Решенные задачи (1077615)
Текст из файла
Билет №1
3) Три завода
В магазинах №1 – 45% машин, №2 – 40% машин, №3 – 15% (в сумме 100%)
Из них стандартных машин из первого завода 70%, из второго – 80%, из третьего – 81%
Найти вероятность того что купленная машина - стандартная.
P(A)=0.45*0.7+0.4*0.8+0.15*0.81=0.7565=75%
Билет №2
3) Два стрелка стреляют в цель. Вероятность попадания первого – 0,8 , второго – 0,4. Нужно найти вероят., что первый поразил цель.
4) Двумерная случайная величина
равномерно распределена в эллипсе
Определить
Решение:
- совместная плотность распределения.
Билет №3
3) Локатор вращается.
- вероятность обнаружения цели за один оборот без помех
- есть помехи , р – вероятность того что помехи создаются. Найти Р(Хотя бы один раз будет обнаружена цель за n оборот. с помехами)
Решение: следствие из ф-лы Бернуллей:
А – обнаруж. цели, Н1 – помехи создаются, Н2 – без помех.
;
; по ф-ле полной вероятности
Решение:
Т К величины независимы и нормально распределены можно расписать по Лаполасу:
Пусть Z=x-y и из условия MZ=MX-MY=0-2=-2
DZ=DX+DY=1+1=2 Следовательно средне квадратич отклон
=
P(y<x-2)=P(2<x-y)=P(Z>2)=P(2<Z<
) где a=2 и b=
тогда по лаполасу
Билет №4
3) Лампы 0,1 0,2 0,3 0,4 – незав.
- приб. Определить вероятность, что
выйдут из строя
4) 2 монеты кидают…… найти коэф корреляции
| x\y | 0 | 1 | 2 |
| 0 | 0 | 0 | 1/4 |
| 1 | 0 | 1/2 | 0 |
| 2 | 1/4 | 0 | 0 |
х-вероятн выпасть гербу
у-вероятн выпасть цифре
| x | 0 | 1 | 2 |
| pi | 1/4 | 1/2 | 1/4 |
| y | 0 | 1 | 2 |
| pi | 1/4 | 1/2 | 1/4 |
Билет №5
3) В цехе 20 станков, типа – 6 штук, типа B - 11, типа С – 3. Вероятность выпустить хорошую деталь для станка А – 0,5 , для станка В – 0,7 , С - 0,9. Каков процент хороших деталей выпускаемых цехом.
Решение: по формуле полной вероятности:
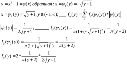
4) Случайная величина
, закон распред.
. Найти плотность распределения по
.
Решение
Билет №6
3) 0,6 – вероятность наблюдать облачность со спутника
0,95 - вероятность с которой данные передадут на Землю. Найти вероятность , что переданные данные об облачности верны.
Решается через формулу Байеса
- облачность есть,
- облачности нет
4
) f(x,y) равномерно расперделена в G
f(x,y)=1/2
Билет №7
3) По дороге едут груз и легковая машины, груз. в 4 раза больше чем легковая, вероятность того что груз. машина заед. на бензоколонку – 0,05 , а легковая – 0,15.
Найти с какой вероятностью машина покидающая бензозаправку – грузовая.
- легковая машина,
- грузовая.
- вер-ть запр. грузовой машины
Билет №8
3) 2 машинистки одна напечатала 1/3 часть рукописей, вторая – 2/3.
Вероятность что первая ошиблась
, вторая -
Найдена ошибка , какова вероятность, что ошиблась первая.
А – ошибка обнаружена
-печатала первая,
- печатала вторая
4)
- 2 независ. случ. величины, равномерно распределены на отрезке [0,h], где
Найти вероятность, что корни уравнения
- комплексные.
Решение:
Билет №9
3) В первой урне 5 белых и 4 черных шара, во второй урне 4 белых и 2 черных шара.
Найти вероятность того, что вытащенный черный шар из первой урны.
Реш.:
Р(А) – вытащили черный шар; Р(Н1) – вытащили шар из первой урны;
Р(Н2) – вытащили шар из второй урны
-если вытаскивают из 1-й урны, то шар черный
- если вытаскивают из 2-й урны, то шар черный
- если вытащили черный шар, то он из 1-й урны
Ответ: 4/7
Билет №10
3) ВАЛ: равновозможны след. дефекты:
. Найти вероятность что деталь поступила в ремонт хотя бы с одной поломкой.
А-деталь поступила в ремонт хотя бы с одной поломкой
4
)
равномерно распред. в круге R=1, найти условную вероятность распред.
=
(2) Далее делим (1) на (2) получаем ответ.
Билет №11
3) Есть 18 стрелков, есть 4 группы.
В 1 группе 5 человек - попадает с вероятностью р=0,8
Во 2-ой - 7 чел, р=0,7; в 3-ей – 4 чел, р=0,6; в 4-ой - 2 чел, р=0,5
Какой группе принадлежит самый херовый или самый нормальный стрелок.
- стрелок из i-группы, i=1,2,3,4
Ответ: - вероятно из второй группы.
Билет №12
-
В цехе 20 станков: 10 марки А, 6 марки В, 4 марки С. 0.8 0.7- вероятности изготовления отличных деталей. Найти какой процент отличных деталей выполняет цех
P(H1)=10/20=0.5; P(H2)=6/20=0.3 P(H3)=0.2
P(A)= P(H1)P(A|H1)+ P(H2)P(A|H2)+ P(H3)P(A|H3)=0.5*0.9+0.3*0.8+0.2*0.7=0.83=83%
4.дано
Билет №13
3)Радист сделал 3 вызова. Р того что первый дойдет=0.2 2-0.3 3-0.4 Какова вероятность того, что корреспондент вообще услышит вызов
Решение
- ни один вызов не дойдет
4) Найти плотность распределения случ величины
если величины независимы и распределены равномерно на интервале [-0.5|0.5]
Р
ешение: Z=xy, F(z)=P(xy<z)=P(Z<z)=1-P(xy>z)
Билет №14
3) Производительность первого станка в а раз меньше второго станка и в b раз меньше третьего станка.
- вероятности получения брака. Вероятность брака -?
А-взятая дет бракованая, Н1,Н2,Н3 ;
где
- вероятность того что деталь произв. первым станком.
4) Найти коэф. выпадения «1» и «6» при 2 бросках кубика.
х-число выпад 1 у-чисо выпад 6
| X\Y | 0 | 1 | 2 |
| 0 | 16/36 | 8/36 | 1/36 |
| 1 | 8/36 | 2/36 | 0 |
| 2 | 1/36 | 0 | 0 |
P(1,0)=1/6*4/6+4/6*1/6=8/36
P(0,1)=P(1,0)
P(1,1)=1/6*1/6+1/6*1/6=2/36
P(2,0)=P(0,2)=1/6*1/6=1/36
| x | 0 | 1 | 2 |
| pi | 25/36 | 10/36 | 1/36 |
| y | 0 | 1 | 2 |
| pi | 25/36 | 10/36 | 1/36 |
Билет №15
3) Три стрелка стреляют в мишень по отдельности по 1 выстрелу и поражают мишень двумя пулями. Найти вероятность Р(А) – того что первый промажет
4) Случайная величина распределена на (a,b) по равномерному закону
тогда получаем
Билет №16
3) 3 ящика с деталями 1-40 2-50 3-30
крашеных в первом 20, 2-10,3-15
Найти вероятность того, что случайно выбр. деталь - окрашенная
Решение:
Решение:
Билет №17
3) 3 Завода вероятность брака в деталях 1-0.2% 2-0.1% 3-нет
В партии 2000 деталей с 1-ого, 3000 со 2-ого, 5000 с 3 его
Найти вероятность того что случайная деталь из этой партии брак.
4) Дано
Найти плотность распределения случ величины
Решение
Билет 18
-
1-25 % брак 0.1%
2-40% брак 0.2%
3-35% брак 0.9%
с какой р на испытания попадет брак деталь с первого завода
Решение: Р=(0.25*0.001)/( 0.25*0.001+0.4*0.002+0.35*0.009)=считать сами!
4) Найти Р попадания в прямоугольник П
, если F(x,y)
и
при
Решение
=1-2-2-2-5+2-7-1+2-1+2-3-2-4-(1-2-2-2-3-2-5)+
+(1-2-2-2-3+2-4)=2-7+2-3-2-4=1/128*(1+16-8)=9/128
Билет №19
3) Снаряд разрывается на осколки: на большие – с вероятностью 10%, на сред – 30%,
на малые – 60%. При попадании в броню большого снаряда пробив. ее с вероятностью 0,9
средний – 0,2 , малый – 0,05. Один осколок пробил броню. К какой группе он принадлежал с большей вероятностью?
Р(А)=0.1*0.9+0.3*0.2+0.6*0.05=0.18
А-пробил броню, H1-оторвавшийся большой,H2—средний;H3-маленький.
Характеристики
Тип файла документ
Документы такого типа открываются такими программами, как Microsoft Office Word на компьютерах Windows, Apple Pages на компьютерах Mac, Open Office - бесплатная альтернатива на различных платформах, в том числе Linux. Наиболее простым и современным решением будут Google документы, так как открываются онлайн без скачивания прямо в браузере на любой платформе. Существуют российские качественные аналоги, например от Яндекса.
Будьте внимательны на мобильных устройствах, так как там используются упрощённый функционал даже в официальном приложении от Microsoft, поэтому для просмотра скачивайте PDF-версию. А если нужно редактировать файл, то используйте оригинальный файл.
Файлы такого типа обычно разбиты на страницы, а текст может быть форматированным (жирный, курсив, выбор шрифта, таблицы и т.п.), а также в него можно добавлять изображения. Формат идеально подходит для рефератов, докладов и РПЗ курсовых проектов, которые необходимо распечатать. Кстати перед печатью также сохраняйте файл в PDF, так как принтер может начудить со шрифтами.
















