Лекция 8 (Примеры матмоделей) (1077346), страница 2
Текст из файла (страница 2)
F
= F1 + F2 , где F1 , F2 находят из следующей системы уравнений:
И
нтегрируя систему уравнений (21), получаем
Т
аким образом, задача решения уравнения (19) сведена к нахождению функции T*(x) из условия экстремума функционала Ф:
С учетом граничных условий функционал Ф записывается в модифицированном виде [ ]:
П
о аналогии с предыдущем, функции g1(x) и g2(x) находят из следующих уравнений
Поскольку ось шпинделя разбита на конечные элементы (0, х1), (х1, х2), …,
(хn-1, хl=l), то при выбранной одномерной модели функция Ф включает n интегралов.
Для модели на рис.8.2 n = 5, значит,
Температуру и ее производную внутри каждого i-го отрезка находим по известной формуле линейно-кусочной интерполяции (рис.8.3):
Рассмотрим вид интегрирования на i-ом конечном элементе составляющих уравнения (23) при подстановке соотношений (24). Полагаем Ф = Ф1 + Ф2 , тогда
Окончательно получаем функционал в виде:
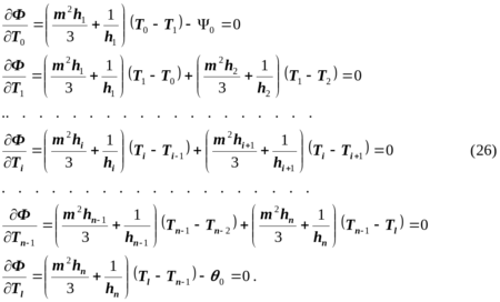
Для функционала (25) запишем необходимые условия экстремума, т.е. равенство нулю производной от функции Ф по уравнению (25):
Получена система линейных уравнений (26) для определения Тi
(при hi = xi – xi-1), которая после раскрытия скобок легко сводится к матричному уравнению типа А·Т = В, решение которого легко алгоритмизируется (см лекцию 5).
















