Готовая версия РНК (1113531)
Текст из файла
24
ОГЛАВЛЕНИЕ
Современные представления о структуре и роли нуклеиновых кислот в живых системах…………………………………………………………………………………………….…..2
Современные представления о механизмах действия различных видов РНК………….……6
Современные представления о роли РНК в механизме биосинтеза белковых молекул…………………………………………………………………………………………………10
Анализ особенностей молекулярных механизмов связывания малых РНК с матричной РНК, кодирующей последовательность аминокислот в белковых молекулах………………………………………………………………………………………….………17
Список литературы…………………………………………………………………………….….23
-
Современные представления о структуре и роли нуклеиновых кислот в живых системах.
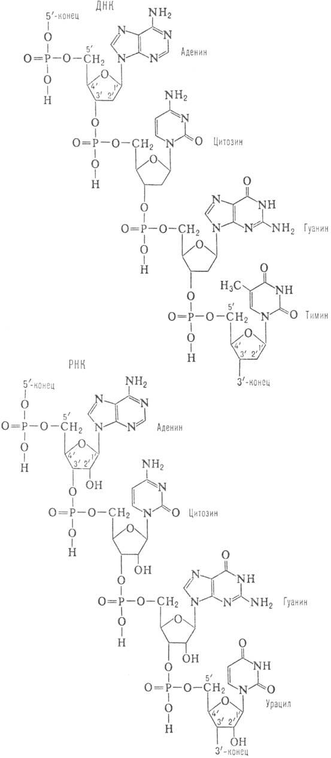
НУКЛЕИНОВЫЕ КИСЛОТЫ (полинуклеотиды), биополимеры, осуществляющие хранение и передачу генетической информации во всех живых организмах, а также участвующие в биосинтезе белков.
Первичная структура нуклеиновых кислот представляет собой последовательность остатков нуклеотидов. Последние в молекуле нуклеиновых кислоты образуют неразветвленные цепи. В зависимости от природы углеводного остатка в нуклеотиде (D - дезоксирибозы или D-рибозы) Н.к. подразделяют соответственно на дезоксирибонуклеиновые (ДНК) и рибонуклеиновые (РНК) кислоты. В молекуле ДНК гетероциклы, входящие в остаток нуклеотида, представлены двумя пуриновыми основаниями - адeнином (А) и гуанином (G), и двумя пиримидиновыми основаниями -тимином (Т) и -цитозином (С); РНК вместо Т содержит урацил (U). Кроме того, в Н.к. в небольших количествах обнаруживаются модифицированные (в основе метилированные) остатки нуклеозидов - так называемые минорные нуклеозиды, которыми особенно богаты транспортные рибонуклеиновые кислоты (тРНК). Отдельные нуклеотидные остатки связаны между собой в полинуклеотидных цепях 3'-5'-фосфодиэфирными связями. Стандартная запись нуклеотидной последовательности осуществляется в направлении от 5'-конца к 3'-концу (каждый нуклеотид обозначают буквой, присвоенной основанию, которое он содержит; направление, последовательность приведенного участка ДНК записывается как ACGT).
Свойств ДНК и РНК различны. Так, РНК легко расщепляется щелочами до мононуклеотидов (благодаря наличию группы 2'-ОН), в то время как полинуклеотидные цепи ДНК в тех же условиях стабильны. Это структурное различие определяет и меньшую устойчивость к воздействию к-т N-гликозидных связей (связь между гетероциклом и остатком рибозы) в ДНК по сравнению с РНК.
Дезоксирибонуклеиновые кислоты. Нуклеотидный состав ДНК подчиняется ряду правил (так называемые правила Чаргоффа), важнейшее среди которых - одинаковое содержание А и Т, G и С у любой клеточной ДНК. Нуклеотидный состав РНК подобным правилам не подчиняется.
Пространственная структура ДНК описывается как комплекс двух полинуклеотидных антипараллельных цепей, закрученных относительно общей оси, так что углеводо - фосфатные цепи составляют периферию молекулы, а азотсодержащие гетероциклы направлены внутрь (двойная спираль Уотсона-Крика). Антипараллельность полинуклеотидных цепей выражается в том, что на одном и том же конце спирали одна полинуклеотидная цепь содержит (незамещенную или замещенную) группу 5'-ОН, а другая 3'-ОН. Фундаментальное свойство двойной спирали ДНК состоит в том, что ее цепи комплементарны друг другу вследствие того, что напротив А одной цепи всегда находится Т другой цепи, а напротив G всегда находится С. Комплементарное спаривание А с Т и G с С осуществляется посредством водородных связей. Классическая двойная спираль Уотсона-Крика получила название В-формы ДНК. Она - правозакрученная, плоскости гетероциклических оснований перпендикулярны оси спирали, а число пар остатков нуклеотидов на один виток спирали равно примерно 10; расстояние между витками 3,4 нм. При изменении ионной силы и состава растворителя двойная спираль изменяет свою форму и даже может превращаться в левозакрученную спираль (так называемую Z-форму), которая содержит в одном витке около 12 остатков нуклеотидов. При дегидратации В-формы образуется А-форма ДНК - правозакрученная двойная спираль, содержащая в одном витке около 11 остатков нуклеотидов, плоскости гетероциклических оснований повернуты примерно на 20° относительно перпендикуляра к оси спирали. Двойная спираль ДНК способна денатурировать (например, при повышении температуры) с полным расхождением комплементарных цепей, которые сохраняют способность к ассоциации с восстановлением (рекатурацией) двойной спирали при возвращении к исходным условиям. Подробно изучены также конформации фрагментов ДНК.
Двойная спираль ДНК (стрелками показано направление полинуклеотидной цепи).
Рибонуклеиновые кислоты. РНК, как правило, построены из одной полинуклеотидной цепи, характерный элемент вторичной структуры к-рой - "шпильки", перемежающиеся однотяжевыми участками (рис. 3). Шпилька - двутяжевая спиральная структура, образующаяся в результате комплементарного спаривания оснований (А с U и G с С). Шпильки и соединяющие их одно-тяжевые участки РНК укладываются в компактную третичную структуру. Для тРНК вторичная структура имеет характерную форму, которую называют "клеверным листом". Известны редкие примеры целиком двухспиральных молекул РНК.
Двухспиральные гибридные комплексы (ДНК и РНК) могут быть искусственно получены из комплементарных однотяжевых ДНК и РНК. Функциональноактивные РНК имеют размер от 70-150 до неск. тысяч нуклеотидных остатков. Биосинтез РНК (транскрипция)обычно происходит в результате комплементарного копирования ДНК-матрицы, к-рое осуществляет фермент РНК-полимераза.
Известно несколько типов РНК. Рибосомные рибонуклеиновые кислоты, связываясь с рибосомными белками, образуют рибосомы, в которых осуществляется синтез белка. Матричные рибонуклеиновые кислоты служат матрицами для синтеза белков (трансляции). тРНК осуществляют связывание соответствующей аминокислоты и ее перенос к рибосомам. Обнаружены так назывемые малые ядерные РНК, участвующие в превращении первичных продуктов транскрипции в функционирующие молекулы; антисмысловые РНК участвуют в регуляции биосинтеза белка и репликации плазмидных ДНК. В виде РНК представлены геномы многочисленных вирусов (РНК-содержащие вирусы), в которых матрицами для синтеза РНК служат вирусные РНК. Некоторые РНК обладают ферментативной активностью, катализируя расщепление и образование фосфодиэфирных связей в своих собственных или др. молекулах РНК.
Определение первичной структуры (секвенирование) Н.к. Секвенирование Н.к. позволяет определить в одном эксперименте последовательность нуклеотидов в ДНК или РНК, содержащих несколько сотен мономерных звеньев. Методы основаны на общем принципе - определении с помощью высоко-разрешающего электрофореза в полиакриламидном геле с точностью до одного нуклеотида длины всех возможных фрагментов секвенируемого участка Н.к., содержащих на одном конце одну и ту же последовательность нуклеотидов (гомогенный фрагмент), а на другом - один и тот же нуклеотид. Такие фрагменты получают двумя различными способами. В первом случае (метод Максама-Гилберта) гомогенный фрагмент ДНК или РНК, предварительно меченный радиоактивной меткой по одному из концов, расщепляют химическими агентами, специфичными к одному из четырех нуклеотидных остатков (A, G, С, Т или U); в случае РНК этот процесс осуществляют также специфичными рибонуклеазами. Расщепление ведут в таких ограничивающих условиях, когда в каждой молекуле Н.к. расщепляется только одна меж нуклеотидная связь рядом с нуклеотидом данного типа, независимо от его положения в цепи. Такую операцию проводят для каждого из четырех нуклеотидных остатков и по длинам образующихся радиоактивных фрагментов определяют положение каждого нуклеотида в цепи Н.к.
В другом случае (метод Сенгера) используют олиго- или полинуклеотидную затравку (праймер) известной длины, коплементарную определенному участку Н.к. Затравку наращивают с помощью ДНК-полимеразы, останавливая синтез на одном из четырех типов нуклеотидных остатков с равной вероятностью, независимо от его положения в цепи. Для этого к смеси четырех природных субстратов ДНК-полимеразы добавляют так называемый терминатор (обычно 2', 3'-ди-дезоксинуклеозидтрифосфат) - аналог определяемого нуклеотидного остатка, попадание которого на 3'-конец растущей цепи останавливает синтез. При этом радиоактивная метка вводится либо в затравку, либо в субстрат. Операцию повторяют для каждого из четырех нуклеотидов; длину образующихся радиоактивных фрагментов определяют стандартным способом. Эти методы в настоящее время удалось полностью автоматизировать (заменив в ряде случаев радиоактивную метку на флуоресцентную) и тем самым в тысячи раз повысить скорость секвенирования ДНК.
Получение нуклеиновых кислот. В клетках Н.к. связаны с белками, образуя нуклеопротеиды. Выделение Н.к. сводится преимущественно к очистке их от белков. Для этого препараты, содержащие Н.к., обрабатывают ПАВ и экстрагируют белки фенолом. Последующая, очистка и фракционирование Н.к. проводятся с помощью ультрацентрифугирования, различных видов жидкостной хроматографии и гель-электрофореза. Для получения индивидуальных Н.к. обычно используют различные варианты последнего метода.
-
Современные представления о механизмах действия различных видов РНК.
Типы РНК
Структура молоточкового (hammerhead) рибозима, который расщепляет РНК
Матричная (информационная) РНК - РНК, которая служит посредником при передаче информации, закодированной в ДНК к рибосомам, молекулярным машинам, синтезирующим белки живого организма. Кодирующая последовательность мРНК определяет последовательность аминокислот полипептидной цепи белка. Однако подавляющее большинство РНК не кодируют белок. Эти некодирующие РНК могут транскрибироваться с отдельных генов (например, рибосомальные РНК) или быть производными интронов. Классические, хорошо изученные типы некодирующих РНК - это транспортные РНК (тРНК) и рРНК, которые участвуют в процессе трансляции. Существуют также классы РНК, ответственные за регуляцию генов, процессинг мРНК и другие роли. Существуют молекулы некодирующих РНК, способные катализировать химические реакции, такие как разрезание и лигирование молекул РНК[28]. По аналогии с белками, способными катализировать химические реакции - энзимами (ферментами), каталитические молекулы РНК называются рибозимами.
С
труктура транспортной РНК
тРНК — РНК, функцией которой является транспортировка аминокислот к месту синтеза белка. тРНК также принимают непосредственное участие в наращивании полипептидной цепи, присоединяясь — будучи в комплексе с аминокислотой — к кодону мРНК и обеспечивая необходимую для образования новой пептидной связи конформацию комплекса.
Для каждой аминокислоты существует своя тРНК.
тРНК является одноцепочечной РНК, однако в функциональной форме имеет конформацию «листа клевера» или «кловерлиф» (англ. cloverleaf). Аминокислота ковалентно присоединяется к 3'-концу молекулы с помощью специфичного для каждого типа тРНК фермента аминоацил-тРНК-синтетазы. На участке C находится антикодон, соответствующий аминокислоте.
Рибосомные субчастицы и номенклатура рРНК
Б
ольшая рибосомная субчастица 50S.
Жёлтым показана рРНК, синим - белки нуклеопротеидного комплекса субчастичы.
Характеристики
Тип файла документ
Документы такого типа открываются такими программами, как Microsoft Office Word на компьютерах Windows, Apple Pages на компьютерах Mac, Open Office - бесплатная альтернатива на различных платформах, в том числе Linux. Наиболее простым и современным решением будут Google документы, так как открываются онлайн без скачивания прямо в браузере на любой платформе. Существуют российские качественные аналоги, например от Яндекса.
Будьте внимательны на мобильных устройствах, так как там используются упрощённый функционал даже в официальном приложении от Microsoft, поэтому для просмотра скачивайте PDF-версию. А если нужно редактировать файл, то используйте оригинальный файл.
Файлы такого типа обычно разбиты на страницы, а текст может быть форматированным (жирный, курсив, выбор шрифта, таблицы и т.п.), а также в него можно добавлять изображения. Формат идеально подходит для рефератов, докладов и РПЗ курсовых проектов, которые необходимо распечатать. Кстати перед печатью также сохраняйте файл в PDF, так как принтер может начудить со шрифтами.
















