Готовые билеты к РК №1 (1080231)
Текст из файла
Билет 1
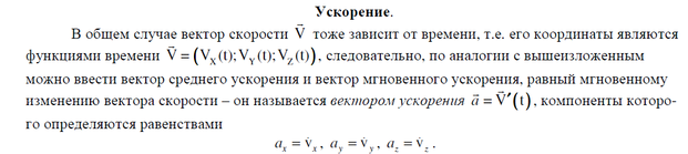
| Поскольку направление скорости постоянно изменяется, то криволинейное движение - всегда движение с ускорением, в том числе, когда модуль скорости остается неизменным |
|
| В общем случае ускорение направлено под углом к скорости. Составляющая ускорения, направленная вдоль скорости, называется тангенциальным ускорением | |
|
Билет 2
Билет 3
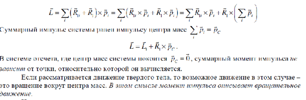
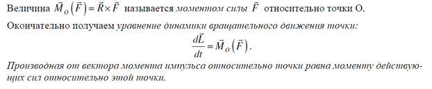
Различают М. и. относительно полюса (точки) и относительно оси. М. и. L материальной точки относительно полюса О равен векторному произведению радиус-вектора r, проведённого в эту точку из полюса О, на вектор mv импульса материальной точки (т - её масса, v - скорость): L == [r, mv]. Вектор L направлен перпендикулярно к плоскости, проходящей через векторы r и mv, так что из его конца вращение от r к mv по кратчайшему расстоянию видно происходящим против хода часовой стрелки, (см. рис.). L = mvr sina, где a - угол между векторами г я mv
Билет 4
№4
1) Работа переменной силы. Если сила или равнодействующая сил изменяет свою величину или направление (движение по криволинейной траектории, причем угол α ≠ 900), то работа А, совершаемая переменной силой F на конечном участке траектории вычисляется следующим образом. A=
, где F(x) – ф-ия зависимости силы от координаты тела.
Кинетическая энергия мех. системы - это энергия мех. движения этой системы. Работа dA силы F на пути, который тело прошло за время изменения скорости от V1 до V2 , идёт на изменение кинетической энергии dT тела, т.е. dA = dT. (т.е.
)
2) Проекция вектора момента импульса на некоторую ось z называется моментом импульса частицы относительно этой оси. Единицы измерения Дж*с .
Билет 5
№5
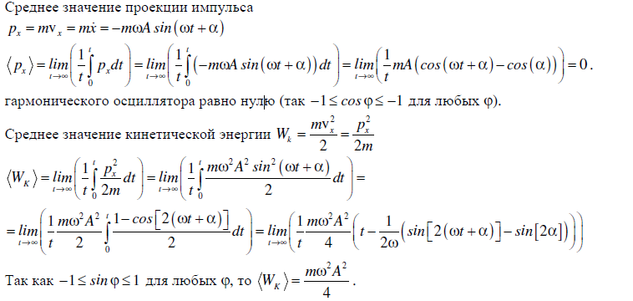
1) Уравнение, описывающее перемещения при свободных незатухающих колебаниях: x’’+02x=0 или mx’’=-kx x=A cos(0t+φ), для
собственной частоты колебаний
Гармонический осциллятор – простейшая колебательная механическая система с одной степенью свободы
Другое определение:
Гармонический осциллятор - система, которая при смещении из положения равновесия испытывает действие возвращающей силы F, пропорциональной смещению x (согласно закону Гука):
2) Моментом силы F относительно неподвижной точки О наз. физическая величина, определяемая векторным произведением радиус-вектора r, проведенного из точки О в точку А приложения силы на силу F.
, где М – псевдовектор, его направление совпадает с поступательным движением правого винта при его вращении от r к F.
Модуль момента силы
где - угол между r и F, l- плечо силы (кратчайшее расстояние между линией действия силы и точкой О).
Моментом силы относительно неподвижной оси z наз. скалярная величина Mz , равная проекции на эту ось вектора М момента силы, определённого относительно производной точки О данной оси z. Mz не зависит от положения т.О на оси z.
. Единицы измерения Н*м (=Дж)
Билет 6
№6
1) Кинетическая энергия вращающегося тела равна половине произведения момента инерции на квадрат угловой скорости при:
1.тело вращается вокруг неподвижной оси
2.тело вращается вокруг одной из главных осей инерции
3.тело - шаровой волчок.
2) Фаза колебания - это аргумент гармонической функции: ( ωt + α ). Начальная фаза α - это значение фазы в начальный момент времени, т.е. при t = 0. Измеряется в радианах (рад)
Билет 7
Моментом импульса относительно неподвижной оси z называется скалярная величина Lz, равная проекции на эту ось вектора момента импульса, определенного относительно произвольной точки О данной оси. Момент импульса Lz не зависит от положения точки О на оси z.
2) Единица измерения угловой скорости в СИ — радиан в секунду (рад/с).
Угловой скоростью называется вектор
, численно равный первой производной от угла поворота по времени и направленный вдоль оси вращения в направлении
(
и
всегда направлены в одну сторону).
.
Билет 8
Билет № 8
1)
Если у системы несколько осей симметрии, то центр масс лежит на их пересечении.
Уравнение изменения импульса механической системы.
В классической механике полным импульсом системы материальных точек называется векторная величина, равная сумме произведений масс материальных точек на их скорости:
.
Закон сохранения импульса механической системы.
В замкнутой системе импульс сохраняется.
Другая формулировка: Суммарный импульс замкнутой системы остается постоянным по модулю и направлению, хотя импульс каждого из тел системы может изменяться.
Доказательство:
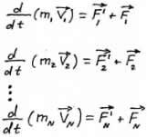
Рассмотрим механическую систему из N тел, массы и скорости которых соответсвенно равны m1, m2, ..., mN; V1, V2, ..., VN.
Запишем второй закон Ньютона для каждого из N тел механической системы:
где Fi - равнодействующая внутренних сил i-того тела системы, F - равнодействующая внешних сил i-того тела системы.
Проведем почленное сложение уравнений:
(1)
Рассмотрим левую часть полученного выражения.
=
=
где
=
представляет собой суммарный импульс всех тел системы, т.е. импульс системы.
Первый член в правой части выражения (1) представляет собой векторную сумму внутренних сил всех тел системы. По третьему закону Ньютона каждой внутренней силе F'mn соответствует равная ей по модулю и противоположная по направлению сила F'nm, поэтому:
=0.
Выражение
преобразуется к виду:
=
Производная от импульса системы по времени равна сумме внешних сил, действующих на систему.
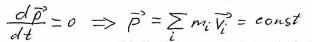
Если сумма (векторная) внешних сил равна нулю, или внешние силы отсутствуют, то:
, т.е. импульс сохраняется.
2)Угловое ускорение: - физическая величина, характеризующая быстроту изменения угловой скорости твердого тела.
Угловое ускорение измеряется в рад/с2
Билет 9Билет №9
-
Потенциальная энергия гравитационного притяжения:
Потенциальная энергия упругих деформаций:
Или :
,
где
;
-
Импульсы механической системы – векторная физическая величина, являющаяся мерой механического движения тела.
Билет 10
Билет № 10.
-
Момент инерции:
-
Стержня:
-
Обруча:
-
Диска:
-
Шара (пустого):
-
Шара (цельного):
Теорема Штейнера:
, где d - расстояние от центра масс до оси вращения.
-
Момент импульса – вектором момента импульса относительно точки О называется
, где
– радиус-вектор из точки О.
Билет 11
Основной закон динамики (второй закон Ньютона) материальной точки имеет вид
, где
– результирующая сила, действующая на материальную точку массы
,
– импульс материальной точки.
В случае
основной закон динамики принимает вид
.
2
)моментом импульса механической системы (твердого тела) относительно неподвижной точки О называется вектор Lсист, равный геометрической сумме моментов импульса относительно той же точки всех материальных точек системы
где n – число материальных точек системы.
[Lсист] =кг·м/с
Билет 12
Билет 14
-
Вектор моменты силы – производная от момента импульса.
Вектором момента импульса относительно точки О называется вектор
, где R – радиус-вектор из точки О, p – вектор импульса точки.
Суммарный момент импульса системы относительно некоторой точки О:
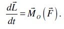
Производная от вектора суммарного момента импульса системы равно векторной сумме моментов сил, действующих на систему.
2) Вектор перемещения – «дельта»R за интервал времени(t1, t2) называется вектор, cоединяющий начальное (в момент времени t1) и конечное (в момент t2) положения точки.
По определению, вектор перемещения равен векторной разности радиус-векторов:
Величиной перемещения называют длина вектора R.
В СИ единицей измерения является метр (м).
Характеристики
Тип файла документ
Документы такого типа открываются такими программами, как Microsoft Office Word на компьютерах Windows, Apple Pages на компьютерах Mac, Open Office - бесплатная альтернатива на различных платформах, в том числе Linux. Наиболее простым и современным решением будут Google документы, так как открываются онлайн без скачивания прямо в браузере на любой платформе. Существуют российские качественные аналоги, например от Яндекса.
Будьте внимательны на мобильных устройствах, так как там используются упрощённый функционал даже в официальном приложении от Microsoft, поэтому для просмотра скачивайте PDF-версию. А если нужно редактировать файл, то используйте оригинальный файл.
Файлы такого типа обычно разбиты на страницы, а текст может быть форматированным (жирный, курсив, выбор шрифта, таблицы и т.п.), а также в него можно добавлять изображения. Формат идеально подходит для рефератов, докладов и РПЗ курсовых проектов, которые необходимо распечатать. Кстати перед печатью также сохраняйте файл в PDF, так как принтер может начудить со шрифтами.
















