Занятия 7–8. Приведение квадратичной формы к каноническому виду методом Лагранжа и ортогональным преобразованием (1079526)
Текст из файла
Занятия 7–8. Приведение квадратичной формы к каноническому виду методом Лагранжа и ортогональным преобразованием. Приведение кривых второго порядка к каноническому виду.
Пусть в некотором базисе выражение для квадратичной формы имеет вид
Тогда выражение (2) называется каноническим видом квадратичной формы. В частности, если λi = ±l, 0, i = 1, 2, ..., n, то получаем нормальный вид квадратичной формы А(x, x).
Для всякой квадратичной формы существует такой базис B', в котором она имеет канонический (и даже нормальный) вид.
Методы приведения квадратичной формы к каноническому виду.
Метод Лагранжа выделения полных квадратов. Пусть квадратичная форма А(x, x) в базисе B имеет вид (1, занятие 6). Если все коэффициенты аij (при квадратах
), i = l, 2, ..., п равны нулю и в то же время форма не равна тождественно нулю, то отлично от нуля хотя бы одно произведение, например 2а12х1х2. Выполним преобразование базиса, при котором координаты векторов в старом и новом базисах связаны формулами
Тогда
, и так как, по предположению, а11 = а22 = 0, то коэффициент при
отличен от нуля. Таким образом, всегда найдется такой базис B, в котором в записи (1, занятие 6) хотя бы один коэффициент при квадрате отличен от нуля. В дальнейшем считаем, что
. (Если
, то отличен от нуля коэффициент при квадрате какой-нибудь другой координаты, и к рассматриваемому случаю можно прийти, иначе занумеровав векторы e1, ..., en, что также является некоторым преобразованием базиса.)
Рассмотрим часть квадратичной формы, содержащую х1, т. е.
дополним эту сумму до полного квадрата:
где γ есть алгебраическая сумма членов, не зависящих от x1. Если теперь сделать замену
то квадратичная форма в новом базисе примет вид
В полученной форме выделено слагаемое
, а оставшаяся часть A1 является квадратичной формой в Ln − 1. Далее рассуждения повторяются для квадратичной формы А1(х, x) и т.д.
Пример 1. Методом Лагранжа привести к каноническому виду квадратичную форму
1-е преобразование: x1 = x'2, x2 = x'1, х3 = х'3. Тогда получим
2-е преобразование: x''1 = −x'1 + x'2, x''2 = x'2, х''3 = х'3. Получим новое выражение для квадратичной формы:
3-е преобразование: x'''1 = x''1, x'''2 = x''2 + 2x''3, х'''3 = х''3, и форма принимает канонический вид:
При этом x'''1 = x1 − x2, x'''2 = x1 + 2x3, х'''3 = х3.
Метод собственных векторов. Будем рассматривать квадратичную форму (1, занятие 6) в евклидовом пространстве Rn. Так как ее матрица А = (аij) симметрична, то она может быть представкой в виде A = UDUT, где D − диагональная матрица, на диагонали которой стоят собственные числа матрицы A, a U − ортогональная матрица. Столбцы матрицы U являются координатами некоторого ортонормированного базиса B = (e1, ..., en), в котором матрица А имеет диагональный вид D, и, следовательно, квадратичная форма − искомый канонический вид. Соответствующее преобразование координат определяется соотношением
Пример 2. Найти ортогональное преобразование, приводящее квадратичную форму
, заданную в евклидовом пространстве R3, к каноническому виду. Написать этот канонический вид.
Матрица квадратичной формы имеет вид:
Собственные числа этой матрицы суть λ1 = 3, λ2 = 6, λ3 = 9. Соответствующие ортонормированные собственные векторы:
e'1 = (2/3, 2/3, −1/3), e'2 = (−1/3, 2/3, 2/3), e'3 = (2/3, −1/3, 2/3),
и следовательно,
В базисе B' = (e'1, e'2, e'3) заданная квадратичная форма имеет вид
, а соответствующее преобразование координат:
,
,
Кривые и поверхности второго порядка. Гиперповерхностью второго порядка в евклидовом пространстве Rn называется множество точек, координаты которых удовлетворяют уравнению
где в левой части стоит многочлен второй степени от п переменных x1, x2, ..., xn.
Множество точек плоскости R2, удовлетворяющих уравнению (3), называется кривой второго порядка. Каноническое уравнение может принимать один из следующих видов (в переменных x, у):
Задачи:
Методом Лагранжа найти нормальный вид и невырожденное линейное преобразование, приводящее к этому виду, для следующих квадратичных форм:
Найти ортогональное преобразование, приводящее следующие формы к каноническому виду, и написать этот канонический вид:
В задачах 4.226−4.231 написать каноническое уравнение кривой второго порядка, определить ее тип и найти каноническую систему координат.
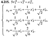
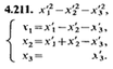
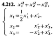
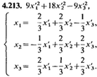
Домашнее задание: 4.212, 4.214, 4.216, 4.227, 4.229, 4.230
Ответы
Характеристики
Тип файла документ
Документы такого типа открываются такими программами, как Microsoft Office Word на компьютерах Windows, Apple Pages на компьютерах Mac, Open Office - бесплатная альтернатива на различных платформах, в том числе Linux. Наиболее простым и современным решением будут Google документы, так как открываются онлайн без скачивания прямо в браузере на любой платформе. Существуют российские качественные аналоги, например от Яндекса.
Будьте внимательны на мобильных устройствах, так как там используются упрощённый функционал даже в официальном приложении от Microsoft, поэтому для просмотра скачивайте PDF-версию. А если нужно редактировать файл, то используйте оригинальный файл.
Файлы такого типа обычно разбиты на страницы, а текст может быть форматированным (жирный, курсив, выбор шрифта, таблицы и т.п.), а также в него можно добавлять изображения. Формат идеально подходит для рефератов, докладов и РПЗ курсовых проектов, которые необходимо распечатать. Кстати перед печатью также сохраняйте файл в PDF, так как принтер может начудить со шрифтами.













