06 Глава 4 (8-11) (1084728), страница 3
Текст из файла (страница 3)
Общее число опытов т в матрице планирования полного факторного эксперимента равно т = 2n, (4.76) где n — число факторов. В случае линейного полинома для нахождения коэффициентоврегрессии можно уменьшить количество опытов, воспользовавшись методом дробных реплик, которые представляют собой часть матрицы полного факторного эксперимента (например, 1/2, 11/4 часть и т. д.). Так, чтобы найти коэффициенты регрессии уравнени
необходимо провести восемь опытов согласно матрице планирования полного трехфакторного эксперимента. Однако их можно найти и при уменьшении количества опытов до четырех, реализовать половину матрицы, поскольку план трехфакторного эксперимента представляется в форме куба, параметры которого полностью определены, если зафиксирована диагональная плоскость и вершины куба, лежащие на ней (рис. 4.14), В этом случае основу матрицы составляет матрица двухфакторного эксперимента, а варьирование третьего фактора соответствует произведению x1x2 (табл. 4.18).
Это преобразование допустимо, если коэффициент регрессии а121 незначим или равен нулю; в противном случае определяют сумму коэффициентов регрессии а12+ а3.
Такое планирование эксперимента, когда некоторые факторы приравнивают к произведению нескольких факторов, называется планированием со смешиванием. Его обозначают 2n~p, где л — число факторов; р — число факторов, приравниваемых к произведениям. Например, описанное выше планирование (табл. 4.18) обозначают 23-11
При ортогональном ЦКП количество опытов определяют по формуле
где 2л — количество опытов, образующих полный факторный эксперимент при определении линейного полинома; 2л—число так называемых «звездных» точек в факторном пространстве, имеющих координаты (а,0,0...; 0±а,0...0; 0,0+...+а) Здесь величина а называется звездным плечом. С учетом сказанного матрица ортогонального ЦКП для двух факторов выглядит так (табл. 4.20).
В принятой матрице «О» показывает, что значение гi принимается в начале координат (рис. 4.14). Коэффициенты регрессии в этом случае вычисляют с помощью формул:
где j—номер опыта; i, n—номера факторов.
Для расчета оценки дисперсий в определении коэффициентов регрессии используют следующие выражения:
Коэффициенты а0, ai аiu значимы, если выполняется условие (4.75). Адекватность полученного уравнения регрессии проверяется с помощью критерия Фишера. Вследствие громоздкости вычисления по этим формулам целесообразно проводить с помощью ЭВМ.
В пределах трехфакторного эксперимента вычисления можно производить и вручную:
Таблица 4.21
где с и т — коэффициенты, которые сведены в табл. 4.21.
Последняя соответствует только второй серии опытов плана эксперимента (рис. 4.13). Если выполняется вторая серия опытов по плану трехфакторного эксперимента, то значение коэффициентов с и т определяется из табл. 4.22. При проведении опытов с четырьмя и более факторами для вычисления коэффициентов полинома по формулам (4.81) — (4.84) необходимо использовать ЭВМ. С учетом изложенного последовательность оптимального планирования эксперимента сводится к следующему.
1. Выбирают из л действующих в системе факторов наиболее важные Z1, Z2, ...,Zi, ..., Zn.
2. Устанавливают пределы измерений выбранных факторов Ztmin и Zirnax, вычисляют основной уровень Z0i и интервал варьирования Аzi;, заменяют переменные Zi на кодированные Xi.
3. Находят комбинации факторов zi,, при которых будет изучаться заданная система.
4. Разрабатывают методику измерения выбранных факторов, определяют погрешности и число повторений в каждой из выбранных комбинаций факторов.
Таблица 4.22
5. Измеряют объем эксперимента, чтобы установить исследуемые величины и вычислить по экспериментальным данным коэффициенты регрессии изучаемой зависимости, а также ее адекватность.
6. Проводят эксперимент, одновременно корректируя его с учетом полученных данных в ходе эксперимента. Если линейная модель не согласуется с экспериментом, то проводят опыты в «звездных» точках.
7. Определяют уравнение регрессии, проверяют его адекватность, анализируют и делают соответствующие выводы.
Пример. Необходимо исследовать изменение прочности мелкозернистого бетона в зависимости от состава и водоцементного отношения. Состав бетона изменялся от П/Ц = 1,5 до П/Ц = 3,5, водоцементное отношение — от В\Ц = 0,4 до В/Ц=0,.
Обусловливают основные характеристики плана эксперимента (табл. 4.23).
Таблица 4.23
Кодированные переменные
2. Проверяют применяемость линейного полинома: ур = a0+ + а1x1+ a2x2+ a12x12. Для ведения эксперимента применяют план, приведенный на рис. 4.13, составляют рабочую таблицу планирования и в соответствии с ней проверяют эксперимент, результаты которого записывают в табл. 4.24.
Таблица 4.24
| Номер | |||||||
| Опыта | Хt | Х2 | z1 | z2 | Уэ | Ур | У |
| 1 | -1 | -1 | 0,4 | 1,5 | 410 | 391 | +19 |
| 2 | +1 | 1 | 0,6 | 1.5 | 116 | 135 | -19 |
| 3 | 1 | +1 | 0.4 | 3,5 | 306 | 323 | 17 |
| 4 | +1 | +1 | 0,6 | 3,5 | 88 | 79 | 9 |
| 5 | 0 | 0 | 0,5 | 2,0 | 175 | 230 | -55 |
3. Находят коэффициенты линейного полинома: ao=1/4(410+ + 416 + 88 + 306) = 920/4 =230; а1 = 1/4(—410+116—306 + 88) = = —512/4 = —128; a2 = 1/4(—410 — 116 + 306 + 88) = —132/4 = —33; a12 = 1/4 (+410 — 116 — 306 + 88) = 76/4 = 19. Следовательно, Ур = 230 — 128x1 — 33x2 + 19x1x2. Коэффициент a12 значим, им пренебрегать нельзя.
4. Контрольный эксперимент в точке X1 = О, Х2 = 0 показал, что уэ = .175 кг/см2, что почти на 25% меньше величины ур = аО. Значит, искомая зависимость не может быть описана линейным полиномом. Продолжают эксперимент, представив исследуемую зависимость в виде квадратного полинома у = a0 + а1x1+ а2 x2 +a11x1 2 +a22 x22 +a12 x1x2.
5. Проводят опыты в 6, 7, 8, 9 точках (рис. 4.13). Для этого составляют новую рабочую таблицу, в которую заносят данные измерений в 1—5 точках (табл. 4.25).
6. С помощью формулы (4.89) и табл. 4.21 определяют коэффициенты регрессии: a0 = 1/9 (—410 — 116 — 88 — 306 + 5 • 175 +2•161 +20187+2•101+2•350)=1553/9=172; а1=1/6-(—410+ + 116—88—306+ 101— 350)=761/6=—127; а2=-1/6(—410— —116+88+306+161 —187)=158/6 =—26; а11 = 1/6(88 + 116+ 306+410-2. 175+2. 161-2. 187 + 101 + 350) = 325/6 = 54; a22(88 + 116 +306 +410—2 • 175— 161 + 187—2. 101 -2 • 350) = 16/6 = 2.8; a 12 = 1/4(410- 116-306 + 88) = 19.
Коэффициент a22 незначим, им можно пренебречь. Следовательно, имеем полином у 1 =172 — 127x1 — 26x2 +54x1 2 + 19x1x2.
Таблица 4.25
| Номер опыта | x2 | Х2 | в ц | п/ц | '/Э | Ур | У |
| 1 | -1 | 1 | 0,6 | 1,5 | 410 | 399 | +11 |
| 2 | +1 | 1 | 0,4 | 1,5 | 116 | 106 | 10 |
| 3 | +1 | +1 | 0,6 | 3.5 | 306 | 308 | 2 |
| 4 | +1 | +1 | 0.4 | 3,5 | 88 | 92 | 4 |
| 5 | 0 | 0 | 0,5 | 2.5 | 175 | 172 | +3 |
| 6 | 0 | +1 | 0.5 | 3,5 | 161 | 149 | +12 |
| 7 | 0 | 1 | 0,5 | 1.5 | 187 | 198 | 11 |
| 8 | +1 | 0 | 0,6 | 2,5 | 101 | 99 | +2 |
| 9 | 1 | 0 | 0.4 | 2,5 | 350 | 353 | -3 |
7. По формуле (4.60) вычислим оценку дисперсии адекватности: Da=1/(9-6)/(ll2 +l02 +22+42+32+122+ II2 +22+32)=528/3= 176. огласно данным эксперимента Dcp = 256; критерий Фишера K0 256/176 = 1,44 < Кфт.
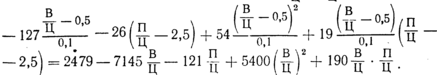
Таким образом, полученный полином адекватно характеризует искомую зависимость. Этот полином можно перевести в физические (натуральные) значения факторов в/ц и п/ц : Rо=172
Важное место в теории планирования эксперимента занимают вопросы оптимизации исследуемых процессов или свойств многокомпонентных систем. Качество процесса обычно характеризуется несколькими функциями отклика. Как правило, нельзя найти такое сочетание значений влияющих факторов, при котором одновременно достигается экстремум всех функций отклика. Например, максимальная производительность экскаватора и минимальная стоимость копания грунта достигается при различных режимах работы экскаватора. Критерием оптимальности может быть лишь одна из функций отклика, характеризующих процесс. Оптимизацию процессов обычно осуществляют в условиях ограничений на влияющие факторы и исследуемые функции отклика, поскольку как факторы, так и функции могут изменяться только в определенных границах. Покажем, как можно использовать результаты полного факторного эксперимента для оптимизации процесса методом крутого восхождения или наискорейшего спуска. Допустим, что в некоторой окрестности точки гi с координатами Z1 и Z2 исследуемая функция отклика, характеризующая процесс, описывается полиномом у=a0+ а1x1 а2x2 а12х1x2. Один из факторов, выраженный в физических величинах, принимают за базовый, например, х1. Вычисляют для него произведение a1 z1 где а1— коэффициент регрессии; z1— интервал варьирования первого фактора. Далее для базового фактора выбирают шаг движения z01, с которым планируется оптимизация. Обычно z1> > z1. После этого определяют















