rts_lek (1087876), страница 6
Текст из файла (страница 6)
Системный подход к проектированию РТС заключается в выделении главной цели и подцелей; средств, для их достижения; критериев оценки результата. При системном подходе определяется взаимосвязь исполнителей, их подчиненность, назначение руководителей, ответственных исполнителей, сроки исполнения этапов работы, сетевой график. При разработке больших систем назначается генеральный конструктор, которому подчинены все исполнители.
1990 – межконтинентальные сети связи на ИСЗ и волоконных кабелях, сотовые телефоны, цифровое ТВ с высокой четкостью. (V поколение РТС; использование БИС, СБИС, функциональная микроэлектроника высокой интеграции, оптоэлектроника).
2000 - межконтинентальные многоканальные цифровые сети связи на ИСЗ и волоконных кабелях с высокой информационно-пропускной способностью, сотовые телефоны с видео изображением, цифровое ТВ с высокой четкостью, широкое использование навигационных спутниковых систем. (VI поколение РТС; широкое использование цифровых БИС, СБИС, функциональной микроэлектроники высокой интеграции, оптоэлектроники).
Таблица 3.1. Развитие конструкций и технологий производства
| Этапы, годы | Вид прибора | Число активных элементов | Радиооборудование самолета |
| 1940 | Радиоприемник | 5 ламп | 20-40 ламп |
| 1960 | РП и TV-черно-белое | 50 ламп | |
| 1970 | РП переносные и TV- цветные | 500 транзисторов | 1500 транзисторов |
| 1980 | Микрокалькулятор | 10.000 транзист. в ИС и БИС | |
| 2000 | Персональная ЭВМ | 5 радиокомп-лексов и до 4 ПЭВМ |
3.5.2. Подготовка специалистов
В 1889 –90 гг. Попов А.С. организовал малые офицерские классы.
В 1921 – 40 гг. Московский институт инженеров связи (теперь МЭИС) готовил инженеров – радиотехников.
В связи с развитием радиотехнической промышленности и необходимостью обслуживания и ремонта радиотехнической аппаратуры в 1940г. начали готовить инженеров –радио-техников в многих городах , в частности, радиотехнические факультеты МЭИ, МАИ, МИРЭА, МИЭМ в Москве, институты в Ленинграде, Горьком и других городах.
3.5.3. Радиопромышленность
Начало отечественной радиопромышленности началось с создания в 1920 г. первой широковещательной радиостанции и выпуска первых бытовых радиоприемников. В 1926 Московский электроламповый радиозавод (МЭЛЗ) начал выпуск радиоламп. Это привело к возможности создания радиопромышленности, радиовещания, военной радиосвязи, радионавигации. В 1941-45 гг. сильно развивалась радиопромышленность для военных целей. В 1945 начато серийное производство радиолокационных станций. В 1949 начато телевизионное вещание и серийное производство телевизоров. В СССР с 1957 по 1990 г. радиопромышленность развивалась в рамках Мин. Радиопром, Мин. Электронной промышленности (элементная база и электронные вычислительные устройства и системы), Мин.
Средств связи, Мин. Приборостроения. Сейчас радиотехническая промышленность развивается силами крупных научно-производственных предприятий и объединений.
Глава 4. Искажения сообщений в РТС,
Помехоустойчивость и оптимальный прием
4.1. Источники помех и их фильтрация
Сигнал на входе приемника РТС обычно слаб и сопоставим с уровнем помех. Поэтому необходима тщательная фильтрация (выделение сигнала и подавление помех).
Основные причины искажений радиосигналов:
-
действие помех
-
изменение условий распространения
-
неидеальность работы РЭА.
Пример: Искажения сигнала в приемнике при фазовой модуляции:
Где
- амплитуда сигнала на входе приемника,
- начальная фаза сигнала,
- сообщение, D – дальность от передающей РЛС. Слагаемое
представляет пространственную часть фазы
, так как
.
На выходе демодулятора (полосового фильтра) будет:
- изменение фазы, вызываемые случайными изменениями условий распространения,
- случайные отклонения фазы под действием помех,
- случайное отклонение фазы, вызываемое изменениями настройки фильтра.
Виды и источники помех
Виды помех:
Помехи разделяются на следующие виды:
- флюктуационные – непрерывные случайные,
- импульсные – случайный поток импульсов,
- узкополосные – квазигармонические,
- сигналы от других станций (РЛС) ,
Источниками помех могут быть тепловые, шумы РЭА, в том числе наводки другой аппаратуры, сигналы других РТС, помехи промышленных установок и транспорта, электромагнитные шумы в атмосфере, шумы космических источников радиоизлучения. В состав этих шумов входят случайные непрерывные и импульсные сигналы, а также узкополосные гармонические сигналы от других станций, имеющие флуктуационный характер из-за влияния условий распространения от источников сигналов и из-за особенностей их работы. Устройства, создающие организованные помехи. В этом случае помехи также могут быть как случайными, шумовыми сигналами, так и непрерывными гармоническими сигналами, модулированными флуктуационными шумами как естественного происхождения так и искусственными.
Таким образом помехи можно разделить на чисто случайные (шумы), которые описываются стационарным процессом и помехи детерминированные, промодулированные по амплитуде, фазе и частоте шумовыми сигналами различного вида.
Приведенные выше помехи делятся на аддитивные и мультипликативные.
Аддитивные помехи векторно складываются с сигналом и не зависят от амплитуды сигнала. С ними можно бороться путем увеличения мощности сигнала за счет увеличения мощности передатчика.
Мультипликативные помехи – зависят от самого сигнала (нелинейные эффекты при высокой мощности сигнала, интерференция при отражении от местных предметов и дисперсионное искажение сигнала). С ними можно бороться только путем уменьшения мощности сигнала (передатчика). Таким образом, мощность передатчика должна быть оптимальной, т.е., чтобы мультипликативные помехи не превышали аддитивных.
Фильтрация помех
На средних частотах (от 0.1 до 10 МГц), на которых работают усилители промежуточной частоты, фильтры выполняются в виде LC–контуров. Амплитудно-частотная характеристика такого фильтра имеет вид, представленный на рис.884.1. Он характеризуется двумя основными параметрами: центральная частота пропускания - ф0 и спектральная полоса пропускания - ф. Или, для частоты в Герцах, fф0 и fф .
Рис. 4.1. Амплитудно-частотная характеристика (АЧХ) фильтра
Флюктуационные помехи на выходе полосового фильтра имеют нормальное распределение
(так как АЧХ фильтра имеет колоколообразную форму). При этом дисперсия помехи
, где
- плотность мощности помехи (на выходе фильтра),
- полная энергетическая полоса пропускания фильтра.
Узкополосный флюктуационный шум можно рассматривать как квазигармоническое колебание со случайной амплитудой
, распределенной по закону Рэлея с фазой
по равновероятному закону с несущей
равной центральной частоте фильтра.
Распределение Рэлея — это распределение вероятностей случайной величины с плотностью
где
— параметр масштаба.
Соответствующая функция распределения вероятности имеет вид
Введено впервые в 1880 г. Джоном Уильямом Стреттом (лордом Рэлеем) в связи с задачей сложения гармонических колебаний со случайными фазами.
| Плотность вероятности |
|
Рис.4.2. Плотность вероятности распределения Рэлея
| Функция распределения |
| Математическое ожидание |
|
| Дисперсия |
|
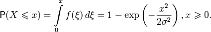
Рис.4.3. Функция распределения вероятности по закону Рэлея
Помеха на выходе фильтра будет следующей:
где
- функция распределения амплитуды помехи,
- функция распределения фазы помехи.
- среднее значение амплитуды помехи,
- дисперсия амплитуды помехи при
в области
ф0 1/2 ф0 .
Энергетический спектр помехи:
, где
Корреляционная функция помехи имеет вид:
Огибающая
корреляционной функции определяется АЧХ фильтра.
-
Искажение информации на выходе фильтра
На рис. 4.2, а показаны эпюры напряжений при прохождении помехи через фильтр, а на рис. 4.2, б частотные характеристики помехи и фильтра вместе со спектром помех на выходе фильтра и корреляционной функцией помехи на выходе фильтра.















