Нефедов В.И. - Электрорадиоизмерения (1066241), страница 11
Текст из файла (страница 11)
Правило 1. Погрешности в суммах и разностях. Если аргументы х1 и х2 измерены с погрешностями ∆х1 и ∆х2 и измеренные значения используют для вычисления суммы или разности А = х1 + х2, то суммируют абсолютные погрешности без учета знака
(2.49)
Правило2.Погрешности в произведениях и частных. Если измеренные значения х1 и х2 используют для вычисления А = х1• х2, или А= х1/ х2, то суммируют относительные погрешности δА= δх1+δх2, где δх = ∆х/х.Правило 3. Измеренная величина умножается на константу. Если х используют для вычисления произведения А = В•х, в котором В не имеет погрешности, то δА =│ В│δх.
Правило 4. Возведение в степень. Если х используют для вычисления степени А = xn, то δА = nδ.
Правило 5. Погрешность в произвольной функции одной переменной. Если х используют для вычисления функции А(х), то
Вывести эти правила можно легко самостоятельно. Использование правил позволяет получить не слишком завышенную оценку предельной погрешности результата нелинейного косвенного измерения при не слишком большом числе аргументов (т < 5).
(2.50)
Результат косвенного измерения представляют в виде следующей формулы(2.52)
в которой учитывается доверительная вероятность.
2.9. Совместные измерения
Совместными называют выполняемые одновременно измерения двух или нескольких неодноименных физических величин с целью установления зависимости между ними. Пусть требуется определить зависимость у = f(x) между параметрами х и у. Для этого необходимо изменять величину х и при каждом ее установленном значении выполнять одновременное измерение величин х и у. В результате подобных измерений находят координаты (хi уi) искомой зависимости у =f(x). Экспериментальные координаты хi уi, (где i = 1, 2, ... , п — число совместных измерений) отличаются от истинных координат (хi уi) из-за систематических и случайных погрешностей. Поэтому возникает задача наилучшей аппроксимации экспериментальной зависимости у =f(x) по координатам xi,yi.
Оптимальный подход к решению подобных задач возможен на основе применения метода наименьших квадратов.
Метод наименьших квадратов
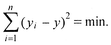
Сущность метода наименьших квадратов состоит в том, что наивероятнейшими значениями аргументов искомой аналитической зависимости будут такие, при которых сумма квадратов отклонений экспериментальных значений функции у, от значений самой функции у, будет наименьшей:
Пусть y является функцией нескольких аргументов:
где а0 , а1,…… ат — неизвестные коэффициенты. Тогда на основании п экспериментальных пар уi и хi , следует определить т + 1 искомых аргументов аналитической зависимости, которая наилучшим образом описывает массив уi и хi т.е. метод наименьших квадратов требует выполнения условия:
(2.54)
На основе метода наименьших квадратов можно проводить аппроксимацию различных аналитических зависимостей, например, выражаемых полиномами вида: у = а + bх + сх2 + …..+ ехn, где коэффициенты а, b, с, ... , е — константы.
Рассмотрим важный для практики случай, когда искомая зависимость имеет линейный характер вида
(2.55)
у = а +bx
(2.53)
ПРис 2.5 Апроксимация
Исследуемой зависомости
В соответствии с методом наименьших квадратов наилучшим оценкам искомым постоянным а и b соответствует минимальное значение следующего выражения:
(2.56)
где [уi, - (а + bxi)] — отклонение измеренных значений у, от вычисленных по формуле (2.55) при х =xi. Можно показать, что:
(2.57)
(2.58)
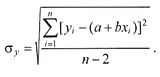
Степень приближения найденных значений а и b к истинным значениям этих величин оценивается с помощью их СКО σa и σb :
(2.59)
где а, — СКО погрешности измерения величины у, значение которой можно получить из паспортных данных на средство измерения или вычислить по формуле:
(2.60)
П
ример 2.12. Требуется установить реальную зависимость сопротивления металлического проводника от температуры Ri=f(t) по результатам совместных измерений (табл. 2.4). При этом теоретическая зависимость определена как:
где R0 — сопротивление проводника при 0 °С; а — температурный коэффициент сопротивления проводника; t — температура, 0 °С.
Таблица 2.4. Результаты совместных измерений
| t °с | 10 | 15 | 20 | 25 |
| Ri Om | 10,3 | 10,9 | 11,3 | 11,6 |
Преобразуем последнюю формулу:
в которой а = R0 ; b= αR0.
Расчеты по формулам (2.58) и (2.59) при п = 4, хi=ti, и уi = Ri дают
следующие результаты:
а = 9,52 Ом; Ь = 0,09 Ом/град.
Пусть средство измерения имеет СКО σRt= 0,2 Ом. Тогда, проведя вычисления по формулам (2.60), получим:
σа= 0,33 Ом; σь = 0,02 Ом/град. Окончательно имеем:
а + σа = (9,52 ± 0,33) Ом; b + σь = (0,09 ± 0,02) Ом/град.
2.10. Погрешность и неопределенности измерения
После того, как все известные или предполагаемые составляющие погрешности результата измерения оценены и внесены соответствующие поправки, все еще остается сомнение в том, что результат измерения близок к истинному значению измеряемой величины. Количественной мерой этого сомнения использовали понятие «погрешность измерения». Однако классификация погрешности измерения на случайную и систематическую и имеющиеся методы ее описания перестали по разным причинам удовлетворять ряду метрологических требований. Поэтому стали поступать предложения по совершенствованию этих представлений, обосновывавшиеся «несоответствием принципов оценивания погрешностей современным практическим задачам».
По инициативе ряда международных метрологических организаций была предложена концепция нового представления результатов измерений. Ее суть проста: обработка результатов измерений практически везде проводится с использованием аппарата теории вероятностей и математической статистики и везде погрешности разделяются на случайные и систематические. Однако модели погрешностей, значения доверительных вероятностей и формирование доверительных интервалов в разных странах заметно отличаются друг от друга, что затрудняет сличение результатов измерений. Для устранения этих сложностей было разработано «Руководство по выражению неопределенности в измерении» (Guide to the expression of uncertainty in measurement, ISO/TAG — /WG3, Geneva, June 1992). Его основными положениями являются:
-
запрет на использование таких понятий, как истинное и действительное значения измеряемой величины, погрешность, относительная погрешность, точность измерения, случайная и систематическая погрешности;
-
вместо термина «погрешность измерения» введено понятие «неопределенность измерения», трактуемое как «параметр, связанный с результатом измерения, характеризующий дисперсию значений, которые можно приписать измеряемой величине»;
• разделение составляющих неопределенности на два типа: А и В.
Неопределенности типа А можно количественно оценить
статистическими методами на основе многократных измерений и описать традиционными характеристиками — дисперсией или СКО. Взаимодействие неопределенностей типа А описывается коэффициентом взаимной корреляции.
Неопределенности типа В могут быть оценены любыми другими методами, кроме статистических. Они должны описываться величинами, аналогичными дисперсии или СКО, поскольку именно эти характеристики можно использовать для объединения неопределенностей типа В как между собой, так и с неопределенностями типа А.
Очевидно, что неопределенность типа А не что иное, как характеристика случайной составляющей погрешности результата измерения, а неопределенность типа В — характеристика неисключенной систематической погрешности. Причем, объединение неопределенностей типа А и В проводится по тем же правилам, что и при объединении составляющих погрешности, т.е. суммированием дисперсий. Итак, ничего не меняя по существу, замена понятия «погрешность» на «неопределенность», несущую ту же смысловую нагрузку, приведет лишь к путанице в мыслях, публикациях и документах. Поэтому пока нет жестких оснований отказываться от традиционного, привычного термина «погрешность измерений».
Рассмотренные рекомендации пока не вошли в нормативные документы метрологических органов Российской Федерации. Тем не менее многие метрологи склоняются к мнению, что понятие «неопределенность измерения» надо постепенно вводить в практику, но пока не вместо понятия «погрешность», а наряду с ним. При этом можно ожидать, что в силу между на-
родного характера «Руководства по выражению неопределен ности измерения» российские метрологи будут вынуждены пе рейти на новую терминологию.
Контрольные вопросы
-
Перечислите возможные причины проявления погрешностей.
-
Назовите признаки, по которым классифицируются погрешности.
-
Что называют абсолютной, относительной и приведенной погрешностями?
-
Что такое грубые погрешности (промахи)?
-
Какие характеристики погрешностей вам известны?
-
Сформулируйте свойства систематической, случайной и прогрессирующей составляющих погрешности измерений.
-
Приведите известные вам примеры методических погрешностей.
-
В чем заключаются принципы оценивания погрешностей?
-
Назовите методы уменьшения систематических погрешностей?
-
Когда погрешность измерения может рассматриваться как случайная величина?
-
Какой математический аппарат используют для оценки случайных погрешностей?
-
Назовите основные законы распределений случайных погрешностей.
-
Что такое нормальное распределение?
-
Перечислите свойства интегральной и дифференциальной функций распределения случайной величины.
-
Назовите числовые параметры законов распределения.
-
Как описывается и когда используется распределение Стьюдента?
-
Что называют доверительной вероятностью и доверительным интервалом?
-
Назовите правила округления результатов измерений.
-
Перечислите основные принципы, лежащие в основе выбора нормируемых метрологических характеристик средств измерений.
-
На какие группы делятся нормируемые метрологические характеристики средств измерений?
-
Как нормируются приборы по классам точности при преобладающей аддитивной погрешности?
-
Какие метрологические характеристики описывают погрешность средств измерений? Как производится их нормирование?
-
Перечислите алгоритмы обработки результатов прямых многократных измерений.
-
Какие меры используются для исключения систематических погрешностей из результатов прямых многократных наблюдений?
-
Что такое неисключенные остатки систематических погрешностей?
-
Что такое грубые погрешности?
-
Что представляет собой критерий оценки анормальности результатов наблюдений?
-
Расскажите о критерии «трех сигм».
-
Для чего необходимо идентифицировать форму закона распределения результатов измерений?
-
Как определяют границы неисключенных остатков систематических погрешностей?
-
Как определяют границы погрешности результата измерения?
-
Каков порядок обработки результатов однократных измерений с точным оцениванием погрешностей?
-
Как обрабатываются результаты однократных измерений с приближенным оцениванием погрешностей?
-
В чем состоит метод линеаризации и как он используется для обработки результатов косвенных измерений?
-
Каков алгоритм обработки результатов совместных измерений?
-
В чем состоит суть метода наименьших квадратов?
-
В чем заключаются международные рекомендации по оцениванию неопределенности результата измерений?
-
Какие меры используются для исключения систематических погрешностей из результатов прямых многократных наблюдений?
-
Что такое неисключенные остатки систематических погрешностей?
-
Что такое грубые погрешности?
-
Что представляет собой критерий оценки анормальности результатов наблюдений?
-
Расскажите о критерии «трех сигм».
-
Для чего необходимо идентифицировать форму закона распределения результатов измерений?
-
Как определяют границы неисключенных остатков систематических погрешностей?
-
Как определяют границы погрешности результата измерения?
-
Каков порядок обработки результатов однократных измерений с точным оцениванием погрешностей?
-
Как обрабатываются результаты однократных измерений с приближенным оцениванием погрешностей?
-
В чем состоит метод линеаризации и как он используется для обработки результатов косвенных измерений?
-
Каков алгоритм обработки результатов совместных измерений?
-
В чем состоит суть метода наименьших квадратов?
-
В чем заключаются международные рекомендации по оцениванию неопределенности результата измерений?
Глава3 ИЗМЕРЕНИЕ НАПРЯЖЕНИЯ И СИЛЫ ТОКА
3.1. Общие сведения
Измерение напряжения и силы тока в электрических цепях относятся к наиболее распространенным видам измерений. При этом преобладающее значение имеет измерение напряжения, поскольку чаще всего этой величиной принято характеризовать режимы работы различных радиотехнических цепей и устройств. К тому же параллельный метод подключения вольтметра к участку цепи, как правило, не приводит к нарушению электрических процессов в ней, поскольку входное сопротивление прибора выбирается достаточно большим. При измерениях же силы тока приходится обязательно размыкать исследуемую цепь и в ее разрыв последовательно включать амперметр, внутреннее сопротивление которого отлично от нуля. Так как напряжение и сила тока связаны, согласно закону Ома, линейной зависимостью, удобнее проводить измерение напряжения и по его значению аналитически вычислять силу тока.















