексов (:липкие: концы); а,б и в-стадии образования дуплексов (все стадии катализируются Т4 ДНК-лигазой).
Синтез олигодезоксинуклеотидов Корана осуществил т. наз. фосфодиэфирным методом по схеме:
К динуклеотиду со своб. 3'-гидроксильной группой присоединяют таким же способом динуклеотид с незащищенной 5'-фосфатной группой и т.д. (т.наз. блочный метод синтеза):
Несмотря на малую эффективность этого метода, были синтезированы олигонуклеотиды, содержащие до 16 звеньев, из к-рых были собраны первые синтетич. гены. Фосфоди-эфирный метод образования межнуклеотидных связей, использованный Кораной, имеет история, значение. Однако разработанные им приемы введения и избират. удаления защитных групп широко используются в др. методах синтеза Н.к.
Важным шагом в совершенствовании синтеза олигонукле-отидов явилась разработка т.наз. фосфотриэфирного метода, к-рый осуществляют по схеме:
Образующийся динуклеотид далее (после частичного деблокирования фосфата) конденсируют аналогичным образом с др. динуклеотидом и т.д. Применение этого способа, в к-ром используют защиту фосфатной группы, позволило значит. сократить время синтеза и повысить выходы олиго-нуклеотидов.
Параллельно этим методам, к-рые осуществляют в р-рах, разрабатывались твердофазные способы синтеза Н.к. В последнем случае процесс проводят в двухфазной системе; нуклеозидный компонент связан ковалентно с нерастворимым полимером, а нуклеотидный компонент и необходимые реагенты находятся в р-ре.
Обычно в этом случае на первой стадии нуклеозид присоединяют с помощью "якорной" группы к нерастворимому полимеру. Затем его 5'-гидроксильную группу деблокируют и конденсируют с нуклеотидным компонентом. У образующегося полностью защищенного динуклеозидмонофосфата деблокируют защитную группу в положении 5' и присоединяют след. нуклеотид и т.д.
Наиб. распространенные методы твердофазного синтеза олигонуклеотидов основаны на использовании нуклеотидного компонента, содержащего Р(III). В т.наз. амидофосфитном-способе (рис. 5) нуклеотидным компонентом является эфир 3'-амидофосфита дезоксинуклеозида. Достаточно устойчивые амидофосфиты при протонировании в присут. тетразола превращ. в сильные фосфорилирующие агенты. Схема также включает блокирование непрореагировавшей 3'-гидроксигруппы достраивающегося олигонуклеотида (кэпирование) и окисление межнуклеотидного фосфита. На рис. показан один цикл наращивания цепи, к-рый длится 5-7 мин и далее повторяется. После завершения синтеза удаляют защитные группы с межнуклеотидных фосфатов, отделяют олигонуклеотид от носителя, деблокируют группы NH2 гетероциклов. Липофильную группу (МеО)2Тr удаляют после первого хроматографич. разделения.
Рис. 5. Схема твердофазного синтеза олигонуклеотидов амидофосфитным методом; П - полимерный носитель, Ру- пиридин.
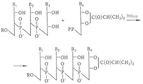
Др. метод основан на использовании гидрофосфориль-ного производного нуклеозида:
П-полимерный носитель
После снятия 5'-защитной диметокситритильной группы возможно присоединение след. нуклеотида. Окисление межнуклеотидных фосфитных групп проводят после завершения синтеза олигонуклеотида.
Стандартность операций в твердофазном синтезе олиго-нуклеотидов явилась основой для автоматизации процесса. Принцип работы автомата-синтезатора основан на подаче в реактор с помощью насоса (под контролем микропроцессора) защищенных нуклеотидных компонентов реагентов и р-рителей по заданной программе в колонку, содержащую полимерный носитель с закрепленным на нем первым нукле-озидом. После окончания синтеза и отделения полностью защищенного олигонуклеотида от полимерного носителя проводят деблокирование, очистку и анализ синтезир. фрагментов ДНК. Так, с помощью гидрофосфорильного метода
в автомате-синтезаторе за неск. часов получают 30-40-звен-ные олигонуклеотиды; возможен синтез более чем 100-звен-ных фрагментов ДНК. Разработаны синтезаторы, позволяющие проводить одновременно синтез неск. олигонукле-отидов.
Синтез олигорибонуклеотидов ферментативным путем осуществляют обычно с использованием рибонуклеаз (РНаз) или полинуклеотидфосфорилаз (ПНФаз). В первом случае р-цию осуществляют по схеме:
R-H или остаток олигорибонуклеотида
В качестве нуклеотидного и нуклеозидного компонентов применяют мономеры или олигонуклеотиды. Эту р-цию используют для синтеза ди-, три- и тетрарибонуклеотидов. При увеличении длины олигорибонуклеотида начинает преобладать обратная р-ция (гидролиз олигонуклеотида).
Для синтеза олигорибонуклеотидов с большим числом звеньев используют ПН Фазу:
РР-Остаток пирофосфорной н-ты
Хим. синтез олигорибонуклеотидов проводят в осн. с использованием тех же приемов, как и при синтезе ДНК. Дополнит. трудности связаны с селективной защитой 2'-гидроксигруппы рибозы, а также с неустойчивостью фос-фодиэфирной связи РНК в щелочной среде.
Длинные фрагменты РНК получают из коротких, соединяя их с помощью РНК-лигазы.
Историческая справка. Н.к. открыты в 1869-72 Ф. Мише-ром в ядрах (отсюда назв.: лат. nucleus-ядро) клеток гноя и в сперме лосося. В 1889 Р. Альтман выделил их в чистом виде (им же предложен термин "Н.к."). В 1944 О. Эйвери показал, что с помощью ДНК наследств. признаки м. б. переданы от одной клетки к другой и что ДНК, т. обр., является "в-вом наследственности". Хим. строение Н.к. изучалось школами А. Косселя, П. Левина, Дж. Гулленда и А. Тодда и было окончательно установлено к нач. 50-х гг. Макромол. структура ДНК (двойная спираль) установлена в 1953 Дж. Уотсоном и Ф. Криком на основании данных рентгеноструктурного анализа, полученных Р. Франклин и М. Уилкинсом. Нуклеотидный состав ДНК и РНК из многих объектов изучен Э. Чаргаффом и А. Н. Белозерским в 40-50-х гг. Изучение первичной структуры Н. к. начато с сер. 60-х гг. с установления нуклеотидной последовательности тРНК (Р. Холли). Ф-ции большинства РНК установлены к нач. 60-х гг. Было показано, что они участвуют в реализации генетич. информации, закодированной в ДНК.
П. Доти и А. С. Спириным исследовано макромол. строение РНК. В сер. 70-х гг. разработаны эффективные методы расшифровки первичной структуры ДНК и РНК (методы Максама-Гилберта и Сенгера), к-рые в сочетании с методами генетич. инженерии позволили в течение след. десятилетия определить нуклеотидные последовательности мн. генов, плазмид, вирусных ДНК и РНК, рРНК и др. Разработаны приемы обработки этой информации с использованием ЭВМ. В 70-х гг. Кораной разработаны методы синтеза ДНК; им впервые синтезированы прир. гены (аланиновой и тиразиновой транспортных РНК). Начиная с сер. 70-х гг. создавались методы получения рекомбинантных Н.к. (образуются, напр., в результате встраивания участка ДНК, в т.ч. гена, в плазмиду; см. Генетическая инженерия), к-рые существенно расширили возможности структурно-функцион. исследований Н.к. и создали базу для использования достижений мол. биологии и генетики в биотехнологии. В 80-е гг. разработаны эффективные методы химического (в т.ч. автоматического) синтеза олигонуклеотидов и крупных фрагментов ДНК, к-рые широко используют для изучения структуры и ф-ций Н.к.
-
Современные представления о механизмах действия различных видов РНК.
Типы РНК
Структура молоточкового (hammerhead) рибозима , который расщепляет РНК
Матричная (информационная) РНК - РНК, которая служит посредником при передаче информации, закодированной в ДНК к рибосомам, молекулярным машинам, синтезирующим белки живого организма. Кодирующая последовательность мРНК определяет последовательность аминокислот полипептидной цепи белка. Однако подавляющее большинство РНК не кодируют белок. Эти некодирующие РНК могут транскрибироваться с отдельных генов (например, рибосомальные РНК) или быть производными интронов. Классические, хорошо изученные типы некодирующих РНК - это транспортные РНК (тРНК) и рРНК, которые участвуют в процессе трансляции. Существуют также классы РНК, ответственные за регуляцию генов, процессинг мРНК и другие роли. Существуют молекулы некодирующих РНК, способные катализировать химические реакции, такие как разрезание и лигирование молекул РНК[28]. По аналогии с белками, способными катализировать химические реакции - энзимами (ферментами), каталитические молекулы РНК называются рибозимами.
Материал из Википедии — свободной энциклопедии
Перейти к: навигация, поиск
С
труктура транспортной РНК
тРНК — РНК, функцией которой является транспортировка аминокислот к месту синтеза белка. тРНК также принимают непосредственное участие в наращивании полипептидной цепи, присоединяясь — будучи в комплексе с аминокислотой — к кодону мРНК и обеспечивая необходимую для образования новой пептидной связи конформацию комплекса.
Для каждой аминокислоты существует своя тРНК.
тРНК является одноцепочечной РНК, однако в функциональной форме имеет конформацию «листа клевера» или «кловерлиф» (англ. cloverleaf). Аминокислота ковалентно присоединяется к 3'-концу молекулы с помощью специфичного для каждого типа тРНК фермента аминоацил-тРНК-синтетазы. На участке C находится антикодон, соответствующий аминокислоте.
Рибосомные субчастицы и номенклатура рРНК
Б
ольшая рибосомная субчастица 50S.
Жёлтым показана рРНК, синим - белки нуклеопротеидного комплекса субчастичы.
На электронно-микроскопических изображениях интактных рибосом заметно, что они состоят из двух отличающихся размерами субчастиц. Связь между этими субчастицами относительно слаба: при изменении параметров среды, ведущему к электростатическому дезэкранированию фосфатных групп рРНК (например, при снижении концентрации ионов магния) рибосома диссоциирует на субчастицы, такая диссоциация обратима: при восстановлении параметров среды субчастицы реассоциируют в исходные рибосомы.
Отношение масс субчастиц составляет ~2:1; массы, в свою очередь выражаются в измеряемых напрямую константах седиментации (скорость осаждения в единицах Сведберга, S) при ультрацентрифуговании, именно этот параметр и лёг в основу номенклатуры рРНК и, рибосом и рибосомных субчастиц: используются обозначения вида
[коэффициент седиментации]S
Так, например, рибосомная РНК прокариот с коэффициентом седиментации 16 единиц Сведберга обозначается как 16S рРНК.
Поскольку коэффициенты седиментации зависят не только от молекулярной массы, но и от формы частиц, седиментационные коэффициенты при диссоциации неаддитивны: так, например, бактериальные рибосомы с молекулярной массой ~3*106 Дальтон имеет коэффициент седиментации 70S, обозначается как 70S и диссоциирует на субъединицы 50S и 30S:
70S
50S + 30S
Рибосомные субчастицы содержат по одной молекуле рРНК большой длины, масса которой составляет ~1/2 - 2/3 массы рибосомной субчастицы, таким образом, в случае бактериальных рибосом 70S субчастица 50S содержит рРНК 23S (длина ~3000 нуклеотидов) и субчастица 30S содержит рРНК 16S (длина ~1500 нуклеотидов); большая рибосомная субчастица кроме «длинной» рРНК содержит также одну или две «коротких» рРНК (5S рРНК бактериальных рибосомных субчастиц 50S или 5S и 5.8S рРНК болших рибосомных субчастиц эукариот).
Ма́тричная рибонуклеи́новая кислота́ (мРНК, синоним — информацио́нная РНК, иРНК) — РНК, отвечающая за перенос информации о первичной структуре белков от ДНК к местам синтеза белков. мРНК синтезируется на основе ДНК в ходе транскрипции, после чего, в свою очередь, используется в ходе трансляции как матрица для синтеза белков. Тем самым мРНК играет важную роль в «проявлении» (экспрессии) генов.
Длина типичной зрелой мРНК составляет от нескольких сотен до нескольких тысяч нуклеотидов. Самые длинные мРНК отмечены у (+)оц РНК-содержащих вирусов, например пикорнавирусов, однако следует помнить, что у этих вирусов мРНК образует весь их геном.
ДНК нередко сравнивают с чертежами для изготовления белков. Развивая эту инженерно-производственную аналогию, можно сказать, что, если ДНК — это полный набор чертежей для изготовления белков, находящийся на хранении в сейфе директора завода, то мРНК — временная рабочая копия чертежа, выдаваемая в сборочный цех.
Гипотеза о значении РНК в синтезе белков была высказана Торбьёрном Касперссоном (Torbjörn Caspersson) на основе исследований 1937—1939 гг., в результате которых было показано, что клетки, активно синтезирующие белок, содержат большое количество РНК. Подтверждение гипотезы было получено Юбером Шантренне (Hubert Chantrenne).
«Жизненный цикл» мРНК
Жизненный цикл молекулы мРНК начинается транскрипцией и завершается деградацией. Молекула мРНК в течение своей жизни может быть также обработана и «отредактирована» перед трансляцией. Эукариотические молекулы мРНК часто требуют сложной обработки и транспортировки, в то время как прокариотические молекулы мРНК этого не требуют.
Транскрипция
Транскрипцией называют процесс копирования генетической информации с ДНК на мРНК. Он осуществляется ферментом РНК-полимеразой, строящей, согласно принципу комплементарности, копию участка ДНК на основании одной из цепей двойной спирали. Этот процесс как у эукариот, так и у прокариот организован одинаково. Основное различие между про- и эукариотами состоит в том, что у эукариот РНК-полимераза во время транскрипции ассоциируется с мРНК-обрабатывающими ферментами, поэтому у них обработка мРНК и транскрипция могут проходить одновременно. Короткоживущие необработанные или частично обработанные продукты транскрипции называются пред-мРНК; после полной обработки — зрелая мРНК.
Обработка эукариотической пред-мРНК
В то время как мРНК прокариот (бактерий и архей), за редкими исключениями, сразу готовы к трансляции и не требуют специальной обработки, эукариотические пред-мРНК требуют более интенсивной обработки. В процессе сплайсинга из пре-мРНК удаляются интроны, на 5' конец добавляется кэп, на 3' конец добавляется полиадениновый хвост.
Сплайсинг
Схема сплайсинга, в процессе которого пре-РНК редактируется в зрелую РНК. Зелёный - нетранслируемые участки (UnTranslated Regions, UTR), синий - интроны, красный - транслируемые (кодирующие белок) участки.
















