2.6.4. Конспект (1086613), страница 2
Текст из файла (страница 2)
Первичная сеть включает в себя комплекс работ, закрепляемый за данным ответственным исполнителем.
Частная сеть включает в себя комплекс работ, закрепляемый за данной конкретной организацией.
Комплексная сеть включает в себя весь комплекс работ по данному проекту, выполняемых всеми участвующими организациями.
Составление (или, как говорят, «сшивание») графиков идет снизу вверх. т.е. от ответственных исполнителей вплоть до сетевого графика, представляющего собой план работ по всей разработке в целом.
Определение времени выполнения работ в сетевом графике. Могут быть даны следующие оценки времени:
tmin - минимальная (оптимистическая) оценка - время, необходимое для выполнения работы при наиболее благоприятном стечении обстоятельств;
tmax - максимальная (пессимистическая) оценка - время, необходимое для выполнения работы при самых неблагоприятных обстоятельствах;
tн.в. - наиболее вероятная продолжительность работ - продолжительность, имеющая место при нормальных, чаще всего встречающихся условиях выполнения данной работы.
Методы определения ожидаемого времени выполнения работ (tож):
1) метод двух оценок:
tож = (3tmin + 2tmax)/5,
2 = 0,04(tmax - tmin)2;
2) метод трёх оценок:
tож = (tmin + 4tн.в+ tmax)/6,
2 = [(tmax - tmin)/6]2.
Анализ сетевого графика
Цель анализа - выявление возможностей сокращения сроков разработки в целом. Анализ сетевого графика позволяет оценить целесообразность структуры графика, загрузку исполнителей работ на всех этапах выполнения проекта, возможность смещения начала работ некритической зоны.
1. Определение коэффициента напряжённости. Коэффициент напряженности работы - это соотношение продолжительностей несовпадающих, заключенных между одними и теми же событиями отрезков путей, одним из которых является путь максимальной продолжительности, проходящий через данную работу, а другим - критический путь.
Kнij = [t(Lmax) - t′(Lкр)] / [t(Lкр) - t′(Lкр)],
где t(Lкр) - длина критического пути; t(Lmax) - протяженность максимального пути, проходящего через данную работу; t′(Lкр) - величина отрезка пути, совпадающего с критическим путем.
Коэффициент напряжённости характеризует напряжённость сроков выполнения работ. Его величина показывает, насколько свободно можно располагать имеющимися резервами. Чем больше коэффициент напряжённости, тем сложнее выполнить работу в установленный срок. И наоборот, чем меньше коэффициент напряженности, тем большими относительными резервами обладает данный путь в сети.
2. Расчет вероятности свершения события в заданный срок. На практике чаще всего пользуются методикой расчета вероятности свершения завершающего события в заданный срок (рк), основанного на учете работ критического пути.
Из статистики известно, что аргумент нормальной функции распределения вероятностей (функции Лапласа):
z = (Тд –Тк )/ б2tож.кр
И вероятность свершения завершающего события в заданный срок находится по z из таблицы функции Лапласа (см. приложение на с.11). Считается нормальным значение рк в пределах 0,35 рк
Основы оптимизации сетевого графика
Сетевые графики оптимизируют:
а) по срокам;
б) по используемым ресурсам;
в) по стоимости.
Прямая задача: при найденном критическом пути использовать резервы некритических работ и получить сеть с минимальными затратами на весь комплекс работ. Можно поставить и обратную задачу: за счет увеличения затрат на работы критического пути сократить сроки выполнения работ этого пути, а значит, и сроки выполнения всего комплекса работ.
Для выявления возможности сокращения времени разработки используют метод исследования ненапряженных путей. Этот метод может выполняться как без учета, так и с учетом влияния на стоимость разработки.
При определении стоимости учитываются используемые ресурсы. Этот метод получил название «время-затраты ». Он заключается в установлении зависимости между продолжительностью и стоимостью работ с целью их оптимизации.
Для построения графиков «время-затраты » для каждой работы даются:
-
нормальная оценка – минимально возможная величина денежных затрат Сmin на выполнение работы (при этих затратах работа может быть выполнена за максимальное время Тmax);
-
минимальная оценка - минимально возможное время выполнения работы Тmin; этому времени будут соответствовать повышенные размеры денежных затрат Сmax, на выполнение работы.
График с помощью аппроксимирующей прямой (рис.2.5) позволяет определить размеры увеличения расходов при необходимости сокращения срока выполнения работы, или при решении обратной задачи – увеличение времени выполнения работы, если необходимо затраты уменьшить. Искомая величина затрат ΔС, необходимых для выполнения работы в сокращенное время Тиск, равна:
ΔС = (Сmax - Сmin) (Tmax - Tиск)/(Тmax - Тmin), руб.
Рис.2.5. Линейная аппроксимация графика «время-затраты »
Используя линейный закон увеличения затрат при сокращении времени для каждого вида работ, можно вычислить коэффициент возрастания затрат Кs на единицу времени:
Кs = (Сmax - Сmin)/(Тmax - Тmin), руб/ед.времени.
Управление ходом работ с помощью сетевого графика
Управление ходом работ с помощью сетевого графика начинается после того, как исходный план утвержден, доведен до всех ответственных исполнителей и начинаются первые работы, опирающиеся на исходное событие. Заканчивается процесс управления ходом работ в момент свершения завершающего события.
Периодически повторяющиеся этапы оперативного управления включают:
-
Сбор промежуточных отчетов о ходе работ от ответственных исполнителей;
-
Обработку полученной информации и анализ изменений, внесенных ответственными исполнителями по сравнению с первоначальными оценками;
-
Подготовку решений и проверку их с помощью расчетов нового сетевого графика вручную или на ЭВМ с целью сведения к минимуму расхождений и оптимизации плана работ;
-
Принятие окончательных решений, перестройку исходного графика, разработку календарных план-графиков для ответственных исполнителей;
-
Выработку выходной информации и доведение ее до всех уровней руководства, в т.ч. до ответственных исполнителей.
Преимущества СПУ
1) Концентрация внимания руководства на решающих работах.
2) В любой момент руководство располагает исчерпывающей информацией.
3) Реализуется принцип непрерывности планирования хода работ и управления ими.
4) Система обеспечивает возможность рационального маневрирования выделенными для данной разработки ресурсами.
5) Устанавливается чёткая взаимосвязь между ответственными исполнителями отдельных работ.
Вопросы и задания для контроля и обсуждения
Задача 1. Объясните разницу между графиком Гантта и сетевой моделью.
Задача 2. Построить фрагмент сетевого графика при следующих условиях: работы 1 и 2 выполняются одновременно; для начала работы 3 необходимо знать результаты работ 1 и 2, а для начала работы 4 – только результат работы 2.
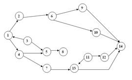
Задача 3. Найти ошибки построения и кодирования сетевого графика, приведенного на рис.1. Построить правильный график, если результаты работ 3-1, 5-8 и 11-12 не используются при выполнении последующих работ.
Рис.1. Сетевая модель к задаче 5
Задача 4. Определить tож, если tmin = 10, tmax = 30, tн.в = 17 дней. Определить tож, если tн.в - неизвестно.
Задача 5. Какая из двух оценок имеет большую неопределенность? Проверить это по показателю дисперсии, рассчитанному на основе оценок времени:
| tmin, дн. | tmax, дн. | tн.в, дн. | |
| Первая оценка | 10 | 30 | 17 |
| Вторая оценка | 5 | 28 | 15 |
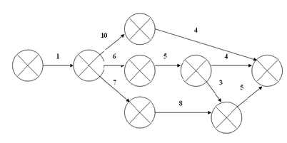
Задача 6. В сетевом графике пронумеровать события (методом вычеркивания дуг), рассчитать его параметры (графическим способом).
Рис.2. Сетевой график комплекса работ
Задача 7. Компания с ограниченной ответственностью «МР» разрабатывает проект небольшого масштаба. Основные операции проекта, непосредственно предшествующие им операции и время их выполнения приведены в табл.1.
Таблица 1. Исходные данные
| Операция | Непосредственно предшествующая операция | Продолжительность, недель |
| А Б В Г Д Е Ж | - - А, Б Б В Г Д, Е | 4 6 7 3 4 5 3 |
Требуется: (1) дать иллюстрацию проекта с помощью сетевого графика; (2) определить общую продолжительность выполнения проекта; (3) определить влияние на ход выполнения проекта задержки операции Г на четыре недели.
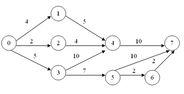
Задача 10. Определить коэффициенты напряженности работ 1-4, 2-4 и 3-5 на сетевом графике, изображенном на рис.3. Рассчитать параметры сетевого графика табличным способом.
Рис.3. Сетевой график комплекса работ
Задача 8. Среднее квадратическое отклонение по работам критического пути составляет ±1. Директивный срок Тд свершения завершающего события равен 30 дням, а по сетевому графику – 25 дням. Определить, на сколько дней можно сократить Тд, чтобы быть уверенным в свершении завершающего события с вероятностью 97%.















