ПРО РНК (1113562)
Текст из файла
-
Современные представления о структуре и роли нуклеиновых кислот в живых системах.
НУКЛЕИНОВЫЕ КИСЛОТЫ (полинуклеотиды), биополимеры, осуществляющие хранение и передачу генетич. инфор-мации во всех живых организмах, а также участвующие в биосинтезе белков.
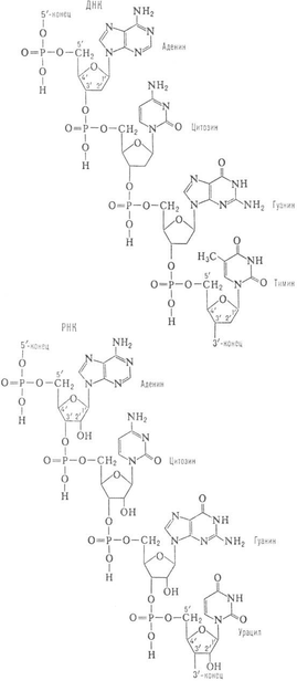
Первичная структура Н.к. представляет собой последовательность остатков нуклеотидов. Последние в молекуле Н.к. образуют неразветвленные цепи. В зависимости от природы углеводного остатка в нуклеотиде (D-дезоксирибозы или D-рибозы) Н.к. подразделяют соотв. на дезоксирйбонуклеи-новые (ДНК) и рибонуклеиновые (РНК) к-ты. В молекуле ДНК гетероциклы, входящие в остаток нуклеотида, представлены двумя пуриновыми основаниями - адeнином (А) и гуанином (G), и двумя пиримидиновыми основаниями -тими-ком (Т) и цитозином (С); РНК вместо Т содержит урацил (U). Кроме того, в Н.к. в небольших кол-вах обнаруживаются модифицированные (в осн. метилированные) остатки нуклеозидов- т. наз. минорные нуклеозиды, к-рыми особенно богаты транспортные рибонуклеиновые кислоты (тРНК). Отдельные нуклеотидные остатки связаны между собой в полинуклеотидных цепях 3'-5'-фосфодиэфирными связями (см. ф-лу). Стандартная запись нуклеотидной последовательности осуществляется в направлении от 5'-конца к 3'-концу (каждый нуклеотид обозначают буквой, присвоенной основанию, к-рое он содержит; напр., последовательность приведенного участка ДНК записывается как ACGT).
Св-ва ДНК и РНК различны. Так, РНК легко расщепляется щелочами до мононуклеотидов (благодаря наличию группы 2'-ОН), в то время как полинуклеотидные цепи ДНК в тех же условиях стабильны. Это структурное различие определяет и меньшую устойчивость к воздействию к-т N-гликозидных связей (связь между гетероциклом и остатком рибозы) в ДНК по сравнению с РНК.
Дсзоксирибонуклепновые кислоты. Нуклеотидный состав ДНК подчиняется ряду правил (т.наз. п р а в и л а Ч а р г а ф-ф а), важнейшее среди к-рых-одинаковое содержание А и Т, G и С у любой клеточной ДНК. Нуклеотидный состав РНК подобным правилам не подчиняется.
Пространствю структура ДНК описывается как комплекс двух полинуклеотидных антипараллельных цепей (рис. 1), закрученных относительно общей оси, так что углевод-фосфатные цепи составляют периферию молекулы, а азотсодержащие гетероциклы направлены внутрь (д в о й н а я с п и р а л ь У о т с о н а-К р и к а). Антипараллельность полинуклеотидных цепей выражается в том, что на одном и том же конце спирали одна полинуклеотидиая цепь содержит (незамещенную или замещенную) группу 5'-ОН, а другая 3'-ОН. Фундам. св-во двойной спирали ДНК состоит в том, что ее цепи комплементарны друг другу (см. Комплемен-тарностъ)вследствие того, что напротив А одной цепи всегда находится Т другой цепи, а напротив G всегда находится С. Комплементарное спаривание А с Т и G с С осуществляется посредством водородных связей. Классич. двойная спираль Уотсона-Крика получила назв. В-формы ДНК. Она-правозакрученная, плоскости гетероциклич. оснований перпендикулярны оси спирали, а число пар остатков нуклеотидов на один виток спирали равно примерно 10; расстояние между витками 3,4 нм. При изменении ионной силы и состава р-рителя двойная спираль изменяет свою форму и даже может превращ. в левозакрученную спираль (т.наз. Z-форму), к-рая содержит в одном витке ок. 12 остатков нуклеотидов. При дегидратации В-формы образуется А-форма ДНК-правозакрученная двойная спираль, содержащая в одном витке ок. 11 остатков нуклеотидов, плоскости гетероциклич. оснований повернуты примерно на 20° относительно перпендикуляра к оси спирали. Двойная спираль ДНК способна денатурировать (напр., при повышении т-ры) с полным расхождением комплементарных цепей, к-рые сохраняют способность к ассоциации с восстановлением (рекатурацией) двойной спирали при возвращении к исходным условиям. Подробно изучены также кон-формации фрагментов ДНК.
Рис. 1. Двойная спираль ДНК (стрелками показано направление полинуклеотидной цепи). .
Установлено, чго молекула ДНК в клетке представляет собой совокупность генов, регуляторных участков (последовательностей, связывающихся с регуляторными белками и управляющих уровнем экспрессии генов), районов, участвующих в организации генов в хромосомах, а также последовательностей, ф-ции к-рых еще не известны.
У прокариот (бактерии и синезеленые водоросли) ДНК организована в виде компактного образования-н у к л е о и-д а, к-рый содержит всю хромосомную ДНК клетки длиной в неск. миллионов пар нуклеотидов (м.п.н.). Кроме того, у мн. прокариог и эукариот (все организмы, за исключением прокариот) обнаружены ьнехромосомные ДНК (т. наз. плаз-миды)размером от неск. тысяч пар нуклеотидов (т.п.н.) до неск. десятков т.п.н. (м.п.н. и т.п.н.-принятые единицы длины двухцепочечной молекулы Н.к.)-
Мн. ДНК образуют кольцевые структуры. В том случае, если обе полинуклеотидные цепи ДНК ковалентно непрерывны, ДНК может находиться в сверхспирализованной (сверхскрученной) форме (рис. 2). В клетках сверхспирализация осуществляется ферментами ДНК-гиразами (топоизомеразами II).
Хромосомные ДНК эукариот локализованы в клеточном ядре, где вместе с гистонами и негистоновыми белками образуют хроматин -ну-клеопротеид, из к-рого организованы хромосомы. Размеры ДНК в отдельных эукариотич. хромосомах колеблются в широких пределах-от 103 до 105 т.п.н.
Рис. 2. Сверхспирализация двухцепочечной кольцевой ДНК под действием ДНК-гиразы: 1 - кольцевая форма ДНК; 2 - сверхспирализованная форма ДНК.
Геномы мн. вирусов бактерий (бактериофагов), животных и в более редких случаях растений представлены ДНК. Такие клеточные органеллы, как митохондрии и хлоропласты, имеют также свою собственную ДНК размером от неск. десятков до неск. сотен т.п.н.
Биосинтез ДНК осуществляется в результате репликации-точного самокопирования (самовоспроизведения) путем синтеза новой молекулы ДНК на исходной ("материнской"), к-рая играет роль матрицы. Этот процесс осуществляется под действием фермента ДНК-полимеразы. Матрицей для синтеза ДНК может служить также однотяжевая (одноцепочечная) РНК, комплементарное копирование к-рой осуществляет фермент обратная транскриптаза.
Рибонуклеиновые кислоты. РНК, как правило, построены из одной полинуклеотидной цепи, характерный элемент вторичной структуры к-рой - "шпильки", перемежающиеся однотяжевыми участками (рис. 3). Шпилька - двутяжевая спиральная структура, образующаяся в результате комплементарного спаривания оснований (А с U и G с С). Шпильки и соединяющие их одно-тяжевые участки РНК укладываются в компактную третичную структуру. Для тРНК вторичная структура имеет характерную форму, к-рую наз. "клеверным листом". Известны редкие примеры целиком двухспиральных молекул РНК.
Двухспиральные гибридные комплексы (ДНК и РНК) м.б. искусственно получены из комплементарных однотя-жевых ДНК и РНК. Функциональноактивные РНК имеют размер от 70-150 до неск. тысяч нуклеотидных остатков. Биосинтез РНК (транскрипция)обычно происходит в результате комплементарного копирования ДНК-матрицы, к-рое осуществляет фермент РНК-полимераза.
Известно неск. типов РНК. Рибосомные рибонуклеиновые кислоты, связываясь с рибосомными белками, образуют рибосомы, в к-рых осуществляется синтез белка. Матричные рибонуклеиновые кислоты служат матрицами для синтеза белков (трансляции). тРНК осуществляют связывание соответствующей аминокислоты и ее перенос к рибосомам. Обнаружены т.наз. малые ядерные РНК, участвующие в превращ. первичных продуктов транскрипции в функционирующие молекулы; т.наз. антисмысловые РНК участвуют в регуляции биосинтеза белка и репликации плазмидных ДНК. В виде РНК представлены геномы мн. вирусов (РНК-содержащие вирусы), в к-рых матрицами для синтеза РНК служат вирусные РНК. Нек-рые РНК обладают ферментативной активностью, катализируя расщепление и образование фосфодиэфирных связей в своих собственных или др. молекулах РНК.
Определение первичной структуры (секвенирование) Н.к. Секвенирование Н.к. позволяет определить в одном эксперименте последовательность нуклеотидов в ДНК или РНК, содержащих неск. сотен мономерных звеньев. Методы основаны на общем принципе - определении с помощью высоко-разрешающего электрофореза в полиакриламидном геле с точностью до одного нуклеотида длины всех возможных фрагментов секвенируемого участка Н.к., содержащих на одном конце одну и ту же последовательность нуклеотидов (гомогенный фрагмент), а на другом-один и тот же нуклео-тид. Такие фрагменты получают двумя разл. способами. В первом случае (метод Максама-Гилберта) гомогенный фрагмент ДНК или РНК, предварительно меченный радиоактивной меткой по одному из концов, расщепляют хим. агентами, специфичными к одному из четырех нуклеотидных остатков (A, G, С, Т или U); в случае РНК этот процесс осуществляют также специфич. рибонуклеазами. Расщепление ведут в таких ограничивающих условиях, когда в каждой молекуле Н.к. расщепляется только одна меж-нуклеотидная связь рядом с нуклеотидом данного типа, независимо от его положения в цепи. Такую операцию проводят для каждого из четырех нуклеотидных остатков и по длинам образующихся радиоактивных фрагментов определяют положение каждого нуклеотида в цепи Н.к.
В др. случае (м е т о д С е н г е р а) используют олиго- или полинуклеотидную затравку (праймер) известной длины, коплементарную определенному участку Н.к. Затравку наращивают с помощью ДНК-полимеразы, останавливая синтез на одном из четырех типов нуклеотидных остатков с равной вероятностью, независимо от его положения в цепи. Для этого к смеси четырех прир. субстратов ДНК-полимеразы добавляют т.наз. терминатор (обычно 2', 3'-ди-дезоксинуклеозидтрифосфат) - аналог определяемого нукле-отидного остатка, попадание к-рого на 3'-конец растущей цепи останавливает синтез. При этом радиоактивная метка вводится либо в затравку, либо в субстрат. Операцию повторяют для каждого из четырех нуклеотидов; длину образующихся радиоактивных фрагментов определяют стандартным способом. Эти методы в настоящее время удалось полностью автоматизировать (заменив в ряде случаев радиоактивную метку на флуоресцентную) и тем самым в тысячи раз повысить скорость секвенирования ДНК.
Получение Н.к. В клетках Н.к. связаны с белками, образуя нуклеопротеиды. Выделение Н.к. сводится преим. к очистке их от белков. Для этого препараты, содержащие Н.к., обрабатывают ПАВ и экстрагируют белки фенолом. Послед, очистка и фракционирование Н.к. проводятся с помощью ультрацентрифугирования, разл. видов жидкостной хрома-тографии и гель-электрофореза. Для получения индивидуальных Н.к. обычно используют разл. варианты последнего метода.
Совр. методы хим. синтеза Н.к. позволяют получать крупные фрагменты ДНК, в т.ч. целые гены. Методич. основы хим.-ферментативных методов синтеза ДНК разработаны X. Кораной. Они включают: 1) хим. синтез комплементарных, взаимоперекрывающихся олигонукле-отидов, из к-рых затем в результате комплементационных взаимод. выстраиваются дуплексы - фрагменты молекулы синтезируемой ДНК с несовпадающими разрывами в обеих цепях; 2) соединение (лигирование) таких олигонуклеотидов в составе дуплекса с помощью фермента Т4 ДНК-лигазы. Сборку протяженных ДНК из синтетич. однотяжевых олигонуклеотидов проводят в неск. этапов (рис. 4). Сначала (а) собирают небольшие дуплексы с "липкими" концами (одно-тяжевыми комплементарными участками), из к-рых затем последовательно (б, в и т. д.) формируют более протяженные структуры. Т. обр. могут быть получены искусств. фрагменты ДНК большой длины и с любой нуклеотидной последовательностью. С помощью генетич. инженерии возможно клонирование (получение в индивидуальном виде и размножение) искусств. ДНК.
Характеристики
Тип файла документ
Документы такого типа открываются такими программами, как Microsoft Office Word на компьютерах Windows, Apple Pages на компьютерах Mac, Open Office - бесплатная альтернатива на различных платформах, в том числе Linux. Наиболее простым и современным решением будут Google документы, так как открываются онлайн без скачивания прямо в браузере на любой платформе. Существуют российские качественные аналоги, например от Яндекса.
Будьте внимательны на мобильных устройствах, так как там используются упрощённый функционал даже в официальном приложении от Microsoft, поэтому для просмотра скачивайте PDF-версию. А если нужно редактировать файл, то используйте оригинальный файл.
Файлы такого типа обычно разбиты на страницы, а текст может быть форматированным (жирный, курсив, выбор шрифта, таблицы и т.п.), а также в него можно добавлять изображения. Формат идеально подходит для рефератов, докладов и РПЗ курсовых проектов, которые необходимо распечатать. Кстати перед печатью также сохраняйте файл в PDF, так как принтер может начудить со шрифтами.
















