РАДИОТЕХНИЧЕСКИЕ СИСТЕМЫ ИЗВЛЕЧЕНИЯ, ОБРАБОТКИ И ПЕРЕДАЧИ ИНФОРМАЦИИ (1087875), страница 3
Текст из файла (страница 3)
2. Количество и характер Используемой информации
2.1. Количественная оценка информации
Информация передается в виде сообщений, выраженных в виде закодированных букв или цифр, [2]. Сообщение, предназначен-ное для передачи в удаленный пункт, называется сигналом. Сиг-налы могут быть электрическими, электромагнитными, звуковы-ми, ультразвуковыми, оптическими. Сигналы могут быть диск-ретные и непрерывные. На рис.2.5. изобразим сообщение, переданное дискретными сигналами. По оси абсцисс будем откладывать номера элементов сообщения, а по оси ординат – состояния элементов сообщения т.е. значение какого-нибудь параметра сообщения, например, амплитуды сигнала при амплитудно-импульсной модуляции (АИМ).
Назовем полное число состояний, которое может принимать какой-либо параметр, несущий информацию, «алфавитом», а отдельное состояние «буквой». Тогда определенный набор состояний – элементов сообщения –«букв» образует «слово» – сообщение.
На рис.2.6; а,б,в,г,д приведено одно сообщение, состоящее из трех элементов (n=3). Сообщение представлено импульсами с различной модуляцией. Каждый из трех элементов сообщения может принимать одно из шести значений. Состояния элементов
сообщения определяются различным образом при различной модуляции. Например, при амплитудно-импульсной модуляции (АИМ) рис.2.6,б состояние определяется величиной амплитуды. В случае широтно-импульсной модуляции (ШИМ) рис. 2.6,в изменяется длительность импульсов, при время-импульсной модуляции (ВИМ) рис.2.6,г изменяется задержка импульса относительно фиксированного момента времени, при кодово-импульсной модуляции (КИМ) 2.6,д изменяется комбинация импульсных посылок (сигналов).
Назовем полученные на рис.2.5,2.6 диаграммы диаграммами состояний элементов сообщения или просто диаграммами состояний.
Рис.2.5. Диаграмма состояний элементов сообщения
В приведенном примере сообщение – «слово» состоит из трех элементов «букв» , заданных с помощью алфавита из шести «букв» . В общем случае «слово» состоит из n символов, заданных
алфавитом из m «букв». (Аналогично в любом языке слово состоит из нескольких букв, которые входят в алфавит из нескольких десятков букв).
Количество различных сообщений - «слов» – L, которые можно составить из n элементов, принимающих любое из m
различных состояний «букв» равно числу
L= mn. (2.1)
Чем больше L, тем сильнее отличается каждое данное сообщение от остальных. Поэтому величина L при равновероятных состояниях сообщений может быть принята за меру количества информации, содержащегося в сообщении. Однако, более целесообразно за меру информации принять величину
I=logL. (2.2)
Действительно, если передается одно состояние, количество информации равно нулю (I=0) т.е. информация отсутствует. Этот
Рис.2.6. Представление сообщения сигналами с различными видами модуляции
результат можно получить и из формулы (2.2). Если передается сообщение из n элементов, принимающих любое из m различных состояний, то подставляя L= mn под логарифм, получим
I=n·logm. (2.3)
Количество информации из сообщений, полученных от различных источников, равно сумме информаций от этих источников. Действительно, число состояний от k различных источников равно общему числу возможных состояний
следовательно, количество информации
Используют понятие количества информации, приходящегося на один элемент сообщения, называемое энтропией сообщения
В качестве основания логорифма можно брать различные числа: 10, е или 2. В последнем случае количество информации измеряется в битах.
. Таким образом, бит есть единица информации (сообщение о сигнале 0 или 1).
Приходящие сообщения можно идентифицировать с определенной вероятностью. В двоичной системе всего два сигнала, появление которых равновероятно. При равной вероятности появления событий 0 и 1 имеем: Р(0) = Р(1) = 0,5.
На практике состояния элементов сообщений чаще всего имеют разную вероятность. Рассмотрим вопрос о количестве информации в этом случае.
Рассмотрим сообщения, состоящие из n элементов, каждый из которых является независимым и может принимать любое из
соответственно.
Пусть для некоторого одиночного сообщения число элементов, принявших состояние x1, равно n1, число элементов, принявших состояние x2 равно n2 и т.д. Такое) сообщение может быть представлено таблицей 2.1. Общее число элементов сообщения равно
Таблица 2.1
Вероятность для одного элемента принять состояния
равна отношению
= nk /n. Вероятность того, что nk элементов примут состояние
равна
. Выше мы получили
и вероятность всех m состояний сообщения равна
Полученная формула описывает среднюю вероятность одного сообщения. Следующее сообщение такого же типа (для той же системы и тех же параметров при наборе статистики) будет также описываться соотношением (2.9) и т.д. Объединяя все данные по всем однотипным сообщениям, и, сохраняя прежнее обозначение m для полного числа состояний, по формуле (2.9) получим среднюю вероятность одного сообщения. Поскольку полная вероятность всех сообщений равна единице, найдем, что число сообщений будет равно
Cледовательно, среднее количество информации в одном сообщении равно
, поделив это выражение на число элементов, получим выражение для средней энтропии сообщений
Оценим количество информации в одном бите, содержащееся в единичном сообщении о наступлении одного из -
- х событий
: Событие (0 или 1) обозначается
=p(0)log(1/p(0))+p(1)log(1/p(1))
или
При равновероятных событиях получаем 1 бит информации при одном событии.
Последовательная передача
событий даёт
, а
при
=1 имеем
(чем больше длина “ слова ”, тем больше элементов сообщения – «букв» - n).
2.2. Представление непрерывных функций в цифровом виде
Для оцифровки непрерывных сигналов проводят дискретизацию (квантование) т.е. составление дискретного массива значений функции в определенные моменты времени (рис.2.7). Отсчёты по времени берутся через интервалы, определяемые теоремой В.А.Котельникова [1]:
t=s=1/(2fsв) , (2.12)
где
- наибольшая частота спектра сообщений.
Иногда за s берут интервал корреляции случайного процесса.
Рис. 2.7. Выбор интервала дискретизации (квантования)
по времени
В общем случае можно оценить информацию одного значения радиосигнала S(t) как меру неопределённости его появления в определенном интервале значений:
,
где
- область возможных равновероятных значений S,
- дискрет - минимальный шаг изменения значений S.
Информация о реализации случайной функции S(t) за время t оценивается по формуле
I=n·logm,
где n=
, а m=
; следовательно, имеем
Скорость получения информации будет равна:
Большую информацию в жизни и радиотехнике несут звуковые (речевые и музыкальные) сигналы с частотами до 25 кГц. Еще большую информацию несёт телевизионный сигнал.
2.2.1. Описание цифровых сообщений
При цифровой передаче, сообщение выражается случайной последовательностью дискретных значений, отсчитываемых в дискретные моменты времени. Используются следующие обозначения:
m - число различных символов а (алфавит),
n - число символов в комбинации (кодовом слове), отображающей возможное количество дискретных значений
.
- длительность отображения сигнала,
- ширина спектра дискретного сигнала.
2.3. Вероятностное описание процесса сообщения
Непрерывное сообщение – функцию
можно описать многомерной плотностью распределения вероятности
Однако обычно для описания
достаточно одномерно-го распределения плотности вероятности
, которая харак-теризует отклонение значений функции от среднего.
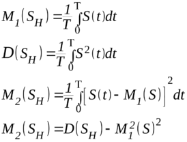
В радиотехнике используются сигналы с колебанием напряжения или тока около нулевого значения (среднее значение равно 0), которые называют стационарными, случайными процессами. Для их описания используют статистические характеристики, корреляционную и спектральную функции.
2.3.1. Статистические параметры и характеристики стационарного процесса
Обычно используют следующие усредненные параметры:
















