Ещё одна шпаргалочка (1078347)
Текст из файла
УСЛОВИЯ БОРНА-КАРМАНА И ТЕОРЕМА БЛОХА В МОДЕЛИ КРОНИГА-ПЕННИ БЛОХОВСКИЕ ФУНКЦИИ.
П
о усл-ю Борна-Кармана: Волн. ф-и периодические с периодом L:
Тогда потенц. эн-я в ур-и Шредингера тоже будет периодической ф-й
, причем
. Период L- длина бесконечного одномерного тв. тела, N-число элементарных ячеек в нем.
Тогда уравнение Шредингера имеет вид:
.
Любая собственная ф-я оператора
является собственной ф-й оператора
, и наоборот, т.е. при отыскании собственных ф-й
оператора
(решении приведеню ур-я Шредингера) предположим, что они уже являются собствю функциями
.
,
- периодическая ф-я с периодом
.
Докажем.
, т.к.
.
– константа распространения, где
(N-четное). Т.к.
, то
, где
-периодическая ф-я с периодом
. Действительно,
. Таким образом доказана теорема Блоха:
Любую стационарную функцию бесконечной модели Кронига-Пенни с условием Борна-Кармана можно представить в виде
, в которой
- периодическая функция с периодом
, для которой
и константа распространения
, где g- одно из чисел последовательности
; предлагаем, что
- целое четное число.
Замечания: 1) Из теоремы Блоха непосредственно следует, что реш. ур-я Шредингера для бесконечной модели Кронига-Пенни с усл-ем Борна-Кармана с периодом
можно искать в виде ф-й, удовлетвор. условию
, в котором
- некоторое зн-е константы распространения из приведённой посл-ти. Это условие называется "условием Блоха", т. е. существует N различных ветвей решений уравнения Шредингера. 2) Зн-е числа
в формуле
не задаёт однозначно тип отыскиваемого решения уравнения Шредингера. Тип решения однозначно характ. не зн-ем константы
, а значением комплексной экспоненты
. По заданному значению экспоненты
константа распространения
может быть найдена только с точностью до добавления к ней любого целого кратного числа
…
Действительно, если вместо константы
взять константу
, где
– произвольное целое число, то
, так как
. Если константу
представить в виде
, где
- целое число, то получим формулу
. 3) Из того, что ф-я
является решением ур-я Шредингера для бесконечной модели Кронига-Пенни с периодическим потенциалом V(x) с периодом
, не следует, что эта ф-я тоже периодична с периодом
. Только при
усл-е Блоха, которое вып. всегда, сводится к усл-ю периодичности ф-и
. Константа распространения
задает тип (сорт) решения для модели Кронига-Пенни с условием Борна-Кармана.
Блоховские функции
– стационарная блоховская функция.
– временная бл ф-я.
Рассмотрим Б ф-и в предельном случае отсутствия потенц. барьеров между ямами (при
). Тогда Бф
– решения уравнения Шредингера
, т.е. собственными функциями нулевого гамильтониана
, удовлетворяющими условию Борна-Кармана
и условию Блоха
. Решения нулевого уравнения Шредингера имеют вид
,
,
Убедимся, что приведенные функции удовлетворяют условию Блоха. Т.к.
, то
,
,
.
, т.к.
.
Докажем, что
– имеет вид блоховской функции.
, где
- периодическая
.
При
временная волновая блоховская функция
при
и большом
будет волной де Бройля
ВЫВОД ТРАНСЦЕНДЕНТНОГО УРАВНЕНИЯ ДЛЯ ЭНЕРГИЙ СТАЦИОНАРНЫХ СОСТОЯНИЙ В МОДЕЛИ КРОНИГА-ПЕННИ ПРИБЛИЖЕННОЕ РЕШЕНИЕ ЕГО В СЛУЧАЕ СИЛЬНОЙ СВЯЗИ.
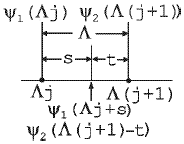
Рассмотрим произв. элементарную ячейку, занимающую интервал Λj≤x≤Λ(j+1), где j – индекс элементарных ячеек.
Н
а интервале построим кусок решения
стац. ур-я Шредингера, рассм. на всей прямой x и удовлетворяющего условию Блоха
, при некотором заданном знач-и const распространения
,
(N – четное).
Внутри ямы (область 1) ур-е Шр.
,
.
Внутри барьера (2)
,
.
Из условия Блоха
Из треб-я непр-ти реш-я и перв. произв-ой на границе:
. Ищем
:
,
Тогда
.
Для нетривиального решения
Таким образом приходим к трансцендентному уравнению…
, из которого найдем значения энергий
поэтому
Трансцендентное уравнение Кронига-Пенни
.
Случай сильной связи
.
, разность соседних дискр. знач.
равна
, где
большое.
Решение транс.ур-я имеет вид
, где
, n=1, 2, … - один из уровней эн-и, а
- малая поправка.
Пусть
, где
, тогда
Так как
, то
, тогда
,
.
При
,
Из транс.ур. получаем
.
П
оправка завис. от
, причем при
она одинакова
происходит расщепление уровня
на
отдельных двукратно вырожд. уровней
всего
стационарных сост-й эл-а, энергии которых сливаются и становятся равными
.
Н
а риc - два самых низких интервала спектра при
и при
. Полный спектр имеет бесконечное число таких интервалов. Характ. особ. найденного спектра является его "зонная" стр-ра. Это означает, что допустимые знач-я эн-й стац. сост-й характ. отд. интервалами эн-й при
,
и т. д., плотно занятыми энерг. уровнями.
МОДЕЛЬ КРОНИГА-ПЕННИ С БОЛЬШИМ ЧИСЛОМ ЭЛЕКТРОНОВ. УРОВЕНЬ ФЕРМИ, ВАЛЕНТНАЯ ЗОНА И ЗОНА ПРОВОДИМОСТИ. ЭЛЕКТРОНЫ И ДЫРКИ.
С-у св. эл-ов тв. тела считаем идеальной, т. е. полностью пренебрегаем отталкивающими кулоновскими взаимодейств. эл-ов друг с другом.
Р
ассмотрим модель Кронига-Пенни при 0 температуре, считая, что в каждой яме находится по одному электрону.
При объед. N невзаимод. ям в одномерное тв. тело получаем в кач-ве ур-ней энергии отд. эл-ов в твёрдом теле уровни энергии
отд. потенциальной ямы. В тв. теле эти уровни N- кратно вырождены. Если потенциальные ямы независимы (при
), то при 0 температуре каждый эл-н будет наход. в своей яме в осн. сост-и
. При
между потенц. ямами имеется связь, и поэтому каждый уровень отдельной изолированной потенц. ямы, в том числе и рассматриваемый основной, расщеплён на N отдельных уровней.
Тогда, с учётом принципа запрета Паули, при 0 температуре N эл-ов должны располагаться на уровнях осн. зоны, причём на каждом уровне будет находиться по два эл-а (с учётом двух спиновых сост-й эл-а для каждого стационарного состояния, полученного при решении уравнения Шредингера).
Таким образом, при 0 температуре в осн. энергетической зоне окажутся занятыми электронами нижние N/2 уровней зоны.
Верхний граничный заполненный уровень называется уровнем Ферми и обозначается
.
При наложении на одномерное тв. тело вн. эл. поля это поле начнёт сообщать эл-ам энергию и переводить их на энерг. диаграмме из сост-й, близких к энергии
, в сост-я, тоже близкие к эн-и
, но большие их по эн-и. Эти переходы могут осуществляться, однако, только в близкие энерг. Сост-я, так как созд. в тв. телах макроскопические эл. поля слабые.
Такие близкие энерг. cост-я (вблизи уровня Ферми
) существуют, поэтому эл. ток в данном тв. теле создать можно, т. е. это металл.
Модель Кронига-Пенни при 0 температуре, когда в каждой яме находятся по 2 эл-а. В случае отсутствия взаимод-я между потенциальными ямами (при
) на осн. уровне
каждой ямы будет 2 электрона.
При наличии взаимодействия потенц. ям уровни отд. ямы расщепятся в энерг. зоны, состоящие из N отдельных дискретных уровней каждая.
С учётом принципа Паули 2N эл-в при 0 температуре займут
в
се имеющиеся для них N сост-й осню энерг. зоны.
Наложенное на одномерное тв. тело внешн эл. поле теперь не сможет ускорять эл-ны, т.к. вблизи верхней границы полностью заполненной зоны нет энерг. ур-ней для эл-ов (здесь начинается запрещённая зона). Достижимые в эксп-ах макроскопические эл. поля малы по сравнению с микроскопическими атомными полями.
Тогда возбудить эл. ток нельзя - диэлектрик. Т.е. все кристаллические тв. тела при 0 температуре должны быть либо идеальными диэлектриками, либо металлами.
П
равило: Если элемен. ячейка кристалла содержит чётное число эл-ов, кристалл - диэлектрик. Если его элемент. ячейка содержит нечётное число эл-ов - металл.
Энерг. схема уровней в зоне
для модели Кронига-Пенни.
Последняя энерг. зона, полностью заполненная эл-ми, называется "валентной зоной".
Первая энергетическая зона, полностью свободная от эл-ов, называется "зоной проводимости".
Попавшие в эту зону из валентной зоны электроны в результате тепловых флуктуации становятся носителями электрического тока.
СИСТЕМА СВОБОДНЫХ ЭЛЕКТРОНОВ МЕТАЛЛЕ. ФУНКЦИЯ ЭНЕРГЕТИЧЕСКОЙ ПЛОТНОСТИ ОДНОЭЛЕКТРОННЫХ СОСТОЯНИЙ. ФОРМУЛА СВЯЗИ ЭНЕРГИИ ФЕРМИ С КОНЦЕНТРАЦИЕЙ СВОБОДНЫХ ЭЛЕКТРОНОВ ПРИ НУЛЕВОЙ ТЕМПЕРАТУРЕ.
Рассмотрим с/у из N не взаимодейств. друг с другом эл-ов, находящихся в куб. ящике объема
. Т.е. эл-ы находятся в куб. трехмерной потенциальной яме, так что потенциальная эн-я одного эл-а
. Пусть с/а не изолирована и может обмениваться теплом и эл-ми с окружением неизменной температуры T и хим. потенциалом
.
Для такой с/ы в равновесном сост-и справедливо распределение Ферми-Дирака
, где
– среднее число электронов на одну элементарную ячейку с энергией
. Рассмотрим хим. потенциал
– функцию от концентрации электронов и температуры. При
:
- энергия Ферми, которую обозначим
,
Рассмотрим во что переходит распределение Дирака при
1
)
при
2)
при
Характеристики
Тип файла документ
Документы такого типа открываются такими программами, как Microsoft Office Word на компьютерах Windows, Apple Pages на компьютерах Mac, Open Office - бесплатная альтернатива на различных платформах, в том числе Linux. Наиболее простым и современным решением будут Google документы, так как открываются онлайн без скачивания прямо в браузере на любой платформе. Существуют российские качественные аналоги, например от Яндекса.
Будьте внимательны на мобильных устройствах, так как там используются упрощённый функционал даже в официальном приложении от Microsoft, поэтому для просмотра скачивайте PDF-версию. А если нужно редактировать файл, то используйте оригинальный файл.
Файлы такого типа обычно разбиты на страницы, а текст может быть форматированным (жирный, курсив, выбор шрифта, таблицы и т.п.), а также в него можно добавлять изображения. Формат идеально подходит для рефератов, докладов и РПЗ курсовых проектов, которые необходимо распечатать. Кстати перед печатью также сохраняйте файл в PDF, так как принтер может начудить со шрифтами.
















