Занятие 14-15. Касательная плоскость и нормаль к поверхности. Без-условный и условный экстремум ФНП (1079521)
Текст из файла
Занятие 14-15. Касательная плоскость и нормаль к поверхности. Безусловный и условный экстремум ФНП.
Геометрические приложения частых производных. Касательной плоскостью к поверхности в ее точке M0 (точка касания) называется плоскость, содержащая в себе все касательные к кривым, проведенным на поверхности через эту точку.
Нормалью к поверхности называется прямая, перпендикулярная к касательной плоскости и проходящая через точку касания.
Если уравнение поверхности имеет вид F(x, y, z) = 0, то уравнение касательной плоскости в точке M0(x0, y0, z0) есть
В случае задания поверхности в явной форме z = f(x, y) уравнение касательной плоскости в точке M0(x0, y0, z0) имеет вид
Экстремум функции. Функция u = f(P) имеет максимум (минимум) в точке
, если существует такая окрестность точки P0, для всех точек
которой, отличных от точки P0, выполняется неравенство f(P0) > f(P) (соответственно f(P0) < f(P)). Максимум или минимум функции называется ее экстремумом.
Необходимое условие экстремума. Если дифференцируемая функция f(P) достигает экстремума в точке Р0, то в этой точке
для всех k = 1, 2, ..., n (1) или
тождественно относительно
Точки, в которых выполняются условия (1), называются стационарными точками функции u = f(P). Таким образом, если Р0 ‑ точка экстремума функции u = f(P), то либо Р0 ‑ стационарная точка, либо в этой точке функция недифференцируема.
Достаточные условия экстремума. Пусть
‑ стационарная точка функции u = f(P), причем эта функция дважды дифференцируема в некоторой окрестности точки P0 и все ее вторые частные производные непрерывны в точке Р0. Тогда:
1) если второй дифференциал
как функция
, ...,
имеет постоянный знак при всевозможных наборах значений
не равных одновременно нулю, то функция u = f(P) имеет в точке Р0 экстремум, а именно ‑ максимум при
и минимум при
;
2) если
является знакопеременной функцией
т. е. принимает как положительные, так и отрицательные значения, то точка Р0 не является точкой экстремума функции u = f(P);
3) если
или
причем существуют такие наборы значений
не равных одновременно нулю, для которых значение второго дифференциала обращается в нуль, то функция u = f(P) в точке Р0 может иметь экстремум, но может и не иметь его (в этом случае для выяснения вопроса требуется дополнительное исследование).
В частном случае функции двух переменных достаточные условия экстремума можно сформулировать следующим образом. Пусть P0(x0, y0) стационарная точка функции z = f(x, у), причем эта функция дважды дифференцируема в некоторой окрестности точки P0 и все ее вторые частные производные непрерывны в точке Р0. Введем обозначения:
1) если D > 0, то функция z = f(x, у) имеет в точке P0(x0, y0) экстремум, а именно ‑ максимум при А < 0 (С < 0) и минимум при А > 0 (С > 0),
2) если D < 0, то экстремум в точке P0(x0, y0) отсутствует;
3) если D = 0, то требуется дополнительное исследование.
Условный экстремум. Функция
имеет условный максимум (условный минимум) в точке
если существует такая окрестность точки Р0, для всех точек Р которой
удовлетворяющих уравнениям связи
, выполняется неравенство f(P0) > f(P) (соответственно f(P0) < f(P)). Задача нахождения условного экстремума сводится к исследованию на обычный экстремум функции Лагранжа
(k = 1, 2,..., т) называются множителями Лагранжа.
Необходимые условия условного экстремума выражаются системой n + m уравнений
(i = 1, 2,..., n)
(k = 1, 2,..., т) (2)
из которой могут быть найдены неизвестные
, где
‑ координаты точки, в которой возможен условный экстремум.
Достаточные условия условного экстремума связаны с изучением знака 2-го дифференциала функции Лагранжа
для каждой системы значений
, полученной из (2) при условии, что dx1, dx2, ..., dxn удовлетворяют уравнениям при
Задачи
7.229. Найти уравнения касательной плоскости и нормали к следующим поверхностям в указанных точках:
а) z = sin x cos y в точке (π/4, π/4, 1/2);
б) z = ex cos y в точке (1, π, 1/е)
7.233. Найти уравнения касательной плоскости и нормали к следующим поверхностям в указанных точках:
а) x(y + z)(xy − 2) + 8 = 0 в точке (2, 1, 3);
б) 2x/z + 2y/z = 8 в точке (2, 2, 1);
в) z2 + 4z + x2 = 0 в точках пересечения с осью Оz.
7.232. Для поверхности z = 4x − xy + y2 найти уравнение касательной плоскости, параллельной плоскости 4x + y + 2z + 9 = 0.
7.234. Для поверхности x2 − z2 − 2х +6y = 4 найти уравнения нормали, параллельной прямой
.
Найти экстремумы функций двух переменных:
7.187. z = x2 + xy + y2 ‑ 3x ‑ 6y. 7.189. z = 3х2 ‑ х3 + 3y2 + 4y.
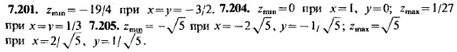
Найти условные экстремумы функций: 7.201. z = x2 + y2 ‑ xy + x + y ‑ 4 при х + у + 3 = 0. 7.205. z = 2х + y при х2 + у2 = 1.
7.214. Найти наибольшее и наименьшее значения функции z = xy2 в области
.
Домашнее задание 7.233 (б, в), 7.235, 7.187–7.195 (четн.), 7.202–7.204, 7.210–7.213
7.235. На поверхности x2 + 2у2 + 3z2 + 2xy + 2хz + 4уz = 8 найти точки, в которых касательные плоскости параллельны координатным плоскостям.
7.188. z = xy2(1 ‑ x ‑ y) (х > 0, y > 0).
7.204. z = xy2 при x + 2y = l.
7.211. Найти наибольшее значение функции z = x ‑ 2у + 5 областях:
7.212. Найти наибольшее и наименьшее значения функции
в области
,
,
7.213. Найти наибольшее и наименьшее значения функции z = xy в области
.
Ответы
Характеристики
Тип файла документ
Документы такого типа открываются такими программами, как Microsoft Office Word на компьютерах Windows, Apple Pages на компьютерах Mac, Open Office - бесплатная альтернатива на различных платформах, в том числе Linux. Наиболее простым и современным решением будут Google документы, так как открываются онлайн без скачивания прямо в браузере на любой платформе. Существуют российские качественные аналоги, например от Яндекса.
Будьте внимательны на мобильных устройствах, так как там используются упрощённый функционал даже в официальном приложении от Microsoft, поэтому для просмотра скачивайте PDF-версию. А если нужно редактировать файл, то используйте оригинальный файл.
Файлы такого типа обычно разбиты на страницы, а текст может быть форматированным (жирный, курсив, выбор шрифта, таблицы и т.п.), а также в него можно добавлять изображения. Формат идеально подходит для рефератов, докладов и РПЗ курсовых проектов, которые необходимо распечатать. Кстати перед печатью также сохраняйте файл в PDF, так как принтер может начудить со шрифтами.














