Нефедов В.И. - Электрорадиоизмерения (1066241), страница 9
Текст из файла (страница 9)
Решение. Для данного прибора предел допускаемой приведенной основной погрешности γ = (∆/UN) • 100 % = (∆/200) • 100 % не превышает 0,5. Отсюда находим, что ∆ < ± 1 В. Следовательно, измеряемое напряжение: U= 127 ± 1 В.
Пример 2.9. Отсчетное устройство амперметра с пределами ± 50 мА и классом точности 0,04/0,02 показывает i= 25 мА. Чему равна сила тока?
Решение. Для данного прибора предел допускаемой относительной погрешности в процентах согласно (2.28):
Абсолютная погрешность измерения определяют как
А = ± δ • i/100 =0,06 -25/100 = ± 0,015 == ± 0,02 мА. Таким образом, измеряемая сила тока /= 25 ± 0,02 мА.
Пример 2.10. Выбрать вольтметр для измерения сетевого переменного напряжения 220 В с относительной погрешностью, не превышающей 2 %. Записать результат измерений, если прибор показал 225 В.
Решение. Выбираем вольтметр с пределами шкалы 0...300 В. Так как δ не должна быть больше 2 %, необходимо, чтобы абсолютная погрешность не превысила ∆ = 5м = 0,02 • 220 В = 4,4 В. Тогда приведенная погрешность измерений напряжения
γ = (∆/UN) • 100 % = (4,4/300) • 100 % = 1,47 %, что соответствует классу точности 1,5. Результат измерений U= 225 ± 4,4 В.
2.6. Прямые измерения с многократными наблюдениями
Многократные наблюдения принято проводить при наличии в процессе измерений значительных случайных погрешностей. Задача обработки состоит в том, чтобы по результатам наблюдений определить наилучшую оценку измеряемой физической величины х„ = А и интервал, в котором она находится с заданной вероятностью. Эта задача решается статистической обработкой результатов наблюдений, основанной на гипотезе о нормальном распределении случайных погрешностей. Приведенная ниже методика обработки результатов измерений дана для прямых измерений с многократными независимыми и равноточными наблюдениями.
Исключение систематических погрешностей из результатов наблюдений
Точность результата многократных наблюдений тем выше, чем меньше систематическая погрешность. Поэтому ее важно исключить, для чего:
-
устраняют источники систематических погрешностей до измерений;
-
определяют поправки и вносят их в результат измерения;
-
оценивают границы неисключенных систематических погрешностей.
Оценка результата измерения и его СКО. Для удобства анализа предположим, что при выполнении п многократных наблюдений одной и той же величины хи = А постоянная систематическая погрешность полностью исключена (∆с = 0). Тогда результат i-ro наблюдения находят с некоторой абсолютной случайной погрешностью ∆i=∆ i. = хi –хn.
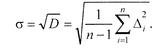
Оценку СКО наблюдений определяют по формуле (2.21):
(2.31)
З
(2.32)
Рассмотрим случай многократных наблюдений, когда результат i-го наблюдения содержит и случайную и постоянную систематическую погрешности: хi = хи + ∆ i+∆c. Подстановка значений х, в формулу (2.12) позволяет получить оценку результата измерений
(2.33)
обнаружение и исключение грубых погрешностей
Если в полученной группе результатов наблюдений одно или два из них существенно отличаются от остальных, а наличие ошибки в снятии показаний и других промахов не обнаружено, то необходимо проверить, не являются ли они грубыми погрешностями, подлежащими исключению. Решение задачи выполняют общими методами проверки статистических гипотез в предположении нормального распределения результатов наблюдений. Проверка гипотезы состоит в утверждении, что результат i-го наблюдения xi , не содержит грубой погрешности, т.е. является значением измеряемой величины. Используя определенные статистические критерии, пытаются опровергнуть выдвинутую гипотезу. Если это удается, то результат наблюдения рассматривают как грубую погрешность и его исключают.
Критерий оценки нормальности закона распределения при неизвестном СКО σ. При исключении грубых погрешностей из результатов наблюдений по этому критерию проводят следующие операции.
1. Результаты группы из п наблюдений (объем, выборки), упорядочивают по возрастанию х1 < х2 < ••• < хn. По (2.12) и (2.32) вычисляют оценки среднего арифметического значения х и СКО
наблюдений σ этой выборки. Для предполагаемых промахов, это, например, результаты х1 и хn, проводят расчет коэффициентов:
(2.34)
2. Задаются уровнем значимости критерия ошибки q (при
ведены в литературе по погрешностям измерений) и по пара
метрам q и п находят предельное значение коэффициента 1Г;
(2.35)
3. Сравнивают коэффициенты, определяемые по формулам
(2.34) и (2.35). Если выполняются условия t1 > tг и tn> tг, то значе-
ния х1 и хn относят к промахам и исключают из результатов на-
блюдений.
К
ритерий «трех сигм». Критерий применяют для результатов измерений, распределенных по нормальному закону, и одним из граничных параметров при этом служит оценка СКО измерений σ. Считается, что результат, полученный с вероятностью q < 0,003, маловероятен и его относят к промахам, если
| хi - x | > 3σ. Значения x и σ вычисляют без учета экстремальных значений х,. Критерий хорошо работает при числе измерений п > 20 - 50.
Доверительные границы случайной погрешности результата измерения
При измерениях практический интерес представляет определение доверительного интервала (Ã - ∆г, Ã + ∆г), в котором с заданной доверительной вероятностью РЛ находится измеряемая величина хи = АИ. Аналитически доверительная вероятность записывается в следующем виде:
Р(Ã - ∆г <А< Ã + ∆г,)=РЛ. (2.36)
Границы доверительного интервала принято указывать симметричными относительно результата измерения. При технических измерениях доверительная вероятность РД = 0,95.
Если используется нормальный закон распределения, то поиск доверительного интервала выполняют с помощью значений интеграла вероятностей ψ(z). Задают доверительную вероятность РЛ и по табл. 2.1 находят z, соответствующее ψ(z) = РД. Далее, учитывая z и заранее вычисленную оценку СКО σср = S(Ã), определяют доверительную границу случайной погрешности:
(2.37)
Аналитически нижнюю Аи и верхнюю Ав границы доверительного интервала представляют в следующем виде:
Рассмотрим применение распределения Стьюдента для поиска доверительного интервала. Используя данные табл. 2.2, по заданной доверительной вероятности РД и известному числу наблюдений п находят соответствующий коэффициент Стьюдента t{Pa, n). Далее определяют доверительную границу случайной погрешности результата измерения
(2.38)
а также границы доверительного интервала:
При одинаковой доверительной вероятности с уменьшением числа наблюдений доверительный интервал увеличивается, т.е. точность измерений снижается.
Границы неисключенных систематических погрешностей результата измерения Неисключенные систематические погрешности принято рассматривать как случайные с равномерным симметричным законом распределения плотности вероятности и определять каждую границами ±Өi,. Причем в качестве границы Өi, принимают, например, пределы допускаемых основных и дополнительных погрешностей средств измерений.
Общую границу Ө= Ө (РД) числа т неисключенных систематических погрешностей вычисляют по формуле
(2.39)
(2.42)
где к — коэффициент, зависящий от т, принятой доверительной вероятности РД и связи между составляющими погрешностей Өi.Данная вероятность РД должна быть равна той, которая была принята при расчете доверительной границы случайной погрешности результата измерения. Коэффициент к = 0,95 при РД = 0,9; к = 1,1 при РД = 0,95 и к = 1,4 при РД = 0,99. При других вероятностях его определяют по установленному стандарту.
Границы погрешности результата измерения
Обычно на погрешность результата измерения с многократными наблюдениями влияют случайные погрешности и НСП. Тогда границы погрешности результата измерения ± ∆ оцениваются в порядке, указанном ниже.
Пусть Ө — граница НСП, определяемая по (2.39), S(Ã)— оценка СКО результата измерения (2.32), а ε — доверительная граница случайной погрешности результата измерения (2.38).
1. Если значение границы Ө< 0,8 S(Ã), то НСП пренебрегают,
считая их несущественными по сравнению со случайными по
грешностями, и полагают, что граница погрешности результата
измерения ∆г = ε = t(РД ,, п)S(Ã), .
-
При Ө> 0,8 S(Ã), пренебрегают случайной погрешностью по сравнению с НСП и полагают, что граница погрешности результата измерения ∆ = Ө .
-
Если 0,8 S(Ã)< Ө < 0,8 S(Ã), границу погрешности результата измерения вычисляют путем композиции распределений случайных и неисключенных систематических погрешностей, рассматриваемых как случайные величины:
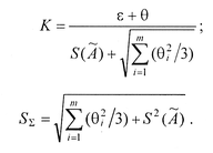
∆г =KS∑ (2.40)
Здесь К— коэффициент, зависящий от соотношения случайной и неисключенных систематических погрешностей; S∑ — оценка суммарного СКО результата измерения.
Коэффициент К и оценку S∑ вычисляют по формулам:
(2.41)
Соответствующим стандартом регламентирована и форма записи результатов измерений. Для симметричных доверительных границ погрешности результат измерения величины хИ = А
представляется в форме хн= А = Ã ± ∆(РД), где А — оценка результата измерения, определяемого по (2.12).
2.7. Прямые однократные измерения
Большинство технических измерений являются однократными. В реальных условиях их точность может быть вполне приемлемой, а простота и высокая скорость ставят однократное измерение вне конкуренции с любыми другими. При однократных измерениях используют единственное значение отсчета показаний прибора. Являясь случайным, однократный отсчет х включает в себя инструментальную, методическую и личную составляющие погрешности измерения, в каждой из которых могут быть выделены систематические и случайные составляющие.















