НИО_теор_игр (1085442)
Текст из файла
3.4.3. Подход к оценке результативности НИО с позиции теории игр
Исходя из определения НИО (см. п. 3.1.) и вероятностного характера результатов информационных операций, целесообразно рассмотреть результативность НИО с позиции теории игр, как “теории математических моделей принятия решений в условиях неопределённости, когда принимающий решение субъект (“игрок”) располагает информацией лишь о множестве возможных ситуаций, в одной из которых он в действительности находится, о множестве решений (“стратегий”), которые он может принять, и о количественной мере того “выигрыша”, который он мог бы получить, выбрав в данной ситуации данную стратегию” [14].
Пример 3. “Игра дискретного поиска” (стеганографическая атака).
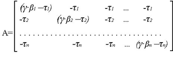
Пусть имеется звуковой файл размера n. Игрок 2 прячет информацию методами компьютерной стеганографии в одном из n байт исходного файла, а игрок 1 хочет её найти.
При проверке i-ого байта игрок 1 тратит τi>0 усилий (времени, ресурсных мощностей и т.п.), при этом вероятность обнаружения сокрытой информации в i-ом байте равна 0<βi
1, где i=1, 2,..n. Если установлено, что данный байт использовался для сокрытия информации, то игрок 1 получает “доход” (преимущество) γ.
Стратегиями игроков является выбор номеров байт, в которых прячется (ищется) информация. Таким образом, задача поиска (стеганографической атаки) сводится к матричной игре [13] с матрицей выигрышей:
####
Для такого метода информационного воздействия, как стеганографическая атака (являющаяся разновидностью CNA), применение теории матричных игр предоставляет, по всей видимости, наилучшие возможности для оценки результативности проведения НИО. Подобного же мнения придерживаются, как отечественные, например: д.т.н., профессор Сидельников В.М. (см. п.п. 5.2.-5.4. отчёта), так и зарубежные авторы, например: сотрудник Лос-Аламосовской лаборатории Марк Эттинжер [15].
Подобным образом (на основе метода антогонистических матричных игр) можно найти оптимальное решение (соответственно, получить максимально возможную результативность при имеющихся условиях) задачи проведения радиоэлектронной борьбы (РЭБ).
Пример 4. Поиск “шумного” объекта (РЭБ).
Объект НИО: игрок 2 (“шумный” объект).
Субъект НИО: игрок 1 (подразделение РЭБ).
Цель НИО: обнаружение “шумного” объекта.
Анализ ситуации: игрок 1 ведёт поиск подвижного “шумного” объекта (игрок 2) с целью его обнаружения. Игрок 2 преследует противоположную цель (т.е. стремится уклониться от обнаружения). Игрок 1 может двигаться со скоростями α1, α2 и α3, а игрок 2 – соответственно со скоростями β1, β2 и β3. Дальность действия средства обнаружения игрока 1 в зависимости от скоростей движения участников игры может быть представлена матрицей D= δij .
Стратегиями игроков являются скорости движения, а в качестве выигрыша игрока 1 в ситуации (αi, βi) примем производительность поиска αij=αiδij, i=1,..3, где δij – элемент матрицы D. Тогда задача выбора скоростей игроков при поиске-уклонении может быть представлена матричной игрой с матрицей А= αij .
####
Предпринятый анализ позволяет сделать вывод о сложной зависимости между результативностью проведения НИО и целым рядом факторов, основными из которых являются:
-
критерии оценки результативности;
-
условия проведения НИО;
-
использование конкретных методов информационного воздействия; и др.
Выбор математического аппарата (будь то теория исследования операций, теория рисков или теория игр) для определения результативности НИО зависит от использования конкретного метода информационного воздействия. При этом, в некоторых случаях об адекватности тех или иных подходов к оценке результативности НИО можно говорить с определённой уверенностью уже сейчас (см. п.п. 3.4.1.-3.4.3.). Однако, установление оптимального соответствия между множеством всех существующих методов информационных воздействий (см. п. 3.4.2.) и множеством возможных способов оценки результативности этих воздействий требует проведения дальнейших исследований в данной предметной области на систематической основе.
Следует отметить, что при данном подходе не используются специфические особенности наступательных информационных операций. Более того, данный подход может быть применен для оценки результативности (или эффективности) любых информационных операций, что позволяет, при соответствующем выборе единых критериев оценки результативности всех применяемых ИО, говорить о возможности получения числовых характеристик значений эффективности, например, для оценки анализируемых стратегий информационного противоборства.
Относительно оценки результативности ИО можно сделать следующие основные выводы:
1. Результативность является комплексной оценкой проведения ИО.
2. Значение результативности всегда может быть выражено в количественном (числовом) виде.
3. Значение результативности напрямую зависит от выбора критериев её оценки.
4. На изменение (увеличение/уменьшение) результативности влияет:
-
всесторонний анализ условий проведения ИО;
-
оценка и управление имеющимися рисками;
-
оптимальность принимаемых при проведении ИО решений;
-
обеспечение при проведении ИО адекватной политики безопасности (см.п.3.3.5.).
5. Оценка результативности ИО может быть проведена на основе применения аппарата теории исследования операций, теории рисков и теории игр.
Характеристики
Тип файла документ
Документы такого типа открываются такими программами, как Microsoft Office Word на компьютерах Windows, Apple Pages на компьютерах Mac, Open Office - бесплатная альтернатива на различных платформах, в том числе Linux. Наиболее простым и современным решением будут Google документы, так как открываются онлайн без скачивания прямо в браузере на любой платформе. Существуют российские качественные аналоги, например от Яндекса.
Будьте внимательны на мобильных устройствах, так как там используются упрощённый функционал даже в официальном приложении от Microsoft, поэтому для просмотра скачивайте PDF-версию. А если нужно редактировать файл, то используйте оригинальный файл.
Файлы такого типа обычно разбиты на страницы, а текст может быть форматированным (жирный, курсив, выбор шрифта, таблицы и т.п.), а также в него можно добавлять изображения. Формат идеально подходит для рефератов, докладов и РПЗ курсовых проектов, которые необходимо распечатать. Кстати перед печатью также сохраняйте файл в PDF, так как принтер может начудить со шрифтами.
















