Занятие 1.3 (1085151)
Текст из файла
Занятие 1.3 «Способы определения местоположения источников ЭМИ »
Цель: изучить способы определения местоположения источников ЭМИ
Вопросы:
1. Беспоисковые способы определения направления на источник ЭМИ.
2. Триангуляционный способ определения местоположения источника ЭМИ.
3. Разностно-дальномерный способ определения местоположения источника ЭМИ.
1. Беспоисковые способы определения направления на источник ЭМИ
Беспоисковый способ пеленгации состоит в одновременном обзоре пространства специальной неподвижной антенной системой, имеющей многолепестковую ДН (рис. 1). Максимумы лепестков ДНА смещены относительно друг друга примерно на ширину одного луча. Суммарная ДНА перекрывает заданный сектор углов разведки.
Пеленг РЭС определяется по угловому положению максимума ДНА того лепестка, в котором принят сигнал. При этом максимальная ошибка Dj измерения пеленга составляет:
Dj =j0,5/2,
а разрешающая способность равна dj = j0,5,
где
- ширина луча одного канала.
Рис. 1
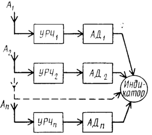
Схема многоканального амплитудного пеленгатора включает n идентичных каналов, каждый из которых содержит антенну А и приемное устройство (рис. 2).
Рис. 2
Достоинство – возможность одновременного измерения пеленга пространственно разнесенных РЭС.
Недостаток – большие аппаратурные затраты для получения высокой точности.
2
. Триангуляционный способ определения
местоположения источника ЭМИ
Как ранее отмечалось, линии и поверхности положения определяют бесконечное множество возможных положений источника ЭМИ. Для определения конкретного местоположения (координат точки расположения источника ЭМИ) необходимо знать минимум две линии положения на плоскости или три поверхности положения в пространстве. В зависимости от вида и количества измеряемых геометрических величин различают
триангуляционный (угломерный, пеленгационный), разностно-дальномерный и комбинированный (угломерно-разностно-дальномерный) способы определения местоположения источника ЭМИ.
Триангуляционный способ основан на определении направлений на источник ЭМИ 2-мя радиопеленгаторами, расположенными на расстоянии d, называемом базой.
Если местоположение источника ЭМИ определяется на плоскости, то достаточно измерить два угла, например, для горизонтальной – азимуты jаз1 и jаз2 (рис. 3). Пересечение прямых О1И, О2И однозначно определяет т. И (местоположение источника ЭМИ).
Как видно из рис. 3, определение координат невозможно при нахождении пеленгуемого РЭС на продолжении базы триангуляционной систе- мы (на координатной оси ОХ). Для исключения таких вырожденных
Рис. 3
случаев триангуляционные системы оснащают тремя пеленгаторами, расположенными в трех точках, не лежащих на одной прямой.
Координаты объекта разведки можно вычислить и на основе измерений не азимутов jаз1 и jаз2, а функций от них, например – направляющих косинусов соsjаз1 и соs jаз2. При этом алгоритм вычислений проще и скорость обработки информации выше.
Для определения пространственного местоположения источника ЭМИ в точках приема измеряют, либо два угла азимута jаз1, jаз2 и один угол места jум1 (jум2), либо два угла места jум1, jум2 и один угол азимута jаз1 (jаз2) (рис. 4).
Рис. 4
Дальность от одного из пеленгаторов до источника ЭМИ по измеренным углам и известной величине d базы определяется выражением:
Достоинство метода – простота технической реализации. Поэтому он широко применяется в системах РТР.
Существенный недостаток – ложные обнаружения несуществующих источников при увеличении количества источников ЭМИ в зоне действия пеленгаторов. Как видно из рис. 5, наряду с определением координат трех истинных источников И1, И2, И3 дополнительно обнаруживаются шесть ложных источников ЛИ1- ЛИ6.
Исключить ложные обнаружения можно путем получения избыточной информации о пеленгуемых источниках – увеличением количества
Рис. 5
разнесенных радиопеленгаторов или опознаванием принадлежности получаемой информации к определенному источнику. Опознавание может быть проведено при сравнении сигналов по несущей частоте, периоду следования и длительности импульсов. Может использоваться взаимно-корреляционная обработка сигналов, принимаемых в разнесенных точках пространства.
3. Разностно-дальномерный способ определения местоположения источника ЭМИ
Разностно-дальномерный способ основан на измерении разности дальностей от источника ЭМИ до пунктов приема, разнесенных в пространстве. Местоположение источника ЭМИ находится по точке пересечения двух гипербол на плоскости (трех гиперболоидов в пространстве). На рис. 6 одна гипербола характеризует разность дальностей D1, D2 от источника ЭМИ до точек 1 и 2, а другая – разность дальностей D2, D3 от источника до точек 2 и 3.
Рис. 6
В качестве примера 3-х точечной разностно-дальномерной системы определения местоположения РЭС рассмотрим систему (рис. 7), которая включает:
Рис. 7
- три самолета-разведчика (С1,С2,С3), осуществляющих посредством станций РТР поиск сигналов РЭС и ретрансляцию их;
- два наземных поста наблюдения (НП1, НП2), где принимаются ретранслированные сигналы, а также непрерывно и точно измеряются расстояния D11, D12, D13 и D21, D22, D23 до самолетов с помощью запросчиков дальномерной навигационной системы;
- командный пункт (КП).
Принцип определения местоположения РЭС в такой системе основан на измерении разности времен распространения сигналов РЭС до самолетов. Эта разность вычисляется на основе данных о временах прихода ретранслированных сигналов РЭС на наземные посты и расстояниях от них до самолетов. Так, например, если на посту НП1 в моменты t1 и t2 приняты сигналы РЭС, ретранслированные самолетами С1 и С2, то справедливо равенство
или
Из этого равенства легко найти разность времени распространения сигналов РЭС до самолетов С1 и С2
которая однозначно определяет разность DD1 расстояний от самолетов С1 и С2 до РЭС
Аналогичным путем можно вычислить разность D2 расстояний от РЭС до самолетов С2 и С3, которая определяет вторую гиперболу, проходящую через РЭС. Точка пересечения этих двух гипербол определяет местоположение РЭС на горизонтальной плоскости.
Обработка данных разведки и определение положения РЭС производятся на КП, куда поступает информация с НП.
Достоинства метода:
- высокая точность определения местоположения РЭС (ошибка составляет десятки метров);
- возможность ведения разведки вне пределов досягаемости активных средств ПВО противника (самолеты-ретрансляторы могут находиться на больших расстояниях от разведываемых РЭС).
Недостатки:
- большое количество привлекаемых средств;
- высокие требования к характеристикам аппаратуры по точности и быстродействию.
Характеристики
Тип файла документ
Документы такого типа открываются такими программами, как Microsoft Office Word на компьютерах Windows, Apple Pages на компьютерах Mac, Open Office - бесплатная альтернатива на различных платформах, в том числе Linux. Наиболее простым и современным решением будут Google документы, так как открываются онлайн без скачивания прямо в браузере на любой платформе. Существуют российские качественные аналоги, например от Яндекса.
Будьте внимательны на мобильных устройствах, так как там используются упрощённый функционал даже в официальном приложении от Microsoft, поэтому для просмотра скачивайте PDF-версию. А если нужно редактировать файл, то используйте оригинальный файл.
Файлы такого типа обычно разбиты на страницы, а текст может быть форматированным (жирный, курсив, выбор шрифта, таблицы и т.п.), а также в него можно добавлять изображения. Формат идеально подходит для рефератов, докладов и РПЗ курсовых проектов, которые необходимо распечатать. Кстати перед печатью также сохраняйте файл в PDF, так как принтер может начудить со шрифтами.
















