Тема 1 (1085180), страница 2
Текст из файла (страница 2)
5) измеряемые координаты РЭС: дальность D, азимут
и угол места
;
6) измеряемые параметры сигналов –
, TП,
, Tпач,
,
, nи и др.;
7) методы и точность измерения параметров.
-
Геометрические величины, определяющие местоположение источника ЭМИ.
Одна из основных задач РТР – пеленгация источников ЭМИ, дающая информацию об их положении (координатах) на плоскости или в пространстве. Наличие этих данных позволяет решать задачи по РЭП излучающих РЭС.
Определение местоположения источника ЭМИ осуществляется путем измерения однозначно соответствующих ему геометрических величин. Такими величинами могут быть: угол (направление), дальности (разность дальностей). Значения этих геометрических величин определяют линии положения на плоскости и поверхности положения в пространстве.
Линия (поверхность) положения есть геометрическое место точек, характеризующееся постоянным значением какого-либо геометрического параметра.
Если измеряемая величина – пеленг (угол между заданным* направлением и направлением на источник ЭМИ), то линией положения будет прямая, проходящая через точки О (наблюдения, рис. 1) и И (источник ЭМИ), а поверхностью положения – плоскость, проходящая через эту прямую нормально плоскости XOY (*заданным может быть направление географического или магнитного меридиана, продольная ось самолета).
Рис. 1
Если измеряемая величина есть разность дальностей D1, D2 от двух точек наблюдения О1 и О2 до источника ЭМИ (рис. 2), то линия положения – гипербола, а поверхность положения – гиперболоид вращения.
Рис. 2
Линии и поверхности положения определяют бесконечное множество возможных положений источника ЭМИ. Для исключения неоднозначности необходимо знать минимум две линии положения на плоскости или три поверхности положения в пространстве.
Измерение геометрических параметров положения источников ЭМИ базируется на закономерностях распространения электромагнитных волн, движущихся прямолинейно и равномерно в свободном пространстве и в однородных средах.
Различают угломерные и разностно-дальномерные измерители положения источников ЭМИ.
Угломерные измерители – пеленгаторы используют амплитудные или фазовые методы измерения и могут быть поисковыми и беспоисковыми. Пеленгатор состоит из антенны, приемника и измерителя (индикатора).
-
Поисковые способы определения направления на источник ЭМИ.
Поисковые способы основаны на последовательном обзоре пространства вращающейся антенной пеленгатора. Применяются амплитудный или фазовый методы пеленгации.
Амплитудный метод основан на анализе амплитудного распределения поля, создаваемого пеленгуемым сигналом, на раскрыве приемной антенны (уровень сигнала имеет экстремум, когда раскрыв антенны параллелен фронту падающей волны). При амплитудном методе информация о моменте отсчета пеленга содержится в амплитуде принимаемых сигналов, а значение пеленга определяется угловым положением антенны. Различают амплитудные методы максимума, минимума и сравнения.
Амплитудный метод максимума – пеленг источника излучения определяется при максимальной амплитуде принятых сигналов. При изменении положения (угла jА) антенны с узкой ДНА F(j) амплитуда принятых сигналов источника (И) будет повторять форму ДНА и станет максимальной, когда РЭС находится в направлении максимума приема (jА=jИ, j =0, рис. 3).
Рис. 3
Достоинства метода – простота и большая дальность действия (отсчет пеленга происходит при максимуме принимаемого сигнала). Недостаток – относительно низкая точность, обусловленная малой крутизной ДНА в районе ее максимума (низкая пеленгационная чувствительность). Ошибка измерения пеленга в таких системах может достигать 20% от j0.5 (ширина ДНА на уровне 0,5 по мощности).
Этот метод применяется в разведывательных устройствах сантиметрового и дециметрового диапазонов длин волн, для которых относительно просто реализовать антенны с узкими ДНА.
Амплитудный метод минимума предполагает применение антенны с ДНА, имеющей ярко выраженный провал (минимум приема) (рис. 4). В этом случае пеленг измеряется в момент, когда амплитуда принимаемого сигнала становится минимальной (РЭС находится в направлении минимума приема jА=jИ, j =0).
Достоинство метода – более высокая, по сравнению с методом максимума, точность измерения пеленга за счет большей крутизны ДНА в районе минимума, а недостаток – небольшая дальность действия (отсчет пеленга производится при минимуме принимаемого сигнала). Метод минимума применяется в диапазоне метровых и более длинных волн.
Структурная схема амплитудного пеленгатора, реализующего метод максимума (минимума) показана на рис. 5. Привод антенны связан с индикатором, в котором линия развертки перемещается синхронно с вращением антенны, образуя координатную шкалу. В момент нахождения РЭС в луче ДНА на экране индикатора формируется отметка в виде колокольного импульса или светящейся душки. Отсчет угла пеленга осуществляется оператором визуально по отклонению центра отметки от начала шкалы (при автоматическом съеме данных шкала представляет последовательность масштабных импульсов напряжения (меток), временной интервал между которыми соответствует определенному углу поворота антенны).
Рис. 4
Рис. 5
Амплитудный метод сравнения реализуется при использовании антенны, имеющей два одинаковых главных лепестка с узкими ДНА F1(j), F2(j), максимумы которых смещены в пространстве на углы ±j0 относительно некоторого среднего направления (рис. 6).
Измерение пеленга источника ЭМИ осуществляется путем сравнения амплитуд сигналов, принимаемых обоими лепестками. Этот метод сочетает в себе достоинства методов максимума и минимума.
Разновидность метода сравнения – равносигнальный метод, при котором пеленг отсчитывается в момент, когда разность амплитуд принятых сигналов равна нулю. Схема такого амплитудного пеленгатора имеет два раздельных приемника и общее вычитающее устройство.
Рис. 6
фаз сигналов, принятых антеннами А1, А2, имеющими идентичные ДН и разнесенными на расстояние d (база d << D – расстояния до источника ЭМИ).Рис. 7
При приеме антеннами ЭМИ от одного источника сигналы u1(t), u2(t) на их выходах отличаются только на время tз запаздывания, т.е. сдвинуты по фазе на
tз, где
- несущая частота сигнала. Из рис. видно, что tз=(d sinjИ)/с. Если в качестве заданного направления выбрана нормаль к базе, то jИ - пеленг источника ЭМИ. Тогда
/с =
и, соответственно,
Таким образом, для определения пеленга фазовым методом необходимо измерить несущую частоту
принимаемых сигналов и их разность фаз
в разнесенных точках приема. Достоинство метода – весьма высокая точность измерения пеленга, недостатки – неоднозначность измерений и сложность технической реализации. На практике находят применение многобазовые фазовые пеленгаторы.
-
Беспоисковые способы определения направления на источник ЭМИ.
Беспоисковый способ пеленгации состоит в одновременном обзоре пространства специальной неподвижной антенной системой, имеющей многолепестковую ДН (рис. 1). Максимумы лепестков ДНА смещены относительно друг друга примерно на ширину одного луча. Суммарная ДНА перекрывает заданный сектор углов разведки.
Пеленг РЭС определяется по угловому положению максимума ДНА того лепестка, в котором принят сигнал. При этом максимальная ошибка Dj измерения пеленга составляет:
Dj =j0,5/2,
а разрешающая способность равна dj = j0,5,
где
- ширина луча одного канала.
Рис. 1
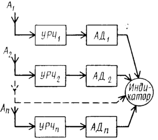
Схема многоканального амплитудного пеленгатора включает n идентичных каналов, каждый из которых содержит антенну А и приемное устройство (рис. 2).
Рис. 2
Достоинство – возможность одновременного измерения пеленга пространственно разнесенных РЭС.
Недостаток – большие аппаратурные затраты для получения высокой точности.
-
Триангуляционный способ определения местоположения источников ЭМИ.
Как ранее отмечалось, линии и поверхности положения определяют бесконечное множество возможных положений источника ЭМИ. Для определения конкретного местоположения (координат точки расположения источника ЭМИ) необходимо знать минимум две линии положения на плоскости или три поверхности положения в пространстве. В зависимости от вида и количества измеряемых геометрических величин различают
триангуляционный (угломерный, пеленгационный), разностно-дальномерный и комбинированный (угломерно-разностно-дальномерный) способы определения местоположения источника ЭМИ.
Триангуляционный способ основан на определении направлений на источник ЭМИ 2-мя радиопеленгаторами, расположенными на расстоянии d, называемом базой.
Если местоположение источника ЭМИ определяется на плоскости, то достаточно измерить два угла, например, для горизонтальной – азимуты jаз1 и jаз2 (рис. 3). Пересечение прямых О1И, О2И однозначно определяет т. И (местоположение источника ЭМИ).
Как видно из рис. 3, определение координат невозможно при нахождении пеленгуемого РЭС на продолжении базы триангуляционной систе- мы (на координатной оси ОХ). Для исключения таких вырожденных
















