Нефедов В.И. - Электрорадиоизмерения (1066241), страница 41
Текст из файла (страница 41)
Поскольку при t = t2 напряжения UC = UR и τ = t2 - t1, то
Таким образом, напряжение UR, снимаемое с делителя R1, R2 имеет определенное значение (UR = 0,368E), что достигают подбором сопротивлений резисторов. За интервал времени τ = RoбрCx на счетчик поступает число импульсов
N=fτ, (10.28)
где f — частота следования счетных импульсов.
Поскольку τ = Ro6pCx, то при фиксированных значениях частоты f и сопротивления Ro6p
Cx = N/(fRo6p) = N/K1. (10.29)
Здесь коэффициент К1 = fRo6p.
Согласно (10.29), величина измеряемой емкости прямо пропорциональна числу импульсов N, поступивших на счетчик.
Наличие образцового конденсатора Собр позволяет аналогичным образом измерить сопротивление резистора:
Rx= N/(fCo6p) = N/K1, (10.30)
где коэффициент К2 = fСобр.
Цифровые измерительные приборы, построенные по методу дискретного счета, получили широкое распространение при измерении параметров электрических цепей. К достоинствам метода следует отнести достаточно высокую точность измерений. Погрешность измерений цифровым методом составляет 0,1...0,2 % и зависит в основном от нестабильности сопротивлений резисторов R1, R2, Ro6p или конденсатора Собр, нестабильности частоты f генератора счетных импульсов, а также неточности срабатывания устройства сравнения. К недостаткам таких приборов можно отнести трудность измерения параметров на рабочей частоте.
Измерение параметров элементов методом уравновешивающего преобразования
Наряду с методами прямого преобразования (дискретного счета) в практике используют также методы уравновешивающего преобразования измеряемых значений сопротивления, индуктивности и емкости, основанные на сравнении измеряемой величины с образцовой. Сравнение измеряемой величины с образцовой чаще всего осуществляют путем уравновешивания мостовой измерительной цепи, в одно из плеч которой включают исследуемый двухполюсник. В смежное плечо моста вводят образцовый элемент, представляющий собой набор квантованных образцовых мер, соответствующих весовым коэффициентам разрядов используемого цифрового кода. Изменением параметров образцового двухполюсника добиваются равенства нулю напряжения в измерительной диагонали.
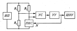
На рис. 10.11 показана структурная схема цифрового моста постоянного тока уравновешивающего типа для измерения активного сопротивления резистора или другого элемента с омическими потерями.
Рис. 10.11. Структурная схема цифрового моста постоянного тока уравновешивающего типа
Измеряемый резистор Rx, образцовые резисторы R1, и R2 и преобразователь кода в сопротивление ПКС образуют мост, который питается источником постоянного напряжения ИП. Разбаланс моста фиксируют устройством сравнения УС. Устройство управления УУ анализирует выходной сигнал УС и в зависимости от его знака увеличивает или уменьшает значение цифрового кода N, выдаваемый на ПКС. Уравновешивание производится до тех пор, пока напряжение в выходной диагонали моста не станет меньше порога чувствительности УС. При этом измеряемое сопротивление
Rx= R1RПКС/R2 = kПКСNR1/R2, (10.31)
где RПКС — сопротивление ПКС; kПКС = RПKC/N— коэффициент преобразования ПКС.
Как следует из формулы (10.31), результат измерения (он фиксируется ЦОУ) не зависит от напряжения питания. Пределы измерения подбирают путем изменения отношения сопротивлений резисторов R1 и R2 цепи положительной обратной связи. Цифровые мосты постоянного тока уравновешивающего типа обеспечивают погрешность измерения параметров около 0,01 % и поэтому их широко применяют для точного измерения активного сопротивления резисторов.
Более сложными по структуре построения являются мосты переменного тока, предназначенные для измерений комплексного сопротивления, индуктивности и емкости при определенной фиксированной частоте (обычно около 1 кГц). Эти мосты выполняют уравновешивание по двум параметрам, т.е. производят раздельное и независимое уравновешивание двух составляющих комплексного сопротивления Zx.
Цифровые автоматические приборы с микропроцессором
В цифровых автоматических приборах измерения сопротивлений, индуктивностей и емкостей широко используют методы, связанные с преобразованием измеряемого параметра в напряжение или ток, частоту или интервал времени, а также измерительные устройства, построенные на основе мостовых и компенсационных схем. Наибольшее распространение в практике измерений получили цифровые автоматические приборы с микропроцессором, выполненные по схемам с использованием уравновешенных мостов. Уравновешивание моста осуществляют автоматическим регулированием двух органов моста (для каждого из измеряемых параметров).
Глава 11
ИЗМЕРЕНИЕ ХАРАКТЕРИСТИК СЛУЧАЙНЫХ ПРОЦЕССОВ
11.1. Общие сведения
В радиотехнике большую роль играют случайные процессы: напряжение собственных шумов радиотехнической аппаратуры, сигналы других радиосистем, шумовые сигналы и т.д. Изучение радиотехнических случайных процессов требует применения статистических методов анализа. При статистическом подходе нет необходимости определять точный результат отдельного измерения, а можно основываться на исследовании множества таких измерений. В этом случае удается найти закономерности и количественные соотношения, характеризующие случайный процесс в среднем. Если повторять измерения в течение длительного времени, численные значения измеренной величины будут иные, т.е. они также являются случайными величинами.
Случайным прогрессом X(t) называется процесс (функция), значение которого при любом фиксированном значении t = t0 является случайной величиной X(t0). Конкретный вид процесса, полученный в результате опыта, называется реализацией. При проведении серии измерений можно получить группу или семейство реализаций случайной функции, называемую ансамблем реализаций (рис. 11.1). Ансамбль реализаций случайного процесса является основным экспериментальным материалом, на основе которого можно получить его характеристики и параметры.
Конкретные реализации, наблюдаемые при исследованиях, представляют собой физические процессы и входят в ансамбль как его неотъемлемая часть. Например, ансамблем реализаций случайного процесса является группа сигналов, наблюдаемых одновременно на выходах идентичных генераторов шумового напряжения.
Вероятностные характеристики случайных процессов
Пусть случайный процесс описан некоторой обобщенной случайной функцией X(t). Конкретный вид x1(t), x2(t),..., xt(t\... этой функции процесса, полученной в результате проведенного эксперимента (например, измерения), позволяет определить все ее параметры. Поэтому каждая реализация является неслучайной функцией времени. При фиксированном значении аргумента t случайная функция X(t) превращается в случайную величину, а в результате каждого отдельного опыта становится детерминированной функцией. Выберем некоторый момент времени t1. Совокупность отдельных мгновенных значений всех реализаций ансамбля в заданный момент времени t1 также будет некоторой случайной величиной Х(t1), называемой сечением случайного процесса. Эта случайная величина может иметь любые заранее неизвестные значения в возможном интервале ее изменения.
Наиболее полно случайные процессы описывают законами распределения: одномерным, двумерным и т.д. Однако оперировать с такими функциями очень сложно, поэтому стараются обойтись характеристиками и параметрами этих законов, которые описывают случайные процессы не полностью, а частично.
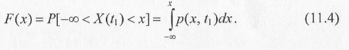
Важной характеристикой случайной величины X(t1) является интегральная функция распределения F(x). Эту функцию определяют как вероятность того, что все значения случайной величины X(t1) не превышают некоторого заданного уровня переменной х:
F(x)=P[X(t1)<x], (11.1)
где Р — символ, характеризующий вероятность события.
Интегральную функцию распределения определяют на интервале О <F(x) < 1.
Если случайная величина X(t1) является непрерывной во времени, то удобнее пользоваться производной функции распределения — одномерной плотностью распределения вероятности
P(x,t1) = dF/dx (11.2)
Зададим какой-либо интервал а, b изменения параметра х случайной величины X(t1) (см. рис. 11.1). Тогда из формулы (11.2) следует, что значение
p(x,t1)dx = F(b) – F(a) = P[a<X(t1)<b] (11.3)
есть вероятность попадания случайной величины X(t1) в заданный интервал а, b.
Пусть параметр а —> - оо, а параметр b принимает текущее значение переменной х. Тогда интегральная функция распределения случайного процесса
Числовые характеристики случайных процессов
Случайные процессы наиболее полно описывают законами распределения плотности вероятности: одномерным, двумерным и т.д. Однако оперировать с такими функциями зачастую сложно, поэтому в практической метрологии стараются обойтись характеристиками и параметрами этих законов, которые описывают случайные процессы не полностью, а частично. К важнейшим из них относятся математическое ожидание и дисперсия.
Измерение параметров и характеристик случайного процесса существенно упрощается при его стационарности и эргодичности.
Стационарными называют случайные процессы, статистические характеристики которых не изменяются во времени. Свойства стационарных процессов характеризуют следующими условиями: математическое ожидание стационарного случайного процесса постоянно, т.е. mx(t) = тх = const; для стационарного случайного процесса дисперсия по сечениям является постоянной величиной: Dx(t) = Dx = const.
Практически все реальные радиотехнические случайные процессы относятся к стационарным. Подавляющее большинство стационарных случайных процессов обладают свойством эргодичности, при котором усреднение по ансамблю реализаций можно заменить усреднением по времени одной реализации в пределах бесконечно длинного интервала Тх. Конечно понятие «бесконечно длинного интервала» здесь достаточно условно.
Определим основные числовые характеристики стационарного эргодического случайного процесса.















