ЛР №3 - Исследование процесса каталитического крекинга газойля (1093042), страница 2
Текст из файла (страница 2)
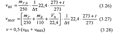
Рис. 3.5. Схема лабораторной установки для исследования крекинга газойля
Парогазовая смесь из нижней части реактора поступает в прямой 18 и обратный 19 холодильники, где конденсируются непрореагировавший газойль и бензин. Жидкие продукты отделяют от крекинг-газа в приемнике-сепараторе 23. Газовая смесь проходит через адсорбер 12, заполненный активированным углем для поглощения газового бензина, и поступает в газометр 16. Обводная линия соединяет через кран 3 адсорбер и делительную воронку 2. Предварительно взвешенный газойль заливают в определенном количестве в делительную воронку 2, снабженную краном 9, с помощью которого регулируется скорость подачи сырья в реактор. Во время эксперимента в установке с помощью крана 21 поддерживают постоянное избыточное давление, создаваемое выделившимися продуктами реакции и измеряемое манометром 6.
В результате крекинга на поверхности катализатора в адсорбированном состоянии остаются продукты реакции - углеводороды и кокс. Для восстановления активности катализатора проводят регенерацию путем продувки через него воздуха. Перед регенерацией горячий катализатор продувают инертным газом (азотом). Для этого азот из газометра 15 прокачивают через реактор 10 в газометр 16, открыв краны 14, 4, 9, 17, 13, 21 и закрыв кран 3. Напор в системе создается за счет перетекания воды из воронки газометра непосредственно в газометр 15 при открытом кране на воронке.
При регенерации воздух продувают через установку с помощью водоструйного вакуум-насоса 20. Трёхходовой кран 4 устанавливают в положение, при котором склянка 5 соединяется с мерной воронкой 2. Воздух проходит через реактор, холодильники 18 и 19, кран 17. При регенерации краны 3 и 14 должны быть закрыты.
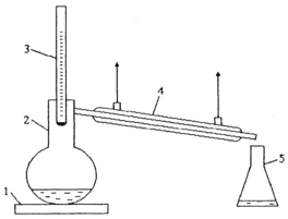
Полученные жидкие продукты в приемнике 1 подвергают перегонке с целью определения количества образовавшегося бензина. На рис. 3.6 представлена схема установки для перегонки жидких продуктов крекинга. Она состоит из колбы Вюрца 2, снабженной термометром 3, холодильника 4, приемника для бензина 5 и нагревательного элемента (электроплитки) 1.
Рис. 3.6. Схема установки для перегонки
Порядок проведения эксперимента
1. Включить электронагрев печи, установив на автотрансформаторе напряжение 150-200 В. По достижении заданной преподавателем температуры в реакторе уменьшить напряжение до 120 В.
2. Взвесить на технических весах мерный цилиндр с заданным преподавателем объёмом газойля, адсорбер с активированным углем и пустой приемник-сепаратор. Результата записать в табл. 3.4.
3. Перелить газойль из мерного цилиндра в делительную воронку, предварительно закрыв кран 9. После этого взвесить пустой мерный цилиндр и записать его массу в табл. 3.4.
4. Подсоединить к установке адсорбер и приемник-сепаратор.
5. Изолировать установку от окружающей среды, закрыв краны 3, 4 и 17. Для проверки установки на герметичность открыть кран 21 на газометре 16 и создать в системе разрежение приблизительно 150 мм вод. ст., регистрируемое манометром 6. Установку можно считать герметичной, если разрежение не изменяется в течение 1 минуты.
6. Поворотом крана 9 установить подачу жидкого газойля в реактор со скоростью приблизительно 1 капля в секунду. Начало эксперимента определяет падение первой капли газойля в реактор. Записать в табл. 3.4 время начала крекинга.
7. Одновременно с началом подачи газойля с помощью крана 21 газометра 16 установить в системе небольшое избыточное давление (примерно 10-20 мм вод.ст.).
8. На протяжении всего эксперимента поддерживать постоянные температуру в реакторе, скорость подачи в него газойля и величину избыточного давления в установке.
9. После попадания в реактор последней капли газойля дождаться момента времени, когда давление в газометре 16 не будет изменяться. Записать в табл. 3.4 время окончания крекинга и объем крекинг-газа, собранный в газометре.
10. Осуществить продувку реактора азотом. Для этого заполнить воронку газометра 15 водой (примерно 2 л), открыть краны 14, 4, 9, 17, 13, 21; создать в установке избыточное давление 50-100 мм вод. ст. Пропустить азот по системе трубопроводов из газометра 15 через реактор 10 в газометр 16.
11. Кран 3 должен быть закрыт. После перекачки примерно 1 л азота краны 14, 13 и 21 закрыть.
12. Отсоединить от установки приемник-сепаратор и адсорбер с активированным углем, взвесить их на технических весах и записать полученные значения масс в табл. 3.4.
13. Провести регенерацию катализатора. Для этого подсоединить пустой приемник-сепаратор. С помощью трёхходового крана 4 соединить установку с атмосферой через барботажную склянку 5. Закрыв краны 13 и 14, и открыв кран 9, подключить установку к вакуум-насосу 20. Если схема собрана правильно, то в склянке 5 начнется барботаж поступающего в установку воздуха.
14. Собрать установку для перегонки нефтепродуктов по схеме, представленной на рис. 3.6. Включить электронагреватель 1, подать охлаждающую воду в холодильник 4. 15. Взвесить пустую колбу Вюрца и пустой приемник для бензина.
16. Перелить в колбу Вюрца из приемника-сепаратора 23 (рис. 3.5) жидкие продукты крекинга, вновь взвесить колбу Вюрца.
17. Присоединить колбу Вюрца с жидкими продуктами крекинга к перегонной установке (рис. 3.6) и провести перегонку. Отобрать фракцию бензина с температурой кипения до 200 °С. Собранный бензин взвесить. Результаты взвешивания (см. п. 14-16) записать в табл. 3.4.
18. Жидкие продукты перегонки слить в емкости для отходов с притёртыми пробками.
Обработка экспериментальных данных
1. На основе полученных результатов эксперимента составить материальный баланс реактора и оформить его в виде табл. 3.5.
2. Определить степень превращения газойля
(3.23)
3. Рассчитать выход бензина по уравнению (3.21), которое с учетом молекулярных масс газойля (МГ = 250) и бензина (MБ = 110) примет вид
4. Определить среднее время пребывания парогазовой смеси в реакторе
(3.25)
где V' - объем парогазового пространства в реакторе, заполненном катализатором; vkt - объем катализатора;
ε - порозность слоя катализатора (её можно принять равной 0,4); ν - средний объемный расход парогазовой смеси в реакторе при температуре t процесса крекинга.
Средний объемный расход парогазовой смеси в реакторе при температуре t, в свою очередь, определяют как среднее арифметическое объемных расходов на входе и выходе из реактора
В уравнении (3.26) Δτ - продолжительность проведения эксперимента, ч; V0 - объем крекинг-газа, приведенный к нормальным условиям
где рБ - барометрическое давление, мм рт.ст.; p'' - парциальное давление насыщенного водяного пара при температуре tл в лаборатории, мм рт.ст.
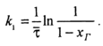
5. Рассчитать константу скорости k1 реакции крекинга газойля.
Если в уравнение (3.28) ввести степень превращения газойля, то его можно записать в следующем виде:
(3.29)
Из этого выражения можно найти константу скорости реакции крекинга газойля k1
(3.30)
6. Определить константу скорости k2 реакции крекинга бензина.
Используя формулы (3.18) и (3.21), получим уравнение, связывающее выход бензина и константы скоростей реакций крекинга газойля и бензина
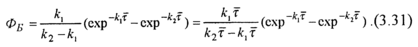
В этом уравнении одна неизвестная величина k2, так как выход бензина фб и константа скорости k1 определены по экспериментальным данным (см. п. 3 и 5). Уравнение (3.31) - трансцендентное уравнение с одной неизвестной величиной k2. Введем обозначение y = k2τ и преобразуем уравнение (3.31) следующим образом:
(3.32)
Решим уравнение (3.32) относительно у методом итераций. Для этого на первом этапе расчета принимаем произвольное значение параметра у, например, у = А = k1τ . Подстановка этого значения в правую часть уравнения (3.32) дает новое значение у. Если оно отличается от первоначально заданного, например
|y-A| > ε1, (3.33)
где ει - предварительно заданная ошибка расчета, то тогда примем, что значение у равно среднему арифметическому между предварительно заданным и полученным в результате расчетов, т.е. 0,5(у + А). Вычисления повторяют до тех пор, пока не будет выполнено условие \у - А\ < ει. После нахождения у = k2τ определяют k2 = y/τ .
Учитывая сравнительно большой объем вычислений, с которым связано использование описанного метода, целесообразно расчет провести с применением ЭВМ.
Рассчитать оптимальное среднее время пребывания в реакторе τm по уравнению (3.19).
7. Определить оптимальный выход бензина фб,m ,используя уравнения (3.20) и (3.21)
(3.34)
















