6 (1084741)
Текст из файла
§ 8. Корреляционный анализ
Под корреляционным анализом понимают исследование закономерностей между явлениями (процессами), которые зависят от многих, иногда неизвестных факторов. Если две переменные зависят друг от друга так, что каждому значению х соответствует значение у, то между ними существует функциональная связь. Однако часто между переменными х и у существует связь, но не вполне определенная. Одному значению x соответствует несколько значений (совокупность) у. В этом случае связь называют корреляционной. Функция у = f(x) является корреляционной, если каждому значению аргумента соответствует статистический ряд распределения функции у. Следовательно, корреляционные зависимости характеризуются вероятностными связями. Поэтому установление корреляционных зависимостей между величинами у и х возможно лишь тогда, когда выполняемы статистические измерения. Например, модуль упругости грунта Е зависит от его объемного веса у. С возрастанием объемного веса увеличивается модуль упругости грунта. Эта закономерность проявляется лишь при наличии большого количества измерений. Для каждой отдельно парной связи Ei = f(YYi) наблюдаются большие отклонения.
Суть корреляционного анализа сводится к установлению уравнения регрессии, т. е. вида кривой между случайными величинами, оценке тесноты связей и достоверности результатов измерений. Чтобы предварительно определить наличие корреляционной связи между х. и у, наносят точки на график и строят так называемое корреляционное поле (рис. 4.11). По тесноте группирования точек вокруг прямой или кривой линии, по наклону линии можно визуально судить о наличии корреляционной связи. Так, из рис. 4.11, а видно, что экспериментальные данные имеют определенную связь между х и у. В то же время измерения, приведенные на рис. 4.11, б, такой связи не имеют. Корреляционное поле характеризует вид связи между х и у. По форме поля можно ориентировочно судить о форме графика, характеризующей прямолинейную или криволинейную зависимости. Даже для вполне выраженной формы корреляционного поля вследствие статистического характера связи исследуемого явления одно значение х может иметь несколько значений у. Поэтому оптимальной будет такая функция, в которой соблюдаются условия наименьших квадратов:
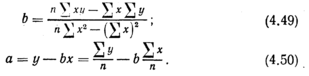
где yi — фактические ординаты поля; у — среднее значение ординаты с абсциссой х, вычисленной по уравнению. Если нанести на корреляционном поле (см. рис. 4.11, а) средние значения у (обозначенные крестиками), то линия А—Б будет соответствовать функциональной зависимости у = ax + b. Средняя линия корреляционного поля, для которой соблюдается условие (4.47), называется линией регрессии. Существует три вида корреляции — прямолинейная, криволинейная и множественная. Наиболее распространенной является прямолинейная корреляция. Поле корреляции аппроксимируют уравнением прямой. Линию регрессии рассчитывают из условий наименьших квадратов (4.47):
При этом кривая Л—Б (рис. 4.11) наилучшим образом выравнивает значения постоянных коэффициентов а и b, т. е. коэффициентов уравнения регрессии. Их вычисляют по выражениям
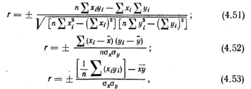
Критерием близости корреляционной зависимости между х и у к линейной функциональной зависимости является коэффициент корреляции г. Он показывает степень линейности связи х и у:
где n — число измерений; аax, aay— среднеквадратичные отклонения.
Несмотря на громоздкость формулы (4.51) , она наиболее простая для вычислений. Значение коэффициента корреляции всегда меньше единицы. При г = 1,0 величины х и у связаны функциональной связью (в данном случае линейной), т. е. каждому значению х соответствует одно значение у. Если г < 1, то линейной связи не существует. При г = 0 между х и у линейной корреляционной связи не существует, однако может существовать нелинейная регрессия. Обычно считают тесноту связи удовлетворительной при г >0,5 хорошей при г = 0,8—0,85.
Уравнение регрессии прямой можно представить выражением (4.48) или
Пример. Имеется статистический ряд парных измерений:
Необходимо найти уравнение прямолинейной регрессии, оценить тесноту связей и оценить степень достоверности. Расчет ведем в табличной форме (табл. 4.7).
Таблица 4.7
Вычисляем г из (4.53):
Полученный коэффициент корреляции довольно высок.
Коэффициент регрессии по (4.54) г -----у = 0,99 —----^ = 3,54. Уравнение регрессии у = 23 + 3,54 (х — 5,5). Определим уравнение регрессии иным способом.
Коэффициент корреляции согласно (4.51)
В табл. 4.8 приведен расчет у по полученным двум уравнениям регрессии, а также приведено сравнение с заданными величинами.
Таблица 4.8
Как видно из расчетов, сходимость хорошая.
Пример. Необходимо исследовать выносливость бетонов (количество циклов нагр ужения бетонных образцов до их разрушения) в зависимости от степени их нагружения Составим гипотезу научного исследования. Из литературных данных известно, что усталостное разрушение материалов, в том числе и бетонов, представляет собой в значительной степени вероятностный процесс, т. е. на усталостное разрушение влияет много случайных факторов. Поэтому можно описать лишь наиболее вероятную зависимость между выносливостью бетонов и интенсивностью нагружения
Анализ литературных источников, а также поисковый эксперимент показали, что эта зависимость может быть описана экспоненциальной зависимостью N == К^ ст или N = K110 CT, где а — величина приложенного напряжения, кг/см2; Rct — прочность бетона при изгибе, кг/см2, определяется в соответствии с требованиями ГОСТа; N—количество циклов нагружения а, при которых бетон разрушается; K1, K2 — коэффициенты.
Применим для этой кривой метод прямолинейной корреляции. Поисковый эксперимент показал, что разброс показателей измерения величины N очень высок, поэтому требуемое количество образцов для получения достоверных результатов при точности измерения =10% и вероятности ее получения 95% составляет 15 образцов в одной серии.
Зависимость исследуем в пределах -р- = 0,9 — 0,5. Выравннвание зависимости Nот -----7----- приводит к результату lg N = K1 4+-{-Kg—'-. Учитывая, что получена прямолинейная зависимостьи что усталостное разрушение в значительной степени представляет собой вероятностный процесс, в дальнейшем исследовании
Таблица 4.11
Число степеней свободы q = л — 1 =3 — 1 =2. Согласно табл. 4.10, для mл = 4 и q = 2 табличные значения критерия Кохрена aam = 0.768.
Поскольку 0,46 < 0,768, то опыты воспроизводимы. Если бы оказалось, что Gp > Gm, то необходимо было бы увеличить количество измерений в одной серии n или число серий т. I Необходимо активно влиять на ход эксперимента и при необходимости совершенствовать методику исследования — изменять количество измерений, определять новые параметры, исключать второстепенные факторы, расширять диапазон измерений и др.
В процессе проведения эксперимента возникает потребность проверить соответствие экспериментальных данных теоретическим предпосылкам, т. е. проверить гипотезу исследования. Проверка экспериментальных данных на адекватность необходима также во всех случаях на стадии анализа теоретико-экспериментальных исследований. Методы оценки адекватности основаны на использовании доверительных интервалов, позволяющих с заданной доверительной вероятностью определять искомые значения оцениваемого параметра. Суть такой проверки состоит в сопоставлении полученной или предполагаемой теоретической функции у = f(x) с результатами измерений.
В практике оценки адекватности применяют различные критерии согласия.
Критерий Фишера
где Da—дисперсия адекватности (4.60), Dcp—дисперсия средних значений (4.58). В числителе принимается наибольшее, в знаменателе — наименьшее значение из вычисленных величин дисперсии.
В формуле (4.57) принимают соответственно наибольшее значения Da и Dcp для числителя и наименьшее из Da и Dcp для знаменателя.функция (уравнение регрессии) считается адекватной при
Кфр<Кфm, (4.59)
Кфm—табличное значение критерия согласия, принимаемое при числе степеней свободы q и доверительной вероятности р = 0,95
(табл. 4.12).
Таблица 4.12
В уравнении (4.57) значение Da вычисляют по формул
Здесь Xi3, Xip — средние экспериментальные и теоретические значения (для принятой кривой) измерений; п — число измерений;
b — число коэффициентов регрессии искомого или принятого теоретического уравнения.
Число степеней свободы для числителя и знаменателя вычисляют
по формуле
q1=n—b, q2=m(n—1). (4.61)
Критерий согласия Фишера целесообразно применять при малой выборке.Пример. Допустим, необходимо проверить для заданных условий строигельства адекватность формулы Боломея — Скрамтаева R6=0,6 = Rц (w/b — 0,5).
Характеристики
Тип файла документ
Документы такого типа открываются такими программами, как Microsoft Office Word на компьютерах Windows, Apple Pages на компьютерах Mac, Open Office - бесплатная альтернатива на различных платформах, в том числе Linux. Наиболее простым и современным решением будут Google документы, так как открываются онлайн без скачивания прямо в браузере на любой платформе. Существуют российские качественные аналоги, например от Яндекса.
Будьте внимательны на мобильных устройствах, так как там используются упрощённый функционал даже в официальном приложении от Microsoft, поэтому для просмотра скачивайте PDF-версию. А если нужно редактировать файл, то используйте оригинальный файл.
Файлы такого типа обычно разбиты на страницы, а текст может быть форматированным (жирный, курсив, выбор шрифта, таблицы и т.п.), а также в него можно добавлять изображения. Формат идеально подходит для рефератов, докладов и РПЗ курсовых проектов, которые необходимо распечатать. Кстати перед печатью также сохраняйте файл в PDF, так как принтер может начудить со шрифтами.
















