Изучение кинетики сушки (1093606)
Текст из файла
ИЗУЧЕНИЕ КИНЕТИКИ СУШКИ
1. ОБЩИЕ ПОЛОЖЕНИЯ
Сушкой называют процесс удаления влаги из твердых влажных материалов путем ее испарения и отвода образовавшихся паров.
Так как целью сушки является перенос массы влаги из твердой фазы в газовую, ее относят к классу массообменных процессов. Однако необходимо учитывать, что в процессе сушки осуществляется взаимосвязанный перенос тепла и массы.
Сушку широко применяют в химической и смежных с ней отраслях промышленности.
Основными способами сушки являются кондуктивный, конвективный и радиационный. Аппараты для проведения сушки называют сушилками.
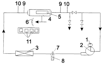
Объектом изучения в данной работе является конвективная сушилка. Высушивание материала в конвективных сушилках осуществляют при непосредственном соприкосновении нагретого сушильного агента (в данной работе воздуха) с поверхностью влажного материала. При контакте влажного материала с воздухом за счет разности парциальных давлений паров влаги
на поверхности материала и в потоке воздуха происходит испарение влаги.
2.ЭЛЕМЕНТЫ ТЕОРИИ
2.1. Основные определения.
Под кинетикой процесса сушки обычно понимают изменения средних по объему высушиваемого тела влагосодержания c и температуры t с течением времени τ. Влагосодержанием материала называют концентрацию влаги в материале, выраженную в кг влаги/кг абсолютно сухого материала. Наряду с термином «влагосодержание», существует термин «влажность». Влажностью называют концентрацию влаги, выраженную в кг влаги/кг влажного материала.
Изменение среднеобъемного влагосодержания материала во времени c=f1(τ) графически изображают кривой (рис. 1), называемой кривой сушки.
Рис. 1. К кинетике процесса сушки:
1 - кривая сушки c=f1(τ) ; 2 - кривая изменения температуры материала t=f2(τ); 3 - кривая скорости сушки dw/Fdτ= f3(τ);
В общем случае кривая сушки состоит из нескольких участков, соответствующих различным ее периодам. В начале сушки происходит прогрев материала до температуры мокрого термометра и небольшое уменьшение влагосодержания (участок АВ). Это период прогрева материала.
Затем в период постоянной скорости сушки влагосодержание материала уменьшается по линейному закону (участок ВС), при этом температура материала в большинстве случаев остается постоянной, равной температуре мокрого термометра tмт, которая соответствует температуре испарившейся жидкости. На заключительном этапе в период падающей скорости сушки влагосодержание материала изменяется по кривой CDE, приближающейся к равновесному значению сp=const. Достижение равновесной влажности означает установление динамического равновесия, когда скорости испарения и конденсации влаги равны. Температура материала в период падающей скорости сушки выше температуры мокрого термометра и, возрастая, при достижении равновесного влагосодержания с становится равной температуре воздуха tc.. Пусть за время dτ площади поверхности фазового контакта F испарилась масса влаги dW. Тогда понятие скорости сушки можно сформулировать следующим образом:
В ряде литературных источников по теории сушки величину dW/Fdτ называют интенсивностью сушки, а под скоростью сушки N понимают изменение влагосодержания материала в единицу времени dc/dτ.
Между величинами dW/Fdτ и dc/dτ существует взаимосвязь:
где V- объем тела, м3;
ρо - кажущаяся плотность тела, кг/м3.
Степень отклонения системы «влажное твердое тело - газ» от состояния равновесия характеризуется движущей силой. Существуют различные способы представления текущей движущей силы процесса сушки. Можно выразить ее через разность парциальных давлений паров удаляемой влаги в пограничном слое у поверхности материала (рп) и в потоке газа (рс)
Δр=рп-рс. (2)
В период постоянной скорости сушки парциальное давление паров влаги рп у поверхности материала равно давлению насыщенного пара влаги при температуре поверхности материала pнас.
В период падающей скорости рп≠pнас, а расчет рп становится затруднительным. Поэтому в этот период обычно используют другой способ представления движущей силы, выражая ее через текущее с (рабочее) и равновесное сp влагосодержание материала
Δс=с-сp.
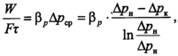
Для расчета основных размеров химико-технологических аппаратов применяют уравнение массопередачи в интегральной форме, т.е в форме, содержащей не дифференциалы, а конечные величины. В таком уравнении фигурирует не текущая, а средняя движущая сила массообменного процесса (Δpср, Δсср и т.п.). Необходимость введения в уравнение средней движущей силы вызвана тем, что в ходе процесса текущая движущая сила по длине аппарата меняется. При определенных условиях среднюю движущую силу массообменного процесса можно определить как среднюю логарифмическую
где Δрн, и Δрк - текущие движущие силы соответственно на входе и выходе из аппарата.
С учетом зависимости (3) основное уравнение массопередачи в интегральной форме имеет вид
Mτ=kΔpсрF, (4)
где Mτ - масса вещества, переносимая в единицу времени из одной фазы в другую;
F - площадь поверхности контакта фаз;
k - коэффициент массопередачи (коэффициент скорости процесса) - величина, обратная суммарному диффузионному сопротивлению системы.
Удаление влаги из твердого материала при сушке осуществляют следующим образом. Из толщи влажного материала влага перемещается к его поверхности (поверхности раздела фаз) за счет массопроводности. От поверхности раздела фаз влага перемещается в ядро газового потока за счет массоотдачи. Таким образом, перенос влаги из твердой фазы в газовую сопровождается преодолением двух диффузионных сопротивлений: внутридиффузионного, т.е. сопротивления перемещению влаги в твердой фазе и внешнедиффузионного, т.е. сопротивления перемещению влаги в газовой фазе.
2.2. Кинетика сушки в период постоянной скорости сушки.
Скорость сушки не зависит от влагосодержания материала в период постоянной скорости. В этот период происходит испарение свободной влаги с поверхности слоев материала. Оно аналогично испарению со свободной поверхности слоев материала. Диффузионное сопротивление продвижению влаги внутри влажного материала практически не влияет на процесс сушки в данном периоде, так как оно намного меньше диффузионного сопротивления. Следовательно, можно считать, что
k=βp, (5)
где βp - коэффициент массоотдачи в газовой фазе; скорость сушки в данном периоде лимитируется только сопротивлением массоотдаче паров влаги в газовой фазе.
Постоянство скорости обусловлено неизменностью со временем внешнедиффузионного сопротивления. Вследствие постоянства скорости
Из уравнений (3)-(6) следует, что в период постоянной скорости сушки основное уравнение массопередачи имеет вид
где Δр=(Pнас-Рс)н - движущая сила сушки на входе в сушилку, равная разности парциальных давлений пара влаги у поверхности материала и в газовом потоке, которые соответствуют входному сечению;
Δрk=(Pнас-Рс)k - движущая сила сушки на выходе из сечения. Рн≠pк так как в процессе сушки по длине аппарата изменяются как параметры сушильного агента (газа), так и соответствующие им параметры насыщения. Величины Δрн и Δрк можно определить по диаграмме состояния влажного газа (диаграмма Н-Х), построив точки, характеризующие состояние влажного газа на входе в сушилку и на выходе из нее (рис. 2).
Уравнение (7) можно использовать для расчета продолжительности сушки в период постоянной скорости τ1.
2.3. Кинетика сушки в период падающей скорости сушки.
При достижении некоторого влагоеодержания материала, которое называют критическим скр (см. рис. 1), начинается период падающей скорости сушки. Падение скорости сушки обусловлено возрастанием внутридиффузионного сопротивления вследствие испарения влаги из толщи материала. В этот период скорость процесса сушки лимитируется сопротивлением массопроводности внутри влажного материала, а сопротивление массоотдаче паров влаги от поверхности раздела фаз в ядро газового потока не оказывает существенного влияния на процесс сушки. В период падающей скорости в основном удаляется связанная с материалом влага.
Рис. 2. К графическому определению движущей силы:
А0 - точка, характеризующая состояние атмосферного воздуха;
ан - точка, характеризующая состояние воздуха на входе в сушилку;
Ак - точка, характеризующая состояние воздуха на выходе из сушилки
Кинетику этого процесса можно описать уравнением А.ВЛыкова
которое представляет собой линейную аппроксимацию кривых dW/Fdτ=f4(c).
Здесь с и сp - текущее и равновесное влагосодержание материала. Уравнение (8) является весьма приближенным, так как при скр< с < сp скорость сушки не у всех материалов линейно зависит от влажности.
На основании уравнения материального баланса влаги
dW=-Gc-dc, (9)
где Gc - масса абсолютно сухого материала.
Подставляя уравнение (9) в (8) и интегрируя выражение (8) в пределах от с’кр (рис. 3) до скон (конечное влагосодержание) при F=const и k=const, находят продолжительность периода падающей скорости τ2
Величину с’кр называют приведенным критическим влагосодержанием. Она определяется путем аппроксимации кривой dW/Fdτ=f4(c) (рис. 3) прямой в период падающей скорости.
Рис. 3. Зависимость скорости сушки от влагосодержания материала
Характеристики
Тип файла документ
Документы такого типа открываются такими программами, как Microsoft Office Word на компьютерах Windows, Apple Pages на компьютерах Mac, Open Office - бесплатная альтернатива на различных платформах, в том числе Linux. Наиболее простым и современным решением будут Google документы, так как открываются онлайн без скачивания прямо в браузере на любой платформе. Существуют российские качественные аналоги, например от Яндекса.
Будьте внимательны на мобильных устройствах, так как там используются упрощённый функционал даже в официальном приложении от Microsoft, поэтому для просмотра скачивайте PDF-версию. А если нужно редактировать файл, то используйте оригинальный файл.
Файлы такого типа обычно разбиты на страницы, а текст может быть форматированным (жирный, курсив, выбор шрифта, таблицы и т.п.), а также в него можно добавлять изображения. Формат идеально подходит для рефератов, докладов и РПЗ курсовых проектов, которые необходимо распечатать. Кстати перед печатью также сохраняйте файл в PDF, так как принтер может начудить со шрифтами.
















