военка (1083414)
Текст из файла
Рис. 6.2. Симметричный вибратор и его эквивалентная схема
даря этому направления токов в симметричных точках обеих половин вибратора оказываются одинаковыми. Для того чтобы получить максимальный ток в проводах вибратора, а следовательно, максимальное излучение, используют резонанс, т. е. устанавливают частоту тока
Рассмотрим процесс свободных электрических колебаний в симметричном ниб|раторе. Присоединим обе его половины к зажимам источника постоянной ЭДС (рис. 6.3,а). После того Ток в проводе нарастает постепенно, поскольку в распределенных индуктивностях возникает ЭДС самоиндукции. Разность потенциалов между точками, равноудаленными от середины вибратора, тем больше, чем дальше эти точки от середины, так как тем большая часть распределенной индуктивности провода участвует в ее создании (рис. 6.3,6). Знак потенциала относительно средней точки по обе стороны от нее различен, так как в одной половине вибратора ток течет к ней, а в другой — от нее.
По мере разряда распределенной емкости ток в проводе нарастает и достигает максимума, когда она полностью разрядится. При этом вся энергия электрического поля, запасенная емкостью, переходит в энергию магнитного поля распределенных индуктивн остей (рис. 6.3,в). Если вначале индуктивность проводов вибратора препятствовала нарас танию тока, то теперь она препятствует его уменьшению. Поэтому ток уменьшается постепенно, сохраняя прежнее направление (рис. 6 3,г). За счет этого происходит перезаряд распределенной емкости, ,и, когда ток спадает до нуля, емкости оказываются перезаряженными (рис. 6.3,д). После этого процесс протекает в обратном направлении (рис. 6.3,е—и). Таким образом, в вибраторе возникают свободные электрические колебания. При этом в нем устанавливаются стоячие волны тока ,и напряжения и вдоль его длины укладывается половина стоячей волны тока
Рис. 6.3. Свободные колебания в симметричном вибраторе
как распределенные емкости проводов вибратора зарядятся и между его половинами возникнет разность потенциалов, отключим источник питания и замкнем обе половины вибратора короткой перемычкой (рис. 6.3,6). При этом распределенные емкости начнут разряжаться через перемычку. Очевидно, что через отрезки провода вибратора, расположенные у середины, протекает наибольший электрический заряд, и поэтому разрядный ток в них имеет наибольшее значение; к концам же про вода ток уменьшается до нуля.
напряжения. Следовательно, длина волны Я,о собственных колебаний симметричного вибратора вдвое больше его длины, т. е.
лямбда0 = 2l. (6.1)
Поэтому симметричный вибратор называют также полу вол новым диполем, чем подчеркивается, что он вдвое короче длины волны собственных колебаний.
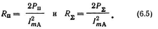
При превращении линии в излучающую систему — антенну — необратимые потери энергии возрастают. К тепловым потерям Ра добавляются потери на излучение Таким образом, мощность, потребляемая антенной,
Увеличение необратимых потерь .в системе можно (рассматривать как увеличение ее активного сопротивления, т. е. можно считать, что полное активное сопротивление антенны
где Ra—сопротивление тепловых потерь, a R^— так называемое сопротивление 'излучения.
где ImA — амплитуда тока в пучности стоячей волны в антенне.
JHa основании выражения (6.3) можно написать
Рис. 6.4. Распределение тока в симметричных вибраторах различной длины
В системах с распределенными постоянными, в которых ток .и напряжение меняются от точки к точке, целесообразно определять активное сопротивление .исходя из энергетических соображений, используя закон Джоуля — Ленца, связывающий мощность с током и сопротивлением, т. е. P = I2iRI2. Будем считать, что активное сопротивление антенны равно такому сосредоточенному сопротивлению, в котором гори протекании тока, равного максимальному току в антенне, выделяется та же мощность, что и в антенне. Тогда
На основании выражений (6.6) и (6.5) можно записать
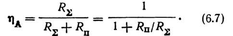
Поскольку антенна служит преобразователем энергии, то важнейшей ее характеристикой является 1КПД, равный отношению мощности излучения к подводимой мощности:
Отсюда следует, что КПД антенны тем больше, чем больше сопротивление излучения по сравнению с сопротивлением тепловых потерь. Однако абсолют- ное значение сопротивления излучения имеет также существенное значение. Как и во всякой колебательной системе, ток и напряжение при резонансе, а также резонансные свойства антенны существенно зависят от активного сопротивления. Чем оно больше, тем при заданной мощности генератора меньше амплитуда тока в антенне при резонансе. Но чем меньше ток, тем меньше и напряжение в антенне. Последнее выгодно, потому что позволяет снизить требования к изоляции антенны.
Излучающие свойства антенны, а следовательно, и сопротивление излучения зависят от характера распределения тока в излучающем проводе. В случае вынужденных колебаний в антенне их частота определяется частотой ЭДС, подводимой к антенне. Распределение тока и напряжения вдоль антеннего провода может быть самым различным. Оно определяется тем, что возбуждаемые в антенне волны тока и напряжения отражаются от конца антенного провода и образуют стоячие волны аналогично тому, как это происходит в разомкнутой длинной линии. Для того чтобы найги характер распределения тока и напряжения в режиме вынужденных колебаний, нужно по частоте генератора и скорости распространения электромагнитных волн вдоль проводов, используя формулу (5.1), определить длину возбуждаемой волны. Затем на изображении антенны, выполненном в соответствующем масштабе, построить график стоячих волн, начиная с разомкнутого конца, где будут находиться узел тока и пучность напряжения (рис. 6.4)
.
С изменением длины вибратора от нуля до 1—К сопротивление излучения непрерывно возрастает (рис. 6.5). При длине вибратора />Я, когда в каждой его половине укладываются одна целая полуволна и часть следующей, в антен-
Рис. 6.5. Зависимость сопротивления излучения от электрической длины симметричного вибратора
ном проводе около его середины появляются участки, в которых направление токов противоположно направлению токов в крайних участках. Излучение этих участков частично ослабляет излучение крайних участков, и сопротивление излучения несколько уменьшается. Однако с ростом длины вибратора оно онова возрастает и достигает нового'максимума при длине вибратора / = = 2Я, когда, казалось бы, излучение противофазных участков должно было уничтожить друг друга.
Рис 6.6. Сложение волн, излучаемых отдельными участками симметричного вибратора по разным направле- чиям (d — длина хода волны, Ad — разность хода воль)
Объясним это явление. На рис. б.и видно, что в достаточно удаленные точки, лежащие на перпендикуляре к оси вибратора (рис. 6.6,а), приходят волны с противоположными фазами от участков вибратора с противоположно направленными токами и взаимно уничтожаются. Однако в точки, расположенные на прямых, идущих под меньшими углами к оси вибратора (рис. 6.6,6), эти волны приходят, имея значительную разность хода Ad = d2—d\ — d^—dз, поэтому разность их фаз может приближаться к О или 360° и в этих направлениях может происходить усиление излучения. Этим объясняется увеличение сопротивления излучения при 1 = 2Х. При дальнейшем увеличении длины антенны происходят аналогичные изменения: чередование убывания и возрастания сопротивления излучения, причем его значение в последующих максимумах и минимумах постепенно возрастает.
Из сказанного ясно, что сопротивление излучения не зависит от абсолютных размеров вибратора, а определяется отношением их к длине волны. Так, все полуволновые диполи обладают сопротивлением излучения 7?£ = 73,1 Ом независимо от того, равна ли их длина сотням метров или нескольким сантиметрам. Все вибраторы длиной в целую волну имеют сопротивление излучения #2 = 200 Ом и т. д. Вследствие потерь на излучение и тепловых потерь в антенне помимо стоячей волны существует еще и бегущая волна. Однако во всех антеннах (кроме антенн бегущей волны) амплитуда бегущей волны по сравнению с амплитудой стоячей волны невелика, и поэтому при расчете реактивной составляющей входного сопротивления антенны ее можно не учитывать.
Характеристики
Тип файла документ
Документы такого типа открываются такими программами, как Microsoft Office Word на компьютерах Windows, Apple Pages на компьютерах Mac, Open Office - бесплатная альтернатива на различных платформах, в том числе Linux. Наиболее простым и современным решением будут Google документы, так как открываются онлайн без скачивания прямо в браузере на любой платформе. Существуют российские качественные аналоги, например от Яндекса.
Будьте внимательны на мобильных устройствах, так как там используются упрощённый функционал даже в официальном приложении от Microsoft, поэтому для просмотра скачивайте PDF-версию. А если нужно редактировать файл, то используйте оригинальный файл.
Файлы такого типа обычно разбиты на страницы, а текст может быть форматированным (жирный, курсив, выбор шрифта, таблицы и т.п.), а также в него можно добавлять изображения. Формат идеально подходит для рефератов, докладов и РПЗ курсовых проектов, которые необходимо распечатать. Кстати перед печатью также сохраняйте файл в PDF, так как принтер может начудить со шрифтами.
















