Михайлов В.П. - Учебное пособие по курсу ФОЭТ (1074338), страница 8
Текст из файла (страница 8)
При начальных условиях UC1<0, UC2>0 рассмотрим характеристики IA=f1(UA); IC2=f2(UA).
При дальнейшем
UA анодный ток начинает расти, а ток сетки С2– уменьшается (участок 3). При дальнейшем росте UA (UA>UC2) расчётные и реальные характеристики почти совпадают (участок 4).
Таким образом, динатронный эффект приводит к отличию расчётных и реальных характеристик и не позволяет использовать тетрод при малых UA (участки 2,3).
Для устранения динатронного эффекта при малых UA необходимо создать потенциальный барьер между экранирующей сеткой С2 и анодом для вторичных электронов. Это достигается за счёт использования дополнительной третьей сетки между экранирующей сеткой С2 и анодом в электронной лампе – пентоде.
Распределение потенциала в пентоде
| Распределение потенциала в пентоде: 1– UА1<UС2; 2– UА2>UС2 | Пентод – электронная лампа, содержащая катод, анод и 3 сетки: управляющую С1, экранирующую С2 и защитную С3. Защитная сетка находится между экранирующей сеткой и анодом и соединяется с катодом, т.е. имеет нулевой потенциал (UC3=0). |
Потенциальный барьер, создаваемый защитной сеткой, образуется как при низком анодном напряжении UА1<UС2 (кривая 1), так и при высоком UА2>UС2 (кривая 2). Это позволило устранить динатронный эффект во всём диапазоне изменения UA.
Статические характеристики многоэлектродных ламп
Обычно тетроды и пентоды работают при следующих начальных условиях: UC1
0 (IC1=0); UC3=0 (IC3=0)– для пентода; UC2=const>0. Поэтому мы рассмотрим зависимость токов IA и IC2 от напряжений UC1 и UA.
1. IA=f(UA)– анодные характеристики.
2. IA=f(UC1)– анодно-сеточные характеристики.
3. IC2=
(UA)– сеточно-анодные характеристики.
Анодные характеристики IA=f(UA)
Особенно он характерен для больших отрицательных напряжений на управляющей сетке UС1.
В отличие от анодных характеристик триода все кривые IA=f(UA) тетрода и пентода выходят из начала координат (независимо от UС1), т.к. потенциальный барьер на управляющей сетке С1 преодолевается
за счет положительного потенциала на экранирующей сетке С2 (С2=const>0).
Анодно-сеточные характеристики IA=f(UC1)
| Напряжение запирания UC1O в многоэлектродных лампах не зависит от UA вследствие слабого влияния анодного напряжения UA на потенциальный барьер управляющей сетки (напряжение запирания –UC1O). |
Анодно-сеточные кривые IA=f(UC1) представляют собой пучок очень близко расположенных кривых (для UА1,2,3), поэтому в справочниках приводится лишь одна характеристика для номинальных значений UA и UC2.
Сеточно-анодные характеристики IC2=
(UA)
I участок – нерабочая область (режим возврата электронов к сетке);II участок – рабочая область (режим прямого перехвата электронов). |
Сеточные характеристики IC2=
(UC1)
Статические параметры многоэлектронных ламп
Крутизна анодно-катодной характеристики
UC2=const, UA=const (UC3=const– для пентода).
Для тетродов и пентодов S=2…20 мА/В.
Дифференциальное (внутреннее) сопротивление
UC1=const, UC2=const (UC3=const– для пентода).
Ri=200 кОм…10 МОм– значительно выше, чем у триода.
Статический коэффициент усиления
IA=const, UC2=const (UC3=const– для пентода).
=100…700– для тетродов;
=700…2000– для пентодов.
Пример 1:
Решение:
1. Общее сопротивление цепи экранирующей сетки:
2. Сопротивление цепи экранирующей сетки постоянному току:
3. Напряжение экранирующей сетки:
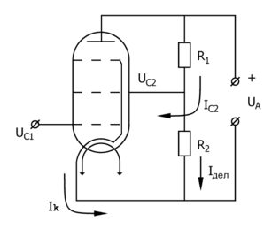
Пример 2:
Дано:
UA=250 В
UС2=125 В
Iдел=2 мА
UС1= –2 В (смотри предыдущую схему)
Найти:
R1, R2 делителя для пентода 6Ж4П.
Решение:
-
Сопротивление R2:
-
Найдем ток в цепи экранирующей сетки:
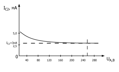
UС2=125 В UA=250 В
| – из справочника (сеточно-анодная характеристика) пентода 6Ж4П. Таким образом IС2=3 мА. 3. Найдем ток через сопротивление R1: IR1=IC2+Iдел=3+2=5 мА |
4. Сопротивление R1:
Электрический разряд в вакууме, основные явления
Электрический разряд в газе происходит при низком и среднем вакууме (P=103…10-1 Па), как правило, в среде инертных газов (аргона, неона, криптона), водорода или паров ртути.
Физические процессы при электрическом разряде в вакууме
Наряду с процессом ионизации протекает и обратный процесс- рекомбинация свободных электронов и ионов. Эти два процесса находятся в динамическом равновесии и число заряженных частиц неизменно, система в целом нейтральна, ток отсутствует.
2. R, UA>0.
Под действием небольшого анодного напряжения UA в межэлектродном пространстве протекает ток в результате дрейфа электронов и ионов, равный
. Из-за различия в массах скорость ионов намного меньше скорости электронов и
. Поэтому из межэлектродного пространства в единицу времени уходит больше электронов, чем ионов и в баллоне образуется объемный положительный заряд.
При небольших скоростях и энергиях электронов происходят их упругие соударения с молекулами газа и энергия частиц не изменяется.
3. R, UAUВОЗБ.
При большой скорости электронов возможны неупругие соударения, в результате которых изменяется внутренняя энергия атомов и электроны могут перейти на уровни возбуждения (более высокие энергетические уровни).
Напряжение возбуждения UВОЗБ. – анодное напряжение, при котором электроны приобретает энергию, достаточную для возбуждения атомов, соударяющихся с ними.
Возбужденное состояние неустойчиво и электрон возвращается на прежний энергетический уровень, испуская квант энергии.
4. R, UAUИОН.
При дальнейшем энергии электронов происходит ионизация атомов газа.
Напряжение ионизации UИОН – анодное напряжение, при котором электроны приобретает энергию, достаточную для ионизации атомов газа.
Объемная ионизация – ионизация атомов газа при их столкновении с электронами.
Коэффициент объемной ионизации - число свободных электронов, полученных на единице пути первичного электрона.
Поверхностная ионизация – ионизация атомов поверхности движущимися ионами газа.
Коэффициент поверхностной ионизации - число свободных электронов, полученных одним ионом.
Состояние сильно ионизированного газа, при котором плотности отрицательных зарядов электронов и положительных зарядов ионов почти равны, называется газовой плазмой.
Вольтамперная характеристика электрического разряда в вакууме
| X | Рассмотрим распределение потенциала при тлеющем разряде. Основными участками тлеющего разряда являются катодная область I, столб разряда (плазма) II, анодная область III. Катодная область с катодным падением потенциала UК является источником электронов (за счет поверхностной ионизации). |
Столб разряда представляет собой плазму, в которой концентрации электронов и ионов равны, а падение напряжения мало. В анодной области наблюдается небольшое падение U.
ВАХ электрического разряда в вакууме
1. Область соответствует несамостоятельному разряду. Число электронов, уходящих с катода, мало, ионизация незначительна ( и - небольшие), через прибор протекает незначительный ток.
2. Область начальной стадии самостоятельного разряда – область темного разряда. Ток, , - небольшие.
3. Переходная область от темного разряда к тлеющему. При этом напряжении происходит более интенсивная ионизация газа. Поскольку ионы двигаются медленнее электронов, вблизи катода скапливается большое число ионов и формируется положительный объемный заряд (ПОЗ), который уменьшает потенциальный барьер и способствует дальнейшей эмиссии электронов с катода. Для поддержания разряда теперь требуется меньшая разность потенциалов U.
















