Доклад (1083424)
Текст из файла
Вибраторные антенны. На практике широко используются антенны, состоящие из прямолинейных проводников. У этих антенн отсутствует излучение вдоль оси провода, поляризация линейная, ДНА осесимметричная. Распределение тока вдоль такого проводника можно считать синусоидальным. Такие излучатели называются вибраторными. Они обладают хорошо выраженными резонансными свойствами при длине волны l = λ/2, m=1, 2, 3 …
Рассмотрим процесс свободных электрических колебаний в симметричном вибраторе. Присоединим обе его половины к зажимам источника постоянной ЭДС (рис. 6.3,а). После того как распределенные емкости проводов вибратора зарядятся и между его половинами возникнет разность потенциалов, отключим источник питания и замкнем обе половины вибратора короткой перемычкой (рис. 6.3, а). При этом распределенные емкости начнут разряжаться через перемычку. Очевидно, что через отрезки провода вибратора, расположенные у середины, протекает наибольший электрический заряд, и поэтому разрядный ток в них имеет наибольшее значение; к концам же провода ток уменьшается до нуля. Ток в проводе нарастает постепенно, поскольку в распределенных индуктивностях возникает ЭДС самоиндукции. Разность потенциалов между точками, равноудаленными от середины вибратора, тем больше, чем дальше эти точки от середины, так как тем большая часть распределенной индуктивности провода участвует в ее создании (рис. 6.3,б). Знак потенциала относительно средней точки по обе стороны от нее различен, так как в одной половине вибратора ток течет к ней, а в другой — от нее.
По мере разряда распределенной емкости ток в проводе нарастает и достигает максимума, когда она полностью разрядится. При этом вся энергия электрического поля, запасенная емкостью, переходит в энергию магнитного поля распределенных индуктивностей (рис. 6.3,в). Если вначале индуктивность проводов вибратора препятствовала нарастанию тока, то теперь она препятствует его уменьшению. Поэтому ток уменьшается постепенно, сохраняя прежнее направление (рис. 6 3,г). За счет этого происходит перезаряд распределенной емкости, ,и, когда ток спадает до нуля, емкости оказываются перезаряженными (рис. 6.3,д). После этого процесс протекает в обратном направлении (рис. 6.3,е—и). Таким образом, в вибраторе возникают свободные электрические колебания. При этом в нем устанавливаются стоячие волны тока ,и напряжения и вдоль его длины укладывается поло вина стоячей волны тока и напряжения. Следовательно, длина волны λо собственных колебаний симметричного вибратора вдвое больше его длины, т. е. λ=l/2.
Рис. 6.3. Свободные колебания в симметричном вибраторе
Поэтому симметричный вибратор называют также полу волновым диполем, чем подчеркивается, что он вдвое короче длины волны собственных колебаний. При превращении линии в излучающую систему — антенну — необратимые потери энергии возрастают. К тепловым потерям Ра добавляются потери на излучение Таким образом, мощность, потребляемая антенной,
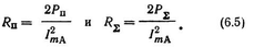
В системах с распределенными постоянными, в которых ток .и напряжение меняются от точки к точке, целесообразно определять активное сопротивление .исходя из энергетических соображений, используя закон Джоуля — Ленца, связывающий мощность с током и сопротивлением, т. е. P = I2R/2. Будем считать, что активное сопротивление антенны равно такому сосредоточенному сопротивлению, в котором при протекании тока, равного максимальному току в антенне, выделяется та же мощность, что и в антенне. Тогда
где ImA — амплитуда тока в пучности стоячей волны в антенне.
На основании выражения
можно написать
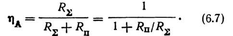
Поскольку антенна служит преобразователем энергии, то важнейшей ее характеристикой является КПД, равный отношению мощности излучения к подводимой мощности:
На основании выражений (6,5) и (6,6) можно записать:
Отсюда следует, что КПД антенны тем больше, чем больше сопротивление излучения по сравнению с сопротивлением тепловых потерь. Однако абсолютное значение сопротивления излучения имеет также существенное значение. Как и во всякой колебательной системе, ток и напряжение при резонансе, а также резонансные свойства антенны существенно зависят от активного сопротивления. Чем оно больше, тем при заданной мощности генератора меньше амплитуда тока в антенне при резонансе. Но чем меньше ток, тем меньше и напряжение в антенне. Последнее выгодно, потому что позволяет снизить требования к изоляции антенны.
Излучающие свойства антенны, а следовательно, и сопротивление излучения зависят от характера распределения тока в излучающем проводе. В случае вынужденных колебаний в антенне их частота определяется частотой ЭДС, подводимой к антенне. Распределение тока и напряжения вдоль антеннего провода может быть самым различным. Оно определяется тем, что возбуждаемые в антенне волны тока и напряжения отражаются от конца антенного провода и образуют стоячие волны аналогично тому, как это происходит в разомкнутой длинной линии. Для того чтобы найги характер распределения тока и напряжения в режиме вынужденных колебаний, нужно по частоте генератора и скорости распространения электромагнитных волн вдоль проводов, используя формулу λ =vT, определить длину возбуждаемой волны. Затем на изображении антенны, выполненном в соответствующем масштабе, построить график стоячих волн, начиная с разомкнутого конца, где будут находиться узел тока и пучность напряжения (рис. 6.4).
Рис. 6.4. Распределение тока в симметричных вибраторах различной длины
Сопротивление излучения не зависит от абсолютных размеров вибратора, а определяется отношением их к длине волны. Так, все полуволновые диполи обладают сопротивлением излучения R∑ = 73,1 Ом независимо от того, равна ли их длина сотням метров или нескольким сантиметрам. Все вибраторы длиной в целую волну имеют сопротивление излучения R∑ = 200 Ом и т. д. Вследствие потерь на излучение и тепловых потерь в антенне помимо стоячей волны существует еще и бегущая волна. Однако во всех антеннах (кроме антенн бегущей волны) амплитуда бегущей волны по сравнению с амплитудой стоячей волны невелика, и поэтому при расчете реактивной составляющей входного сопротивления антенны ее можно не учитывать.
Электрическое поле графически можно охарактеризовать векторами, значение и направление которых изображают значение и направление электрических сил, действующих в различных точках пространства. Протекание переменного тока по проводу прямолинейной антенны создает в окружающем пространстве электрическое поле, векторы которого параллельны проводу антенны (рис. 6.10). Это означает, что электрический заряд, помещенный в это поле, под его действием движется параллельно проводу антенны. Такое поле принято называть поляризованным или полем поляризованных волн.
Вопрос о поляризации имеет в радиотехнике существенное значение. Так, если в поле вертикально поляризованных волн поместить горизонтальную приемную антенну, то никаких токов в ней наводиться не будет (рис. 6.10,а). Чем ближе направление оси приемной антенны к направлению поляризации, тем больший ток наводится в ней. Напряженность поля, излучаемого линейным симметричным вибратором, в данной точке пространства определяется двумя факторами: поляризацией излучения вибратора и сложением волн, излучаемых его различными участками. Рассмотрим влияние этих факторов на примере симметричного полуволнового диполя.
Рис. 6.10. Поляризация поля линейного излучателя: а — вертикальная поляризация; б — горизонтальная поляризация
Электрическое поле волн, излучаемых в направлении А (рис. 6.11,а), обладает максимальной интенсивностью, поскольку оно совпадает с направлением поля источника, возбуждающего колебания в вибраторе. Кроме того, синфазные токи, текущие в обеих половинах диполя, создают синфазные волны, которые усиливают одна другую. Поэтому излучение в направлении А максимально и приблизительно равно арифметической сумме волн, излученных отдельными участками вибратора в этом направлении.
Рис. 6.11. Излучение диполя по различным направлениям
Электрическое поле волн, излучаемых в направлении Б (рис. 6.11,6), значительно слабее, поскольку электрическое поле волны Ев создается только составляющей поля вибратора Е0, перпендикулярной направлению распространения Б. По этой же причине вибратор ничего не излучает в направлении своей оси, так как составляющая поля, перпендикулярная направлению оси вибратора, равна нулю. С другой стороны, волны, излученные синфазными токами различных участков вибратора, приобретают значительную разность хода Δd при распространении в направлении Б. Поэтому в зависимости от того, насколько направление Б отличается от направления А, они будут только частично усиливать друг друга.
Для того чтобы характеризовать излучение антенн по различным направлениям, строят диаграммы направленности (их называют также характеристиками излучения). Они представляют собой графики, характеризующие в относительных единицах интенсивность излучения антенны по различным направлениям, лежащим в той или иной плоскости. Обычно приводятся диаграммы для двух плоскостей: горизонтальной и вертикальной. Чаще всего они строятся в полярной системе координат. При этом расстояние от центра до кривой характеризует в некотором масштабе интенсивность излучения по данному направлению.
Диаграмма излучения полуволнового вибратора (рис. 6.12) имеет максимум в направлении, перпендикулярном оси вибратора. С уменьшением угла интенсивность излучения падает и в направлении оси вибратора становится равной нулю. В плоскости, перпендикулярной оси диполя, вследствие симметрии антенны излучение по всем направлениям одинаково, и диаграмма направленности имеет вид окружности.
Характеристики
Тип файла документ
Документы такого типа открываются такими программами, как Microsoft Office Word на компьютерах Windows, Apple Pages на компьютерах Mac, Open Office - бесплатная альтернатива на различных платформах, в том числе Linux. Наиболее простым и современным решением будут Google документы, так как открываются онлайн без скачивания прямо в браузере на любой платформе. Существуют российские качественные аналоги, например от Яндекса.
Будьте внимательны на мобильных устройствах, так как там используются упрощённый функционал даже в официальном приложении от Microsoft, поэтому для просмотра скачивайте PDF-версию. А если нужно редактировать файл, то используйте оригинальный файл.
Файлы такого типа обычно разбиты на страницы, а текст может быть форматированным (жирный, курсив, выбор шрифта, таблицы и т.п.), а также в него можно добавлять изображения. Формат идеально подходит для рефератов, докладов и РПЗ курсовых проектов, которые необходимо распечатать. Кстати перед печатью также сохраняйте файл в PDF, так как принтер может начудить со шрифтами.
















