ЛР №3 - Исследование процесса каталитического крекинга газойля (1093042)
Текст из файла
Московский Государственный Университет
Инженерной Экологии
Кафедра ОИЭ и ХТ
Группа Н-40
Студент
Дата работы
Лабораторная работа №3
Исследование процесса каталитического крекинга газойля
Таблица 3.4
Исходные данные и результаты исследования процесса каталитического крекинга
Таблица 3.5
Материальный баланс реактора каталитического крекинга
| Приход | Масса, г | % мас. | Расход | Масса, г | % мас. |
| 1. Газойль (mГ,0) | 100 | 1. Непрореагировавший газойль (mГ) | |||
| 2. Бензин в жидких продуктах (mБ') | |||||
| 3. Газовый бензин (mБ'') | |||||
| 4. Крекинг-газ* (mКГ) | |||||
| 5. Кокс и потери (mК) |
* При расчете массы крекинг-газа используют его среднюю молекулярную массу, равную 30.
Цель работы - нахождение кинетических характеристик процесса и определение на их основе оптимальных технологических показателей процесса каталитического крекинга.
Теоретические основы
Природная нефть является ценным сырьем для получения различных видов нефтепродуктов: топлив, смазочных масел, растворителей, полупродуктов для процессов нефтехимического синтеза, полимеров и т.п.
При производстве ряда важнейших продуктов и для повышения их качества в нефтеперерабатывающей промышленности широко используют каталитические процессы переработки, один из которых - каталитический крекинг.
В данном процессе целевым продуктом является высокооктановый бензин (октановое число примерно 90). Кроме того, получают углеводородный газ, имеющий в своем составе смеси пропан-пропилена, бутан-бетиленов и пентан-амиленов, содержание изомерных соединений в котором достигает 25-40 %. Это делает газы каталитического крекинга ценным сырьем для нефтехимического синтеза. Продуктами крекинга являются также легкий и тяжелый газойль.
В качестве сырья каталитического крекинга используют керосиногазойлевые фракции, вакуумный газойль прямой гонки и др. Процесс каталитического крекинга проводят в паровой фазе при 720-800 К (450-530 °С) под давлением не выше 0,15 МПа в присутствии алюмосиликатного цеолитсодержащего катализатора. Кристаллические алюмосиликаты с добавками синтетических цеолитов (до 20 %) имеют высокую механическую прочность, устойчивы к истиранию, термостойки и обеспечивают достаточно высокий выход бензина (до 45-50 %).
В настоящее время в промышленности применяют, в основном, два типа установок каталитического крекинга:
с плотным слоем циркулирующего шарикового катализатора;
с псевдоожиженным слоем циркулирующего микросферического катализатора.
Особенностью каталитического крекинга является быстрая дезактивация катализатора (через 10-15 мин его работы) за счет отложения углеродистых остатков и превращения их в кокс. Поэтому катализатор необходимо часто регенерировать путем выжигания воздухом кокса с поверхности катализатора.
Основой процесса крекинга служат реакции расщепления углеводородов по связям С-С, процессы дегидрирования, гидрирования, деалкилирования, алкилирования, изомеризации, полимеризации.
Различные классы углеводородов по своей склонности к химическим превращениям при каталитическом крекинге располагаются в ряд: алкены > арены с большим числом боковых цепей > циклоалкены > алканы.
Такая последовательность объясняется избирательностью адсорбции различных углеводородов на поверхности катализатора. В первую очередь на катализаторе адсорбируются ненасыщенные, богатые энергией соединения: диалкены, алкены, арены. Наименьшей адсорбционной способностью обладают алканы и поэтому скорость их превращения на несколько порядков ниже, чем скорость превращения алкенов и аренов. Селективная адсорбция обуславливает последовательный ход процесса, при котором углеводороды, сильно сорбируемые катализатором, тормозят расщепление слабо сорбируемых углеводородов.
Алкены, помимо реакций расщепления, вступают в реакции полимеризации, изомеризации, циклизации. У аренов при каталитическом крекинге, в основном, отщепляются боковые цепи, при этом в продуктах крекинга накапливается бензол.
С6Н5 - R = С6Н6 + R
Циклоалканы вступают в реакцию распада кольца с образованием алкенов, например,
С3Н9 - СН3 = С6Н12
С3Н10 = С2Н4 + С3Н6,
а также в реакции дегидрирования и деалкилирования, например,
С6Н11С3Н7 = С6Н6 + С3Н8 + 2Н2
Алканы расщепляются на алканы меньшей молекулярной массы, например,
С12Н26 = С6Н14 + С6Н12
Полученные углеводороды участвуют во вторичных реакциях изомеризации, циклизации, дегидрогенизации и алкилирования.
При крекинге газойля весь этот комплекс сложных параллельных и последовательных реакций в первом приближении (без учета вторичных взаимодействий) можно представить в виде двух последовательных реакций расщепления, каждая из которых является реакцией первого порядка
(3.9)
где Г - газойль (усредненная молекула углеводородов, входящих в состав газойля); Б - бензин (усредненная молекула углеводородов, входящих в состав бензина); КГ - крекинг-газ (усредненная молекула углеводородов, входящих в состав крекинг-газа); k1 - константа скорости реакции расщепления газойля; k2 - константа скорости реакции расщепления бензина.
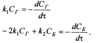
Система линейных кинетических уравнений крекинга газойля по принятой упрощенной схеме имеет вид:
WrГ = k1CГ (3.10)
WrБ = -2k1СГ + k2CБ (3.11)
WrКГ = -k1CГ - З,7k2CБ (3.12)
Крекинг газойля в лабораторных условиях можно провести в обогреваемом электропечью трубчатом реакторе с неподвижным слоем алюмосиликатного катализатора. Такой реактор можно рассматривать как стационарный изотермический реактор, близкий к идеальному вытеснению, в основе математического описания которого лежит одно или несколько уравнений материального баланса по участникам реакции
(3.13)
где τ - время пребывания реагентов в реакторе; cj - молярная концентрация компонента J (газойля, бензина или крекинг-газа); WrJ(CJ) - кинетическое уравнение реакции по
компоненту J.
Д
ля математического описания приведенной системы последовательных реакций (3.9), протекающих в реакторе идеального вытеснения, необходимо составить два уравнения материального баланса типа уравнений (3.13) по исходному реагенту (газойлю) и промежуточному продукту (бензину)
(3.14)
(3.15)
Эту систему дифференциальных уравнений можно решить при начальных условиях:
τ = 0; СГ = СГ,0; СБ = 0 (3.16)
Следует иметь в виду, что приведенная схема уравнений не учитывает изменения констант скоростей k1 и k2 в результате зауглероживания катализатора (в связи с чем падает его активность). Так как продолжительность лабораторного эксперимента относительно невелика, то этим явлением можно пренебречь.
Рис. 3.4. Зависимость концентраций исходного реагента газойля (1), промежуточного продукта - бензина (2) и конечного продукта - крекинг-газа (3) от среднего времени пребывания в реакторе τ.
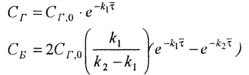
При решении уравнений (3.14) и (3.15) с начальными условиями (3.16) получаем зависимости концентраций газойля и бензина от среднего времени пребывания реагентов в реакторе
(3.17)
(3.18)
На рис. 3.4 представлены графики зависимостей СГ(τ), CБ(τ) и СКГ(τ). Из рисунка следует, что зависимость концентрации бензина от среднего времени пребывания в реакторе τ имеет максимум. Оптимальное среднее время пребывания τm, отвечающее максимальной концентрации бензина, можно определить, приравняв нулю производную dCБ/dτ. При этом получим
(3.19)
Концентрация бензина, соответствующая τm, будет максимальной
(3.20)
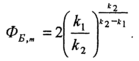
В случае, если бензин является целевым продуктом каталитического крекинга, то при организации промышленного производства следует стремиться к достижению высокого выхода этого продукта
(3.21)
где nБ, mБ и мб - соответственно число молей, масса и молекулярная масса бензина; nГ,0, тГ,0 и MГ – соответственно исходное количество молей, первоначальная масса и молекулярная масса газойля; ψ - нормировочный множитель, учитывающий стехиометрию реакции (для реакции крекинга газойля ψ = 2).
В соответствии с уравнениями (3.20) и (3.21) максимально возможный выход бензина может быть рассчитан по уравнению
(3.22)
Описание лабораторной установки
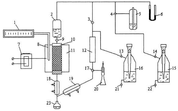
На рис. 3.5 представлена схема лабораторной установки. Каталитический крекинг газойля осуществляют на неподвижном слое катализатора в трубчатом кварцевом реакторе 10, помещенном в электропечь 11. Напряжение, подаваемое на обмотку печи, регулируют автотрансформатором 7.
Катализатор насыпают на слой кварцевой крошки. Сверху над катализатором имеется еще один слой кварцевой крошки, на поверхности которой происходит испарение газойля и перегрев до температуры реактора. Температура в реакторе измеряется термопарой 8 и регистрируется милливольтметром 1.
В процессе каталитического крекинга из газойля получают парогазовую смесь, содержащую крекинг-газ, пары бензина и непрореагировавшего газойля. Побочным продуктом каталитического крекинга является кокс, отлагающийся на поверхности катализатора и снижающий его активность.
Характеристики
Тип файла документ
Документы такого типа открываются такими программами, как Microsoft Office Word на компьютерах Windows, Apple Pages на компьютерах Mac, Open Office - бесплатная альтернатива на различных платформах, в том числе Linux. Наиболее простым и современным решением будут Google документы, так как открываются онлайн без скачивания прямо в браузере на любой платформе. Существуют российские качественные аналоги, например от Яндекса.
Будьте внимательны на мобильных устройствах, так как там используются упрощённый функционал даже в официальном приложении от Microsoft, поэтому для просмотра скачивайте PDF-версию. А если нужно редактировать файл, то используйте оригинальный файл.
Файлы такого типа обычно разбиты на страницы, а текст может быть форматированным (жирный, курсив, выбор шрифта, таблицы и т.п.), а также в него можно добавлять изображения. Формат идеально подходит для рефератов, докладов и РПЗ курсовых проектов, которые необходимо распечатать. Кстати перед печатью также сохраняйте файл в PDF, так как принтер может начудить со шрифтами.
















