Занятие 5. Собственные векторы и собственные значения линейного оператора (1079498)
Текст из файла
Занятие 5. Собственные векторы и собственные значения линейного оператора. Диагонализация симметричных матриц ортогональным преобразованием.
Пусть число λ и вектор
, х ≠ 0, таковы, что
Ах = λх. (1)
Тогда число λ называется собственным числом линейного оператора A, а вектор x − собственным вектором этого оператора, соответствующим собственному числу λ.
В конечномерном пространстве Ln векторное равенство (1) эквивалентно матричному равенству
(А – λЕ)x = 0, х ≠ 0. (2)
Отсюда следует, что число λ есть собственное число оператора А в том и только том случае, когда det(А – λЕ) = 0, т.е. λ есть корень многочлена p(λ) = det(А – λЕ), называемого характеристическим многочленом оператора А. Столбец координат X любого собственного вектора, соответствующий собственному числу λ, есть некоторое нетривиальное решение однородной системы (2).
Линейные операторы в пространствах со скалярным произведением. Пусть А − линейный оператор, действующий в пространстве со скалярным произведением (x, y). Линейный оператор А* называется сопряженным к оператору А, если для любых векторов х, у выполняется равенство (Aх, у) = (х, А*у).
Линейный оператор H в пространстве со скалярным произведением называется самосопряженным, если H = H*. Самосопряженный оператор в унитарном (евклидовом) пространстве называется также эрмитовым (симметричным). Для того чтобы оператор А был симметричным, необходимо и достаточно, чтобы в любом ортонормированном базисе его матрица А = (аij) удовлетворяла соотношению аij = аji. Такие матрицы называются симметричными.
Линейный оператор U в унитарном (евклидовом) пространстве называется унитарным (ортогональным), если
UU* = U*U=E, т. е. U* = U−1
Для того чтобы оператор А был унитарным (ортогональным) необходимо и достаточно, чтобы в любом ортонормированном базисе его матрица А = (аij) удовлетворяла соотношению А−1 = А* (А−1 = АT). Такие матрицы называются унитарными (ортогональными).
Приведение матрицы линейного оператора к диагональному виду. Если оператор A, действующий в пространстве Ln имеет n линейно независимых собственных векторов е1, е2, ..., еn соответствующих собственным числам λ1, λ 2, ..., λn, то в базисе из этих векторов матрица оператора А имеет диагональный вид
Матрица А самосопряженного оператора всегда приводится к диагональному виду. При этом, используя понятие унитарного оператора, ее можно представить в виде A = UDU−1, где U − матрица унитарного оператора, осуществляющего переход oт исходного базиса к базису из собственных векторов оператора A, a D − диагональная матрица вида (3).
Задачи:
В задачах 4.129−4.133 найти собственные числа и собственные векторы операторов в V3.
4.129. Ах = ах, а − фиксированное число.
4.131. Ax = [i, x].
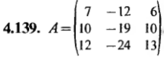
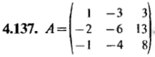
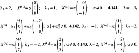
В задачах 4.134–4.143 найти собственные числа и собственные векторы линейных операторов, заданных своими матрицами.
В задачах 4.172–4.179 выяснить, какие из заданных матриц линейных операторов можно диагонализировать переходом к новому базису. Найти этот базис и соответствующую ему диагональную форму матрицы.
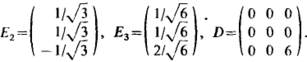
В задачах 4.183–4.184 найти ортонормированный базис из собственных векторов и матрицу в этом базисе для линейного оператора, заданною в некотором ортонормированном базисе матрицей А (искомый базис определен неоднозначно)
Для данной матрицы А найти диагональную матрицу D и унитарную (ортогональную) матрицу U такие, что A = UDU−1:
Домашнее задание: 4.130, 4.132, 4.134–4.142 (четн.), 4.176, 4.184, 4.186
4.130. Ax = (x, i)i − оператор проектирования на ось Ох.
4.132. А = U(е, φ) − оператор поворота на угол φ вокруг оси, заданной вектором е.
Ответы
Характеристики
Тип файла документ
Документы такого типа открываются такими программами, как Microsoft Office Word на компьютерах Windows, Apple Pages на компьютерах Mac, Open Office - бесплатная альтернатива на различных платформах, в том числе Linux. Наиболее простым и современным решением будут Google документы, так как открываются онлайн без скачивания прямо в браузере на любой платформе. Существуют российские качественные аналоги, например от Яндекса.
Будьте внимательны на мобильных устройствах, так как там используются упрощённый функционал даже в официальном приложении от Microsoft, поэтому для просмотра скачивайте PDF-версию. А если нужно редактировать файл, то используйте оригинальный файл.
Файлы такого типа обычно разбиты на страницы, а текст может быть форматированным (жирный, курсив, выбор шрифта, таблицы и т.п.), а также в него можно добавлять изображения. Формат идеально подходит для рефератов, докладов и РПЗ курсовых проектов, которые необходимо распечатать. Кстати перед печатью также сохраняйте файл в PDF, так как принтер может начудить со шрифтами.














