Нефедов В.И. - Электрорадиоизмерения (1066241), страница 10
Текст из файла (страница 10)
Оценивание погрешностей прямых однократных измерений можно подразделить на точное и приближенное.
Прямые однократные измерения с точным оцениванием погрешностей
Главной особенностью однократного измерения является то, что законы распределения случайных составляющих неизвестны и представление о них формируют лишь на основе ограниченной априорной информации.
Достаточно легко, путем поверки или по паспортным данным можно получить оценку систематической погрешности измерительного прибора, а анализом метода измерения — оценку систематической погрешности методического характера. При наличии в документации на измерительный прибор сведений о дополнительных систематических погрешностях, обусловленных влияющими величинами, эти погрешности также оценивают и учитывают.
После исключения из отсчета всех известных систематических погрешностей считают, что погрешность исправленного результата хи = Ã ± ∆(РД) состоит из неисключенных остатков систематических и случайных составляющих погрешностей. Неисключенные систематические погрешности переводят в категорию случайных и оценивают каждую составляющую своими границами. При этом рекомендуется распределение вероятностей принимать равномерным, если погрешности заданы границами и нормальным, если они заданы СКО.
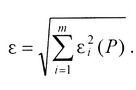
В качестве границ составляющих неисключенных систематических погрешностей можно принимать, например, пределы допустимых основных и дополнительных погрешностей средств измерений, применявшихся при поверке в качестве образцовых, погрешности расчетных поправок и т.д. Если каждая НСП оценена своей индивидуальной границей εi(Р), то доверительные границы суммарной НСП определяют по формуле (2.39).
Если случайные составляющие погрешности представлены своими СКО Si определенными предварительно опытным путем по результатам многократных наблюдений, либо доверительными границами, найденными экспериментально, то:
где t(Pд, n) — коэффициент Стьюдента, взятый из табл. 2.2.
Когда случайные составляющие погрешности измерений представлены доверительными границами εi(Р), соответствующими одинаковой доверительной вероятности Р = Рд, тогда значение ε=εi(Р), рассчитывают по следующей формуле:
Получив по отдельности оценки неисключенной систематической и случайной погрешностей результата однократного измерения, их целесообразно сопоставить. Если необходимо учитывать обе составляющие, то их суммируют по формуле (2.42).
Соответствующим государственным стандартом регламентирована форма записи результата прямого однократного измерения величины хи = А = Ã ± ∆(РД).
Прямые однократные измерения с приближенным оцениванием погрешностей
При приближенной оценке, как и при точной, необходимо перед началом измерений провести предварительную оценку составляющих погрешности результата измерения. Эту информацию получают из опыта проведения подобных измерений, нормативно-технической документации на используемые средства измерений и других источников. Если оценка погрешности превышает допустимую, то следует выбрать более точное средство измерений или изменить методику измерения.
(2.43)
В простейшем случае погрешность результата измерения равна пределу допускаемой абсолютной основной погрешности средства измерения ∆си, определяемой по нормативно-технической документации, если измерения проводились в нормальных условиях. При этом результат измерения можно записать в виде хи =ñ ∆си, т.е. без указания доверительной вероятности, которая подразумевается равной Рд = 0,95. Если же измерения проводились в условиях, отличающихся от нормальных, то следует определять и учитывать пределы дополнительных погрешностей, а затем суммировать их с основными.Пример 2.11. Оценить результат и погрешность однократного измерения значения напряжения на участке электрической цепи сопротивлением R = 4 Ом, выполненного вольтметром класса точности 0,5 % с верхним пределом измерения UB = 1,5 В и внутренним сопротивлением Rv = Ю00 Ом. Показание вольтметра Ux = 0,90 В. Известно, что допол-
н
ительные относительные погрешности показании вольтметра из-за влияния магнитного поля и окружающей температуры не превышают соответственно значений δМП = ± 0,75 % и δг = ± 0,3 % допускаемой предельной относительной погрешности.
Решение. Инструментальную составляющую погрешности измерения определяют основной и дополнительной погрешностями. При показании вольтметра 0,90 В предел допускаемой относительной погрешности вольтметра на этой отметке в процентах равен:
δх= δсиUB/U = 0,5•1,5/ 0,90 = 0,83 %.
Методическую погрешность определяют соотношением между сопротивлением участка цепи R и сопротивлением вольтметра Rv При подсоединении вольтметра исходное напряжение Ux изменится из-за наличия сопротивления Rv и составит
Отсюда относительная методическая погрешность:
Эта методическая погрешность является систематической и должна быть исключена из результата измерения путем введения поправки
Тогда результат измерения с учетом поправки на систематическую погрешность будет равен
Относительную погрешность результата измерения находят суммированием
Переходя к абсолютной суммарной погрешности, имеем
Применив статистическое суммирование по (2.39) при Рд = 0,95, получим значение доверительной границы неисключенных систематических погрешностей
Находим абсолютную погрешность:
Округляя, окончательный результат измерения можно представить в следующем виде:
2.8. Косвенные измерения
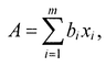
При косвенных измерениях измеряемая физическая величина А является известной функцией f ряда других величин — аргументов хь х2, …..xi…..xm Аргументы подвергаются прямым измерениям, а величину А вычисляют по формуле
(2.45)
Каждый из аргументов измеряется с некоторой погрешностью, вносящей определенный вклад в результат косвенного измерения. Для оценки этих погрешностей важно разделение косвенных измерений на линейные и нелинейные косвенные измерения.
При линейных косвенных измерениях формула (2.45) запишется в следующем виде:
где bi — постоянные коэффициенты при аргументах xi.
При нелинейных косвенных измерениях (2.45) будет представлять собой другие функциональные зависимости.
Погрешности измерения аргументов могут быть заданы либо своими границами ∆ xi , либо доверительными границами ∆х(Рд)i, с доверительными вероятностями Pдi. Если число аргументов невелико (меньше пяти), то простая оценка погрешности результата ∆А получается суммированием предельных погрешностей (без учета знака), т.е. подстановкой границ ∆х1 ∆х2, ... , ∆хт в формулу
При практических вычислениях эта оценка является завышенной, поскольку подобное суммирование сводится к тому, что
погрешности измерения всех аргументов одновременно совпадают по знаку и имеют максимальное значение. Реально вероятность такого совпадения близка к нулю. Чтобы найти более реалистичную оценку, проводят статистическое суммирование погрешностей аргументов. Полагая, что в заданных границах погрешности аргументов распределены равномерно, доверительные границы ∆А(Рд) погрешности результата измерения рассчитывают следующим образом:
где коэффициент к определяют аналогично (2.39).
Е
сли погрешности измерения аргументов заданы доверительными границами с одинаковыми доверительными вероятностями, то считая распределение этих погрешностей нормальным, доверительные границы находят по формул
Если доверительные вероятности погрешностей аргументов различны, то их необходимо привести к одному значению Рд.
При нелинейных косвенных измерениях возникают существенные сложности их статистической обработки, связанные с изменением законов распределения аргументов xi в результате их функциональных преобразований. Поэтому проводят приближенную оценку погрешности результата косвенного измерения на основе линеаризации функции (2.45).
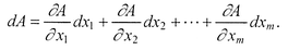
Запишем выражение для полного дифференциала функции А через частные производные по аргументам xi
Согласно определению полный дифференциал функции — это приращение функции, вызванное малыми приращениями ее аргументов. Так как погрешности измерения аргументов всегда являются малыми величинами по сравнению с номинальными
значениями аргументов, то справедлива замена в (2.50) дифференциалов аргументов dx, на погрешности измерений ∆xi а дифференциала функции dA на погрешность результата измерения ∆А:
(2.51)
(2.48)
Если проанализировать формулу (2.51), то можно получить ряд простых правил оценивания погрешности результата косвенного измерения.















